Специализированный источник питания для АТС
Цель проектирования . Задачи проектирования : Разработка конструкции малошумящего источника питания для АТС Технические требования : Напряжение питания – 220± 22 В.; частота тока – 50 Гц.; выходное напряжение - +24 В. при Рвых Ј 250 Вт.; величина эффективного значения переменной составляющей выходного напряжения не более 100 мкВ в полосе частот от 50 Гц до 3 кГц,; защита по току нагрузки; конструктивное исполнение: силовой блок и контрольно-управляющий блок выполнены в виде 2-х различных блоков, размеры корпусов блоков в плане 480ґ 340 мм; условия эксплуатации – 1 группа по ГОСТ 16.019 – 78; вероятность безотказной работы – 0,85 при 5000 ч. работы: Содержание пояснительной записки : Введение. 1.1.Анализ технического задания. 1.2.Обоснование критерия качества проектируемого изделия.1.3.Патентно-информационный поиск. 2.1.Формализация критерия качества. 2.2.Разработка конструктивных вариантов. 2.3.Оптимизация конструкции. Выбор оптимального варианта. 2.4.Детально- конструктивная проработка оптимального варианта. 2.5.Выбор материалов, элементов, покрытий. 3.Расчет тепловых режимов. 4.Расчет надежности. 5.Разработка структурной схемы источника питания 6.1.Выбор и обоснование технологического процесса изготовления печатных плат.6.2.Технологическое приспособление для изготовления печатной платы.6.3.Расчет усилия вырубки платы по контуру и обоснование выбора пресса.6.4.Расчет исполнительных размеров штампа.7.Инструкция по эксплуатации, измерение параметров, регулирование и настройка источника питания .8.Организационно-экономическая часть. 9. ОТ и ТБ. Список литературы. Приложения. Графическая часть : Схема электрическая принципиальная ф.А1. Схема электрическая структурная ф.А1. Источник питания. Сборочный чертеж 2ф.А1. Чертеж печатной платы 2ф.А1. Сборочный чертеж печатной платы.фА1. Кондуктор. Сборочный чертеж ф.А1. Плакат. Технико-экономические показатели ф.А1.
Аннотация
В данном дипломном проекте разработана конструкция “Специализированного источника питания для АТС”, пояснительная записка содержит страниц печатного текста, имеются приложения и графическая часть на 9 листах формата А1. В дипломном проекте и обоснована и проведена оптимизация конструкции, составлены технологические требования к конструкции, выполнен патентно-информационный поиск. Большое внимание уделено конструированию источника питания. Также сделаны расчеты надежности и теплового режима. В технологической части дипломного проекта приведен выбор и обоснования технологического процесса изготовления печатной платы. Разработано приспособление для изготовления печатной платы. Приведен расчет усилия вырубки платы и обоснование выбора пресса. А также сделаны расчеты исполнительных размеров штампа. Тема дипломного проекта выполнена согласно письму главного инженера Чернского узла электросвязи - филиала ОАО “Тулателеком”. В организационно-экономической части определена себестоимость изделия, лимитная и договорная цены, экономический эффект. Рассмотрены вопросы ОТ и ТБ, охраны окружающей среды.
Содержание Введение 1. Технико-экономический анализ темы проекта 1.1. Анализ технического задания 1.2. Обоснование критерия качества проектируемого изделия 1.3. Патентно-информационный поиск 2. Конструкторская часть 2.1. Формализация критерия качеств 2.2. Разработка конструктивных вариантов 2.3. Оптимизация конструкции в соответствии с выбранным критерием качества. Выбор оптимального варианта 2.4. Детально-конструктивная проработка оптимального варианта 2.5. Выбор материалов, элементов и покрытий 2.5.1. Выбор элементов 2.5.2. Выбор материалов 2.5.3. Выбор покрытия 3. Расчет теплового режима 4. Расчет надежности 5. Разработка структурной схемы источника питания 6. Технологическая часть 6.1 Выбор и обоснование технологического процесса изготовления печатных плат 6.2 Технологическое приспособление для изготовления печатной платы 6.3. Расчет усилия вырубки платы по контуру и обоснование выбора пресса 6.4. Расчет исполнительных размеров штампа 7. Инструкция по эксплуатации, измерение параметров, регулирование и настройка источника питания 8. Организационно-экономическая часть 8.1 Организация и планирование ОКР с применением методов СПУ 8.2 Составление и расчет сетевого графика 8.3 Расчет затрат на проектирование и использование источника питания 8.3.1. Определение плановой себестоимости проведения ОКР 8.3.2. Определение прибыли и договорной цены 8.4 Расчет затрат на изготовление опытного образца электронного устройства и предпроизводственных затрат 8.5 Расчет затрат на изготовление проектируемого электронного устройства, лимитной цены 8.6 Расчет лимитной цены 8.7 Оценка уровня качества проектируемого электронного устройства 8.8 Расчет эксплуатационных затрат потребителя 8.9 Расчет годовых текущих издержек 8.10. Определение экономической эффективности проектируемого изделия. 9. Охрана труда и окружающей среды 9.1 Анализ опасных и вредных факторов при проектировании 9.2 Выбор помещения и расположение рабочих мест 9.3 Пожарная безопасность 9.4 Расчет освещения 9.5 Обеспечение электробезопасности методом заземления 9.6 Обеспечение микроклимата и расчет вентиляции Заключение Библиографический список Приложения Приложение 1 Приложение 2 Приложение 3 Приложение 4 Приложение 5 Приложение 6
Введение
Радиоэлектронная аппаратура в том числе и устройства связи предъявляют весьма жесткие требования к качеству потребляемой ими электрической энергии, а в большинстве случаев требуют обязательного преобразования энергии первичного источника. Поэтому одновременно с прогрессом в автоматике и радиоэлектронике происходит бурное развитие преобразовательной техники и статических средств вторичного электропитания радиоэлектронной аппаратуры, которые осуществляют необходимые преобразования электрической энергии (часто многократные), обеспечивая при этом требуемые значения питающих напряжений как постоянного, так и переменного однофазного или многофазного токов; электрическую изоляцию цепей питания друг от друга и от первичного источника; высокую стабильность вторичных питающих напряжений в условиях значительного изменения первичного питающего напряжения и нагрузок; эффективное подавление пульсаций во вторичных питающих цепях постоянного тока; требуемую форму напряжения переменного тока, постоянство сдвига фаз и высокую стабильность их частоты и т.д. Полученные в этой области качественно новые результаты, а именно обеспечения высокой надежности, экономичности и большого срока службы средств вторичного электропитания при их сравнительно малых габаритах и массе, обусловлены переходом на полупроводниковую элементную базу. В условиях рыночных отношений необходимо обеспечить конкурентоспособность изделий, а поэтому необходимо обеспечить надежность выполнения функциональных задач наряду с приемлемой стоимостью прибора. В данном дипломе проектируется блок вторичного электропитания, предназначенный для питания изделия специального назначения, которое критично к помехам по цепи питания в полосе частот от 50 Гц до 3 кГц. Выполнение требований заданий обеспечивается как схематическими, так и конструкторскими мерами.
