Московский Государственный Строительный Университет
Кафедра деталей машин
Расчет болтовых соединений и штифтов
Студент: Кузнецов П. А. Факультет: ТГВ Курс: III Группа: 2 Вариант № 27
1998 Исходные данные. Число болтов Z =6; нагрузка на кронштейны и пластины F =7.5 кН. Расчет.
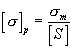
Расчетный внутренний диаметр резьбы
где
F p - расчетная нагрузка на один болт,
2.1. При переменной нагрузке затяжка болтов производится до приложения силы:
3. Расчет болта при условии нагружения по п.2.1., но с контролируемой затяжкой.
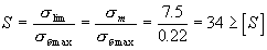
Коэффициент запаса для болтов из углеродистой стали при статической нагрузке
4. Подобрать длину болта l и его резьбовой части l 0 , а также гайку для этого болта. l =50 мм , l 0 = 18 мм , высота гайки Н г =5 мм Болт М6х50.36 ГОСТ 7798-70 Гайка М6.4 ГОСТ 5915-70 5. Определить аналитически величину предварительной затяжки болта.
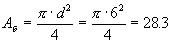
l б - податливость болта, равная его деформации при единичной нагрузке,l д - суммарная податливость соединяемых деталей.l 2 - длина гладкой части стержня болта, мм ; l 1 - расчетная длина нарезной части болта между гладкой частью болта и опорной поверхностью гайки, плюс половина длины свинчивания (высоты гайки), мм ; Е б - модуль упругости материала болта ( Е б =2.1 · 10 5 Н/мм 2 ); А б -площадь сечения гладкой части болта, мм 2 ; А б1 - площадь сечения нарезанной части болта, мм 2 ;
Для соединений кронштейнов без прокладок:
Е д - модуль упругости материалов деталей (для стальных Е д =2.1 · 10 5 Н/мм 2 ); А д - площадь поперечного сечения деталей в месте распространения деформации, мм 2 ;
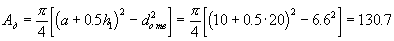
а - диаметр опорной поверхности гайки, который в расчетах можно принять равным S б ; d отв - диаметр отверстия под болт, d отв = 6.6 мм. 6. Определение величины сил, действующих после приложения внешней нагрузки. 6.1. Графическое определение
6.2. Аналитическое определение
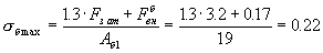
7. Расчет болта на статическую прочность (по максимальным напряжениям).
8. Проверка болта на выносливость от действия на соединение возможной переменной внешней нагрузки, изменяющейся по циклу от F min =F зат до F max =F ’ б с амплитудой F вн б Поделитесь этой записью или добавьте в закладки |
Полезные публикации |
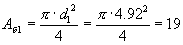
, принимаем болт d=6, d
вн
=4.92.
, где
Главная