ТЕМА ПРОЕКТИРОВАНИЕ СПИРАЛЬНОЙ АНТЕННЫ
Цель работы и исходные данные * Основные характеристики спиральных антенн. *Основные моменты расчёта: *Расчётные соотношения цилиндрической спирали. *Расчёт цилиндрической спиральной антенны *Коаксиальный трансформатор волновых сопротивлений передающего тракта *Уровень боковых лепестков. *Приложение *Список литературы: *Цель работы – рассчитать спиральную антенну, используя приведённые ниже в таблице данные.
Основные характеристики спиральных антенн. Конструктивно спиральные антенны представляют собой металлическую спираль, питаемую коаксиальной линией. Спиральные антенны принадлежат классу антенн бегущей волны и основным режимом работы антенны является режим осевого излучения. Также спиральная антенна формирует диаграмму направленности вдоль оси спирали. Основные составляющие спиральной антенны: 1.Спираль из медной трубки.
2.Сплошной экран: В качестве экрана можно применить более дешёвый алюминий; расстояние от первого витка берут
3.Согласующее устройство: для согласования надо применить согласующее устройство СВЧ так как входное сопротивление фидера 50 или 75 Ом, а сопротивление спирали 140 Ом; к тому же сопротивление спиральной антенны практически активное и для согласования можно применить конусообразный переход из коаксиальных линий передачи. .
D 1 d 1 d 2 D 2
4.Питающий фидер. 5.Диэлектрический каркас: в качестве каркаса часто применяется твёрдый пенопласт. При этом расчетные соотношения останутся неизменными т.к. диэлектрическая проницаемость пенопласта практически равна диэлектрической проницаемости воздуха. Для облегчения последующих расчётов введём обозначения:
Примечание : если длина витка спирали лежит в пределах от 0.75 l до 3l тоизлучение С.А. максимально вдоль оси спирали. Это основной режим работы С.А
Расчётные соотношения цилиндрической спирали.
.Развёртка витка спиральной антенны
S L
a
2 P R
Основные соотношения следуют из рисунка:
Расчёт цилиндрической спиральной антенны
Наиболее характерен режим спиральной антенны устанавливается при следующих условиях:
К.П.Д в этом случае близок 100 % , так как площадь сечения спиральной антенны достаточно велика:
Шаг спирали для получения круговой поляризации
Число витков спирали
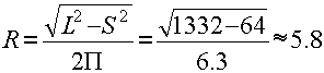
Радиус спирали:
Ширина диаграммы направленности:
Диаметр диска экрана принимается равным (0.9
Диаметр провода спирали берется порядка (0.03
Кроме того, в существующих условиях лучше взять медную трубку близкого диаметра т.к. токи высокой частоты текут лишь по поверхности металла.
Входное сопротивление
Угол подъёма спирали из
Коаксиальный трансформатор волновых сопротивлений передающего тракта
Если длину конусной части (
Волновое сопротивление конусной части линии, должно быть:
По известному волновому сопротивлению определяем отношение диаметров элементов коаксиального тракта:
Выбрав, в качестве подводящего мощность фидера РК-9-13 по допустимой предварительной мощности имеем: диаметр центральной жилы 1.35 мм. Отсюда определяем все размеры коаксиального трансформатора:
В качестве основания спирали можно применить твердый пенопласт. Он не изменит электрических параметров антенны, т.к. по своим электрическим параметрам пенопласт близок к воздуху. При мощности передатчика 10 кВт и скважности 100 средняя площадь излучения примерно 100 Вт, при КСВ антенны лучше 1.35 отражённая мощность не более 5%, т.е. не более 5 Вт. Можно считать, что эта мощность и тепло рассеивается на спирали. Наряду с шириной луча очень важным параметром является уровень боковых лепестков, который можно определить через К.Н.Д. по формуле
Для уменьшения уровня боковых лепестков следует увеличить размер рефлектора и сделать его форму более сложной. Эскиз рефлектора для уменьшения уровня боковых лепестков.
40 см
20 см
Рефлектор следует делать из листа толщиной не менее 3 мм, т.к. он является несущим для фидера спирали и какого-либо опорно-поворотного устройства.
Диаграмма такой антенны достаточно широка (
Спиральная антенна
1.Антенно-фидерные устройства СВЧ. (под общей редакцией Маркова)
2.Антенны. (Д.М.Сазонов)
3.Антенны и устройства СВЧ. (В.В.Никольский)
Поделитесь этой записью или добавьте в закладки |
Полезные публикации | |||||||||||||||||||||||||||||||||||||||||||||
( Ширина диаграммы направленности по половинной мощности в градусах)
(Входное сопротивление (Ом))
См
(при округлении получаем
См
lg
Главная