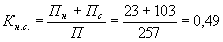
1. Технико-экономический анализ темы проекта. 1.1. Анализ технического задания Прибор выполнен по техническому заданию, составленному применительно к эксплуатации в условиях Чернского узла электросвязи филиала ОАО “Тулателеком”. Источник питания для АТС может использоваться на автоматических телефонных станциях в качестве источника питания для аппаратуры уплотнения ИКМ-120. Так как источник питания эксплуатируется в закрытом помещении, то специальных мер защиты источника питания предусматривать не следует. Рабочий температурный охват для источника питания – от +5 до +40° С, допустимая относительная влажность воздуха при 30° С – 40 до 90% , атмосферное давление – от 84 до 107 кРа. Использование источника питания на АТС предусматривает габариты и компоновку прибора исходя из размеров и расположения другой аппаратуры, а также удобство в эксплуатации, поэтому заданы габаритные размеры в плане 480ґ 340. Конструкция источника питания должна обеспечивать в полной мере выполнение технических требований, предъявляемых к прибору, и обеспечивать нормальный тепловой режим. Одним из возможных вариантов исполнения данного прибора является конструктивное оформление его в корпус. Из анализа условий эксплуатации следует, что выбор электрорадиоэлементов /ЭРЭ/ должен обеспечивать работу источника питания в заданных условиях без снижения надежности. Разрабатываемая конструкция источника питания должна быть технологична. Технологичность конструкции – это совокупность свойств конструкции изделия, обеспечивающая оптимизацию затрат при производстве, эксплуатации, ремонте с учетом заданных показателей качества, объема выпуска и условий выполнения работ. Проведем расчет показателей технологичности конструкции по методике, изложенной в [6] . Экономичность конструктивной и пространственной компоновке блока определяется количеством деталей в изделии и их распределением по назначению. Коэффициент экономичности равен:
где П доп , П всп , П осн , - соответственно, количество дополнительных, вспомогательных и основных деталей. Коэффициент повторяемости (внутренней унификации) определяется на основе выражения:
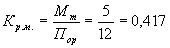
где П – общее количество деталей и узлов в изделии; П наим – общее количество наименований типоразмеров деталей и узлов в изделии. Коэффициент разнообразия применяемых материалов характеризуется качеством применяемых марок, типоразмеров материалов и определяется на основе выражения:
где М т – количество типоразмеров материалов, идущих на изготовление оригинальных и заимствованных деталей изделия; П ор – общее количество оригинальных и заимствованных деталей. Одним из важнейших критериев технологичности конструкции является степень конструктивной преемственности вновь разрабатываемой конструкции. Она характеризуется следующими коэффициентами: Коэффициентом нормализации и стандартизации, который определяется по формуле:
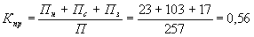
где П н ,П с - соответственно количество нормализованных и стандартизованных деталей. Коэффициентом общей преемственности, определяемый по формуле:
где П з – количество заимствованных деталей. Полученные расчетным путем показатели, сведем в табл. 1.1. Показатели технологичности конструкции Таблица 1.1.
Анализируя полученные показатели, сделать вывод, что данная конструкция источника питания в заданной серии выпуска, технологична. Прибор может эксплуатироваться на АТС. Разработанный прибор удовлетворяет всем задачам, поставленным в ТЗ. Прибор отличается сравнительно небольшими габаритами, относительной простотой и надежностью конструкции. С целью повышения ремонтопригодности источник питания выполнен, как два блока – силовой и контрольно-управляющий. Кроме этого, облегчается и тепловой режим контрольно-управляющего блока.
1.2. Обоснование критерия качества проектируемого изделия. Проектируемый прибор относится к стационарной радиоэлектронной аппаратуре (РЭА), поэтому в качестве критерия качества примем комплексный показатель качества. В условиях рыночной экономики наиболее существенными показателями, обеспечивающими конкурентоспособность изделия и характеризующими потребительские свойства изделия, являются такие показатели, как надежность и стоимость. Так как источник питания относится к стационарной РЭА, то необходимо, чтобы его конструкция обеспечивала удобство при эксплуатации и обладала хорошим эстетическим оформлением. Для этого используются наиболее удачные, ранее найденные, конструктивные решения. В нашем случае оптимальной формой источника питания является конструкция, помещаемая в прямоугольный корпус. Этот вывод сделан на основе проведенного теплового расчета. Расчет приведен в разделе 3. Отвод теплоты, благодаря относительно небольшой выделяемой мощности, осуществляется за счет естественной воздушной конвекции. Необходимая точность выдаваемых источником питания электрических параметров обеспечивается схемным решением и путем выбора электрорадиоэлементов (ЭРЭ) с малым разбросом номиналов (до 5%). Конструирование данного источника питания производится в узловом исполнении. Наличие узлов, скомпонованных в зависимости от выполняемых функций, улучшает ремонтопригодность. На основе выбранного критерия качества проводим патентно-информационный поиск по уже существующим разработкам. Результаты патентно-информационного поиска приведены в разделе 1.3.
1.3 ПАТЕНТНО-ИНФОРМАЦИОННЫЙ ПОИСК ЗАДАНИЕ НА ПРОВЕДЕНИЕ ПАТЕНТНОГО И НАУЧНО-ТЕХНИЧЕСКОГО ИССЛЕДОВАНИЯ Краткое содержание работы: Выявить аналоги и провести сравнительный анализ из функциональных возможностей и основных параметров источников питания. Отчетный документ: Справка-отчет о патентном исследовании. Справка-отчет о патентном исследовании. Таблица 1.2.
Научно-технические источники. УДК 681.322.036. Устройство для запитывания блока электропитания, выдающего рабочее напряжение постоянной величины. Power measurement system. / Clayve Fred R. / US Dep Commer. Nat. But. Stand – 1996 - №345. – США. Приводится подробное описание технических и эксплутационных характеристик системы, специально разработанной для высокостабильных электропитающих установок напряжением до 60 В. УДК 681.322.003. Устройство для стабилизации напряжения постоянного тока. Technegves automated microwave nts. /Lomas Streve/ Electron Eny. (Gr. Brit.) – 1995 – 61. №746. – англ. Устройство обеспечивает высокий уровень стабилизации во всем рабочем диапазоне напряжений, а также автоматизированный контроль выходной мощности. 9. УДК 681.322.467. Многоканальный источник питания с комбинированной защитой. /А.А. Фурсов, Курское производственное объединение “Счетмаш”./ Электронная промышленность. – 1997 г. - №1. Представлено подробное описание, структурные и принципиальные схемы источника питания предназначенного для использования в системах связи. Анализируя результаты патентно-информационного поиска можно сделать вывод об актуальности данной темы и отметить, что разрабатываемый источник питания является наиболее приемлемым компромиссом между существующими дорогостоящими аналогами и предлагаемыми вариантами для использования в качестве источника питания для многоканальной аппаратуры уплотнения типа ИКМ-120, как по конструкции, так и по технологическим показателям.
2. Конструкторская часть. 2.1. Формализация критерия качества Любую систему РЭА характеризует качество, которое определяется вектором К=(К 1 ,...К i ,...,К m ) показателей качества. С увеличением или уменьшением каждого из показателей К i качество системы монотонно улучшается при прочих равных условиях. Система, обладающая наилучшим значением вектора К i , считается оптимальной. Введем понятие критерия оптимальности системы. Это критерии, согласно которому одно значение вектора К i считается лучше или хуже другого его значения. Фактически показателем качества системы можно считать такие параметры, как масса устройства, занимаемый им объем, стоимость, потребляемая мощность, надежность, а также другие параметры в зависимости от особенностей конструкции и возможных условий эксплуатации. При оптимизации системы в целом - одной из основных задач является оптимизация ее параметров X 1 ,...,X n ,...,X m (m>n) , т.е. отыскание таких значений X 1 ,...,X n ,...,X m при которых достигается наилучшее значение вектора К показателей качества. Каждый из показателей качества K 1 ,...K i ,...K m в обобщенном случае зависит от всех параметров системы K 1 =f 1Ч (x 1 ,...x i ,...x n ) (2.1) K 2 =f 2Ч (x 1 ,...x i ,...x n ) K 3 =f 3 Ч (x 1 ,...x i ,...x n ) Функции f m называют целевыми функциями. Одновременно с обоснованием вектора К показателей качества (определением целевых функций) системы и критерия оптимальности для оптимизации параметров системы в исходных данных в общем случае требуется установить совокупность ограничений, накладываемых на показатели качества и параметры синтезируемой системы. Оптимизация системы, производимая на основе показателей качества, т.е. с учетом нескольких целевых функций, называется векторной (многокритериальной) оптимизацией. Показатели качества отличаются разнообразием. Показатели качества конструкции это количественные характеристики одного или нескольких свойств, составляющих качество конструкции, причем каждая характеристика рассматривается применительно к отдельным условиям производства, эксплуатации конструкции в зависимости от характера решаемых задач по оценке уровня качества классифицируется по различным признакам. Основным признаком классификации является классификация по характеризуемым свойствам. Это показатели надежности назначения, технологичности. В расчетах будем использовать для оценки качества показатели назначения, показатели технологичности. К группе показателей назначения отнесем три подгруппы:
К эксплуатационным показателям импульсов относятся: стабильность формируемых сигналов, выходная мощность, потребляемая мощность. К конструктивным показателям относятся показатели, характеризующие основные конструкторские решения, удобства монтажа, объем и один из важных показателей такой, как уровень миниатюризации. Уровень миниатюризации представляет собой количественную меру совокупности технических решений, направленных на эффективное исследование объема. К показателям надежности относятся следующие параметры:
К показателям технологичности отнесем:
Для того, чтобы оценить качество конструкции, безошибочно определить оптимальный вариант, необходимо количественно оценить комплексный показатель качества, состоящий из ниже перечисленных [6]. Комплексный показатель качества будем находить по формуле: Kn=0.2N3+0.3G + 0.3No + 0.2T, (2.2) где: 0.2, 0.3 - соответствующие коэффициенты весомости N3 - комплексный показатель назначения; G - комплексный конструктивный показатель; No - комплексный показатель надежности; Т - комплексный показатель технологичности. Каждый из частных комплексных показателей находится при помощи весовых коэффициентов следующим образом:
N3 = 0.9Nnm + 0.4Ntd + 0.3Nbm (2.3) где: Nnm - показатель потребляемой мощности Ntd - стабильность формируемой параметрии Nbm - потребляемая мощность нагрузки (выходная мощность) 0.3, 0.4,0.3 - соответствующие коэффициенты весомости G = 0.3V + 0.3M + 0.4Mn (2.4) где: V - объем устройства; M - масса блока; Mn - уровень миниатюризации; 0.3, 0.4 - соответствующие коэффициенты весомости.
No = 0.25Sx + 0.25D + 0.25B + 0.25Rm, (2.5) где: Sx – сохраняемость; D – долговечность; В – безотказность; Rm – ремонтопригодность. Т = 0.3Tр + 0.3Мт + 0.4Sб (2.6) где: Тр - трудоемкость изготовления блока Мт - материалоемкость Sб - себестоимость изделия 0.3, 0.4 - соответствующие коэффициенты весомости Следует особо отметить, что выше приведенные показатели используются в относительных единицах, называемых частным уровнем конструкции и данному свойству: YKi=Pi/Bi (2.7) где: Pi - показатель i-го свойства, оцениваемой конструкции Bi - показатель i-го свойства базовой конструкции Влияние каждого из критериев на общую совокупную оценку различно и зависит от вполне конкретных обоснованных требований, строго дифференцированный подход предусматривает введение коэффициентов весомости. При их выборе руководствуются следующими положениями: наибольший коэффициент весомости ; показатели одинаковой весомости имеют одинаковые коэффициенты весомости. коэффициент весомости всех рассматриваемых свойств отвечает условию: mi=1 - для комплексного показателя качества mj=1 - для частных показателей качества Однако, оптимизация конструкции с помощью комплексного показателя качества носит элемент субъективизма при бальной оценке экспертов для весовых коэффициентов. Для получения этого в качестве основных критериев качества проведем оптимизацию по критериям надежности и стоимости.
где P(t) – вероятность безотказной работы системы; l - интенсивность отказов элементов с учетом условий эксплуатации; t – время работы.
где
2.2. Разработка конструктивных вариантов. В разделе 2.1. рассмотрено множество свойств конструкции разрабатываемого прибора, соответствующие им требования и оценивающие их показатели. Для того, чтобы судить о качестве конструкции в целом, необходимо это множество показателей свести к одному, комплексному показателю, который количественно сравнит варианты конструкций. Исходя из вывода, сделанного в разделе 1.2., для оценки комплексного показателя качества конструкции прибора выбираем следующие частные показатели: группа назначения – объем, масса; группа надежности – безотказность (время наработки на отказ) и стоимость. Оценку комплексного показателя качества проводим по методике экспресс оценки по трем, функционально унифицированным приборам, выполненным на различных типах микросхем по степени интеграции и с различными конструкциями и типоразмерами печатных плат. Основные характеристики приборов приводятся ниже. Прибор №1 разъемной конструкции, скомпонован из набора ячеек, состоящих из печатных плат с интегральными микросхемами второй степени интеграции, серии К155 и навесных электрорадиоэлементов (ЭРЭ). Нижняя и верхняя стенки прибора крепятся к передней и задней панелям, образуя жесткую конструкцию размерами 480ґ 300ґ 370 мм. Кожух прибора, изготавливаемый, из тонколистового проката стали, толщиной 0,8 мм. На верхнюю и нижнюю стенки установлены направляющие из прессматериала, для крепления ячеек в приборе. Электрический монтаж ячейки осуществляется соединителями типа ГРМП1. Печатные платы в ячейке расположены параллельно друг другу, с односторонним расположением корпусов ИС и дискретных элементов. Печатный монтаж двухсторонний. Эскиз прибора приведен на рис. 2.1. Прибор №2 разъемной конструкции, состоит из набора одноплатных и двухплатных функциональных узлов, каждый из которых представляет совокупность многослойной печатной платы, корпусов микросхем второй степени интеграции. Серии КР564 и дискретных ЭРЭ, установленных с одной стороны МПП. Внутренний монтаж прибора выполнен объемным способом. Электрическое соединение между платами выполнено объединенной ПП. Размеры корпуса 480ґ 340ґ 430 мм. Материал корпуса – тонколистовой прокат алюминиевого сплава типа АМ 2 -2, толщиной 2,0 мм. Эскиз прибора приведен на рис. 2.2.
Рис. 2.2. Эскиз прибора №2. 1 – корпус; 2 – печатные платы; 3 – соединительная ПП.
Прибор №3 разъемной конструкции, состоит из набора одноплатных функциональных узлов, выполненных на интегральных микросхемах типа К555 и дискретных ЭРЭ. Печатный монтаж двухсторонний, расположение ИС и ЭРЭ одностороннее. Закрепление ПП жесткое, на стойках. Электрический монтаж между функциональными блоками выполнен объемным способом с применением разъемов. Размеры корпуса 480ґ 340ґ 430 мм. Материал корпуса – тонколистовой прокат алюминиевого сплава, типа АМ 2 – 2, толщиной 2,0 мм. Эскиз прибора приведен на рис. 2.3.
Рис. 2.3. Эскиз прибора №3. 1 – корпус; 2 – печатные платы; 3 – стойки.
По габаритным размерам приборов находим их объем: Прибор №1 – V = 8125 см 3 ; Прибор №2 – V = 8545 см 3 ; Прибор №3 – V = 8004 см 3 . Показатели надежности и стоимости приборов рассчитываем по интенсивности отказов и цене основной элементной базы приборов – интегральным микросхемам, для чего составляем таблицу 2.1. Таблица 2.1.
Вероятность безотказной работы для различных вариантов равна:
для прибора №1 – P(t) = 0,83 < P(t) по ТЗ; для прибора №2 – P(t) = 0,87 > P(t) по ТЗ; для прибора №3 – P(t) = 0,85 = P(t) по ТЗ. Рассчитанные параметры приборов сводим в таблицу 2.2. Таблица 2.2.
Все сравниваемые значения выбранных параметров приводим к безразмерным величинам, по формулам:
где
Полученные результаты сводим в таблицу 2.3. Таблица 2.3.
Для всех значений параметров определяем весовые коэффициенты с учетом меры их важности предназначения. Для экспресс - оценки наиболее эффективен и рационален метод установления весовых значений параметра экспертным путем. Сумма всех весовых значений должна быть равна единице и каждое из них не должно существенно отличаться от другого. Весовые значения параметров определенных экспертным путем заносим в таблицу 2.4. Таблица 2.4.
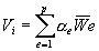
Обобщенные показатели качества конструктивной проработки трех приборов рассчитываем по средневзвешенному арифметическому значению:
где е – параметрический номер от 1 до р ;
Полученные данные сводим в таблицу 2.5. Таблица 2.5.
Оценки и анализ полученных показателей производим исходя из принципа “Чем значение показателя V i меньше, тем качество конструкторской проработки прибора лучше”. Исходя из данного принципа оценки и данных таблицы, делаем вывод, что конструкция прибора №2 наиболее полно удовлетворяет требованиям технического задания на проектирование источника питания, по характеристикам которого проводим дальнейшую проработку конструкции прибора.
критерием качества. Выбор оптимального варианта.
Проанализировав выбранный критерий качества, можно провести оптимизацию конструкции, которая удовлетворяла бы требованиям, предъявляемым к РЭА подобного типа. Конструкция источника питания должна обеспечивать:
Особое внимание при конструировании радиоэлектронной аппаратуры уделяется технологичности конструкции отдельных узлов, деталей и приборов в целом, так как технологичность конструкции существенно сказывается на качестве сборки, ее трудоемкости и себестоимости. Необходимо стремится к тому, чтобы во вновь создаваемых конструкциях в максимальной степени использовались стандартные и нормализованные детали, а также детали и узлы из ранее спроектированных конструкций, с целью сокращения затрат на разработку и освоение. Выполнить это условие можно путем применения метода функционально-узлового конструирования. Прибор размещаем в корпусе. В качестве механической конструкции можно использовать каркас, на который будут крепиться печатные платы, передняя и задняя панели, детали корпуса. Как уже отмечалось при конструировании источника питания, применяем функционально-узловой метод. Его сущность заключается в том, что часть схемы, способная выполнять частичную задачу, объединяется в конструктивно и технологически законченные узлы. Основными достоинствами этого метода является:
При функционально-узловом методе значительно упрощается сборка и монтаж как всей РЭА, так и отдельных ее частей снижается квалификация сборщиков (в процессе сборки не требуются рабочие высокой квалификации), обеспечивается технологичность и экономичность РЭА при любом объеме ее выпуска. С учетом изложенного выше, схема источника питания разбита на следующие функциональные узлы:
Функциональные узлы выполнены на печатных платах размером 170ґ 200 мм из фольгированного стеклотекстолита, толщиной 1,5 мм ГОСТ 10316-72. Соединение узлов между собой и элементами передней панели осуществляется посредством проводов. Компоновка панели управления (панель передняя) имеет целью достичь внешней выразительности аппарата и разделить элементы управления по функциональному назначению. При компоновке передней панели необходимо использовать метод относительной симметрии, когда все элементы, выносимые на переднюю панель, располагаются симметрично относительно друг друга. При конструировании и его компоновке должны быть учтены требования оптимальных функциональных связей между модулями и их стабильность и устойчивость, требования прочности жесткости, помехозащищенности и нормального теплового режима, требования технологичности, эргономики, удобства эксплуатации и ремонта. Проектируемый прибор относится к стационарной РЭА, поэтому необходимо стремится к тому, чтобы конструкция источника питания была удобной при эксплуатации и хранении. С этой целью целесообразно использовать не унифицированный каркас блока, а собрать его из отдельных частей. Отдельные детали каркаса соединяются при помощи сварных соединений. Для обеспечения надлежащей жесткости конструкции, каркас необходимо изготовить из стали, толщиной не менее 1,0 мм. Большая толщина стенок неизбежно приведет к увеличению массы, а меньшая к необратимым деформациям при случайном падении источника питания. Такой метод сбора каркаса исключит наличие дополнительных крепежных элементов, которые используются в унифицированных блоках.
Источник питания для АТС конструктивно представляет собой законченный прибор. Одним из функциональных узлов данного прибора является плата опознавания режима стабилизации. Конструктивно плата опознавания режима стабилизации выполнена в виде одной, двухсторонней печатной платы (ПП). Одной из трудоемких операций в проектировании печатных плат, является топологическое конструирование. Топологическое конструирование ПП, включает размещение РЭ на рабочей площади ПП и трассировку соединений между контактными площадками, включая разработку рисунка печатной платы. Процесс топологического конструирования слагается из размещения и трассировки. При размещении расставляются навесные элементы на плате, распределяются контакты соединителей по электрической схеме и размещают контрольные гнезда. При трассировке прокладывают линии соединений (проводники) между контактными площадками в соответствии со схемой электрической принципиальной с учетом геометрических и электрических ограничений. Геометрические ограничения обусловлены технологией изготовления ПП. Параметры геометрических ограничений при комбинированном методе следующее:
Элементы распределяются на плате таким образом, чтобы массы по поверхности ПП была распределена по возможности равномерно. Установка радиоэлементов производится согласно ОСТ 4.ГО.016.630-81. В разрабатываемом проекте топологические работы по изготовлению ПП проведены с помощью системы автоматизированного проектирования, заключающейся в разработке полной конструкторской документации на плату управления, машинным методом, в системе PCAD. Основные достоинства данной системы и порядок разработки КД следующие:
Чертежи, получаемые машинным методом, пропускают через КСЕРОКС и получают готовые подлинники на кальке, не используя труд копировщиц. Таким образом, система PCAD, позволяет значительно сократить время от начала разработки ПП до ее полного изготовления в производстве. Печатная плата опознавания режима стабилизации изготовлена подобным образом.
Конструктивно источник питания выполнен в виде прямоугольного блока состоящего из следующих основных деталей и сборочных единиц:
Отвернув винты основания к кожуху, имеем возможность, получить доступ ко всем составным узлам источника питания, что обеспечивает достаточную ремонтопригодность источника питания. Ремонтопригодность, есть свойство приспособленности изделия к обнаружению, устранению и предупреждению отказов и к выполнении ремонтов в течении заданного времени, при полном обеспечении ремонтными средствами и запасными частями. Уровень ремонтопригодности на стадии проектирования рассматривается при проектировании прибора (при компоновке) с точки зрения основного принципа – взаимозаменяемости и доступности к функциональным узлам. Исходя из компоновки разрабатываемого источника питания, можно сделать вывод, что доступность к функциональным узлам источника питания, так как все функциональные узлы свободно выдвигаются из корпуса, что делает их хорошо доступными для осмотра и ремонта. Внутренний электромонтаж разрабатываемого источника питания выполнен объемным способом, с применением провода марки МГШВ-0,12 ТУ16-505-473-82, который имеет интервал рабочих температур от -40° до +70° С. изоляция провода эластична, малогорюча и обеспечивает высокую стойкость к воздействию влаги. Объемный электромонтаж применяется в межблочных и межузловых соединениях. Такой монтаж выполняют в соответствии с монтажной схемой по всему объему, в трех взаимно перпендикулярных плоскостях. Близко расположенные провода при укладке объединяют в один жгут. Прокладка проводов в жгут значительно упрощает выполнение электрического монтажа пооперационно: вязка жгута, разделка концов провода, крепление жгута и пайка его жил к соединительным разъемам, блокам, узлам. В разрабатываемом источнике питания, жгут вяжем нитками 9Кр ПТУ17 РСФР 62-2710-80, жгут крепим с помощью скоб к каркасу прибора. Под каждой скобой устанавливаем прокладку из электрокартона в целях предохранения проводников от обрыва и порчи изоляции при ударах и вибрации. Качество внешнего оформления источника питания зависит от того, насколько удачны средства обеспечения технических требований, сочетаются со средствами обеспечения технической эстетики. Цветовая окраска источника питания и его лицевой панели описана в разделе – “Выбор покрытия”. Для контроля параметров разрабатываемого источника питания приемлема автономная система контроля, которая компонуется из отдельных приборов. В комплект контрольно-измерительной аппаратуры должны входить: осциллограф, электронный вольтметр. В качестве контрольных точек на входе и выходе функциональных узлов допустимо использовать выводы печатных плат, в местах соединения их проводниками, с соответствующей маркировкой. Проведенная детально-конструктивная проработка оптимального варианта конструкции источника питания показала, что разрабатываемый в проекте прибор, в целом отвечает требованиям технического задания по компоновке, законченности функциональных узлов, примененных в конструкции элементам и материалам, требованиям технической эстетики, ремонтопригодности, технологичности и безопасности.
Правильно сделанный выбор элементов во многом определяет надежность блока, технологичность его конструкции, и в конечном счете, экономичность разрабатываемой конструкции в целом. Выбор элементов производится с учетом:
Произведем выбор электрорадиоэлементов проектируемого прибора. Исходя из сказанного выше, в качестве постоянных резисторов выберем металлодиэлектрические резисторы типа МЛТ. Основным критерием их выбора является их низкая стоимость, распространенность, высокая стабильность, малая зависимость сопротивления от напряжения и частоты, низкая паразитная емкость и индуктивность, малые габариты. В качестве электролитических конденсаторов оксидноаллюминиевые К50-35, т.к. обладая малыми габаритами, обеспечивают требуемые параметры, предназначены для печатного монтажа. Остальные конденсаторы - по перечню элементов. Микросхемы серии К564, эта серия является современной, распространенной, имеет малые габариты, приемлемые параметры и стоимость. В приборе имеются переключатели с помощью которых задаются различные режимы работы прибора. В качестве переключателей выбираем П2К, которые имеют достоинства: возможность установки их на печатной плате, они надежны и удобны в эксплуатации. В качестве разъемов выбираем разъемы для установки их на печатной плате СНП 34С-135/132ґ 9,4Р-22-В .
Выбор материалов конструкции определяется, прежде всего, технико-экономическими требованиями. Материалы, используемые в качестве основания печатных плат, должны обладать рядом свойств: достаточной прочностью, высокими изоляционными свойствами, низким водопоглащением. Кроме того, материал оснований печатных плат должен быть таким, чтобы при механической обработке (сверлении, штамповке, распилке) не образовались трещины, расщепления и неблагоприятные явления, влияющие на эксплуатационные свойства, а также на электрические параметры плат. Материал платы должен обеспечивать хорошую сцепляемость с токопроводящими покрытиями, иметь минимальное коробление в процессе эксплуатации и производства. В настоящее время для производства узлов с печатным монтажом, широкое применение находят фольгированные диэлектрики: фольгированный гетинакс и фольгированный текстолит. Исходя из сказанного, а также из условий эксплуатации, в качестве материала для изготовления печатных плат применяем фольгированный стеклотекстолит СФН-2-35-1,5, который обладает высокой механической прочностью, химической прочностью, хорошими электроизоляционными свойствами и низким влагопоглощением. По своей природе слоистые материалы чувствительны к проникновению влаги. Для устранения этого нежелательного явления и для придания узлам большей механической прочности, платы после монтажа покрываются защитным лаком. Каркас, применяемый в приборе, изготовлен из дюралюминия.
Выбор защитного покрытия производится с учетом функционального назначения детали (или узла), материала, способа изготовления, продолжительности и характера действия окружающей среды. Детали предназначенные для использования внутри блоков, должны защищаться металлическими покрытиями, окисными, пассивными пленками. Детали из сплавов Д16, расположенные внутри корпуса, защищаем аннодированием, вид покрытия – окисное, обозначение Ам.Окс.хр. Поверхности деталей, непосредственно соприкасающих с внешней окружающей средой, защищаются лакокрасочными покрытиями с предварительным анодированием. Лакокрасочные покрытия характеризуются удобством их нанесения, малой стоимостью и приемлемой долговечностью. Корпус блока также подвергается анодированию. Затем наносится грунт ФЛ-03-К. толщина грунта должна быть не менее 40 мкм. Для выравнивания загрунтованной поверхности допускается шпаклевание пастообразной массой, максимальная толщина шпаклевки 0,4 мм. Большое значение, с точки зрения эстетики, имеет цвет покрытия. Для покрытия прибора используем “стойкие”, малонасыщенные тона. Цвет передней панели должен быть светлее корпуса. Для передней панели используем серо-голубую нитроэмаль марки НЦ-25 МРТУ10-105-67. Для корпуса источника питания используем черную эмаль марки МЛ-165. ГОСТ 12034-66. Заполнение гравировок надписей – эмаль ХВ-16 черный МРТУ 10-705-67.
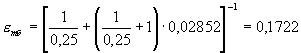
Подавляющее большинство РЭА лишь небольшую потребляемой от источников питания энергии выдают в виде полезной энергии сигналов, остальная часть преобразуется в тепловую энергию и передается в окружающую среду. Общий температурный фон устройства будет определятся удельной мощностью тепловыделения и плотностью теплового потока, проходящего сквозь кожух (корпуса) устройства. Точный анализ температурного состояния РЭА связан с большими трудностями, которые объясняются сложностью конструкции происходящих в ней процессов, поэтому при изучении теплового режима РЭА применяют приближенное физико-математическое исследование и расчет теплоотвода в РЭА носит оценочный характер, необходимый для установления исходных параметров конструкции. По соображениям экономичности, прежде всего, необходимо стремится к естественному охлаждению, принимая конструктивные меры к интенсификации передачи тепла в окружающее пространство или на другие части конструкции. Естественное воздушное охлаждение возможно только при атмосферном давлении окружающего воздуха не ниже 53-60 кПа и при относительно невысокой температуре. Естественное воздушное охлаждение в герметичных блоках позволяет отводить тепло при плотностях теплового потока до 0,05 Вт/см 2 , при перегрев внутри блока не превышает 30° С. такой перегрев допустим для аппаратуры, работающей в условиях близких к нормальным. Целью расчета является определение температуры нагретой зоны и среды вблизи поверхности радиоэлементов, необходимых для расчета надежности блока. Расчет температуры производится для критического элемента, т.е. элемента, максимально допустимая температура, которого имеет наименьшее значение среди всех элементов, входящих в состав устройства. Исходя из перечня элементов прибора определяем, что максимально допустимая рабочая температура большинства радиоэлементов не ниже +85° С (конденсаторы, резисторы, диоды, транзисторы). Самой низкой рабочей температурой обладает микросхема серии 564, которая составляет +70° С, поэтому расчет будем вести относительно микросхем указанной выше серии. Расчет теплового режима проведем по методике, изложенной в [6], согласно которой он проводится в три этапа:
Этап 1. Определение температуры корпуса.
где Р 0 – мощность, рассеиваемая блоком в виде теплоты Р 0 =85 Вт; S к – площадь внешней поверхности корпуса блока (м 2 ).
где L 1 ,L 2 , L 3 – длина, ширина и высота корпуса соответственно (м).
Полученный результат не превышает 10 3 Вт/м 2 , поэтому принимаем естественное воздушное охлаждение. Компоновка прибора предусматривает это. Печатные платы расположены вертикально, имеется перфорация корпуса.
где e i – степень черноты i – поверхности корпуса, определяется в зависимости от материала по таблице 4,9 [6]. e н = e в = e б = 0,25 для алюминия.
где L опр.i – определяющий размер i -ой поверхности; b m – коэффициент объемного расширения для газов b m = (t m +273) -1 ; q – ускорение свободного падения 9,8 м/с 2 ; V m – кинетическая вязкость газов, определяется из таблицы 4.10 [6] для определяющей температуры t m V m =1,6Ч 10 5 м 2 /с.
Из полученных результатов в соответствии с данными [6] , делаем заключение, что для прибора имеет место ламинарный режим движения воздуха.
Для данного режима
где l m – теплопроводность воздуха определяется по таблице 4.10 [6] для определяющей температуры t m . l m =2,68Ч 10 -2 (Вт/мк), N i – коэффициент учитывающий ориентацию поверхностей корпуса (0,7 – для нижней поверхности, 1- для боковой, 1,3 – для верхней поверхности).
где S н , S б , S в – площади нижней, боковой и верхней поверхностей соответственно. S н = S в =L 1 L 2 = 0,48Ч 0,28=0,1344 (3.9) S б =2L 3 (L 1 +L 2 )= 2Ч 0,3(0,48+0,28)=0,456 (3.10) s к = (2,64+2,3)Ч 0,1344+(3,7+2,3)Ч 0,456+(2,64+2,3)Ч 0,1344=0,572
где k нi – коэффициент, учитывающий атмосферное давление k н1 =1; k кп – коэффициент, зависящий от коэффициента перфорации k п , определяется по графику 4.11.
где S п – площадь перфорации отверстий S п =20Ч 10 -3 м 2 . k п =0,086 , k кп =0,94
Этап 2. Определение среднеповерхстной температуры нагретой зоны.
где l 1 , l 2 , l 3 – длина, ширина и высота нагретой зоны.
где e mi – приведенная степень черноты i –ой поверхности нагретой зоны и корпуса
где e зi и S зi – приведенная степень черноты i -ой поверхности нагретой зоны
Pr=0,701
Для нижней поверхности
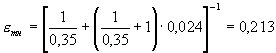
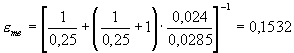
Для верхней поверхности Gr =2,906Ч 10 6 , поэтому a з.к.в определяем по формуле
Для боковой поверхности Gr б Pr= 3,415Ч 10 6Ч 0,701=2,394Ч 10 6 , a з.к.б определяется по формуле:
Так как погрешность нагретой зоны составляет менее 0,1, то расчет выполнен правильно, поэтому после определения температуры нагретой зоны t з =t 0 +D t з0 =8,32 можно перейти к расчету поверхности элементов.
Этап 3. Расчет температуры поверхности элемента
где S осн –площадь основания микросхемы. По ГОСТ 17467-79 корпус микросхемы имеет размеры (19,2ґ 7,3ґ 5) мм, тогда S осн =1,4Ч 10 -4 м 2 .
S ис =0,0192Ч 0,0073Ч 2+0,0073Ч 0,005Ч 2+0,0192Ч 0,005Ч 2=5,45Ч 10 -4 м 2 .
где a 1 , a 2 – коэффициенты естественного теплообмена с 1-ой и 2-ой сторонами печатной платы. Для естественного теплообмена a 1 + a 2 =17 Вт/м 2 К d п – толщина печатной платы 1,5 мм.
где В и М – условные коэффициенты, введены для упрощения формы записи, при одностороннем расположении микросхем В=8,5p R 2 , М=2 ; К – эмпирический коэффициент, для корпусов, центр которых отстоит от торца платы на расстоянии менее 3R - К=1,44; d з – зазор между печатной платой и микросхемой d з =0,001 м; l з – коэффициент теплопроводности материала заполняющего зазор: для воздуха l з =2,68Ч 10 -2 Вт/мК; Q ис – мощность, рассеиваемая микросхемой; К а – коэффициент теплоотдачи от корпуса микросхемы, определяется по графику [6] К а =40 Вт/м 2 К; D t в – среднеобъемный перегрев воздуха в блоке (° С)
При расчете теплового режима прибора получили, что корпус микросхемы имеет температуру 34,2° С. Это значение меньше предельно допустимой (+75° С) температуры корпуса, следовательно, обеспечивается нормальный тепловой режим при естественном охлаждении. Принудительной вентиляции не требуется.
Анализ безотказности прибора. Отказы конструкции, которые характеризуют безотказность, долговечность и сохраняемость, имеют общий физико-химический механизм. Рассмотрим безотказность прибора с точки зрения физического износа. Физический износ – износ материальной части изделия до такого состояния, при котором дальнейшая эксплуатация его не возможна, а восстановление изношенных частей экономически не целесообразно. Физический износ наступает вследствие потери размеров деталей, обгорания контактов, естественного старения материалов. Для РЭА особо характерными формами материального износа являются изменение физических и химических параметров электрорадиоэлементов. Рассматривая разрабатываемый источник питания с этих точек зрения необходимо отметить, что применяемые в конструкции источника питания электрорадиоэлементы, материалы, покрытия и технологии их изготовления обеспечивают сохраняемость прибора во все время его эксплуатации, а значит и безотказность. Рассмотрим безотказность прибора с точки зрения разновидностей отказов. Отказы отличаются друг от друга моментом возникновения в течение срока службы прибора: отказы внезапные, износовые и приработочные. Внезапные отказы имеют случайный характер и составляют две трети всех отказов, наблюдаемых при эксплуатации длительно используемой РЭА. Износовые отказы проявляются к концу службы прибора. С приближением конца срока, т.е. предельного состояния, число износовых отказов резко возрастает. Приработочные отказы имеют максимум непосредственно после изготовления изделия и играют в это время главную роль. Поэтому, необходимо, чтобы период с максимумом приработочных отказов приходился на время когда изделие еще не передано потребителю, т.е. эксплуатация еще не началась. С этой целью вводят в технологический процесс изготовления прибора период прогона, имитирующий начальную фазу эксплуатации, что позволяет устранить приработочные отказы еще до начала эксплуатации прибора у потребителя. В период проведения опытно-конструкторских работ по проектированию прибора и изготовлению опытного образца во всех случаях проводят лабораторно-стендовые испытания с имитацией воздействующих факторов заложенных в технические условия на данный прибор. Целью проведения лабораторно-стендовых испытаний является выявление возможных отказов и выработка рекомендаций по их устранению. Важнейшим показателем качества конструкции является надежность. С учетом того, что разрабатываемая конструкция является прибором эксплуатируемым в помещении АТС, где неблагоприятные воздействия окружающей среды не оказывают на него вредное влияние, то требования к надежности упрощаются, так как прибор предусматривает эксплуатацию в нормальных условиях. В процессе эксплуатации электронного узла на его элементы воздействуют как внутренние, так и внешние факторы. Все это в совокупности с естественным старением приводит к тому, что изменяются механические и электрические параметры материалов. В конечном итоге, указанные факторы могут приводить к отказу РЭА. При разработке РЭА, еще на стадии проектирования закладывается вполне определенный уровень надежности устройства. Правильность выбора комплектующих, из которых строится РЭА, имеет принципиальное значение для обеспечения ее надежности. Прогресс в развитии РЭА обеспечивается прогрессом в развитии элементной базы. Основой элементной базой современной РЭА являются микросхемы, благодаря своей высокой надежности. Основной характеристикой надежности объекта (системы, устройства) является вероятность Р(t) его безотказной работы в течение времени t .для определения Р(t) удобно использовать понятие интенсивности отказов l (t) , т.е. число отказов в единицу времени. Анализ принципиальной и структурной схемы прибора показывает, что прибор является не резервируемой аппаратурой, при этом подразумевается, что все элементы в схеме включены последовательно. Вероятность безотказной работы такой системы в течении заданного времени определяется по формуле:
где l i - интенсивность отказов элементов с учетом условий эксплуатации (1/ч); t p – заданное время работы (ч); n – количество отказов
где l 0i – номинальная интенсивность отказов; к 1 – коэффициент зависимости от ударных нагрузок; к 2 - коэффициент зависимости от воздействия вибрации; к 3 – коэффициент, зависящий от атмосферного давления; к 4 - коэффициент, зависящий от влажности и температуры Так как прибор эксплуатируется в лабораторных условиях, то коэффициенты к 1 =к 2 =к 3 =к 4 =1 . На основании схемы электрической и справочных данных были определены номинальные интенсивности отказов элементов схемы и коэффициенты нагрузки a i (T,k n ). Полученные данные сведены в таблицу Для расчета надежности источника питания, сводим в таблицу интенсивности отказов элементов. Интенсивность отказов элементов. Таблица 4.1.
На графике рис.4.1. приведена зависимость вероятности безотказной работы прибора для различного времени наработки в интервале 0ё 10000 часов. Среднее время наработки на отказ исходя из суммарной интенсивности отказов:
Вывод: расчет надежности прибора показал, что при заданной наработке 5000 часов вероятность безотказной работы прибора Р(5000)=0,892, что удовлетворяет требованиям технического задания Р(5000) ТУ і 0,85.
Рис.4.1. График вероятности безотказной работы. специализированного источника питания.
Так как источник питания малошумящий и должен обеспечивать требования ТЗ по первой составляющей на выходе, то невозможно применение импульсных стабилизаторов. При наличии первого линейного стабилизатора мощность на проходных транзисторах составит 510 Вт в худшем случае. Поэтому необходимо введение еще одного стабилизатора, поддерживающего напряжение на проходных транзисторах минимально возможным. Исходя из этого, применяется дополнительный тиристорный стабилизатор. При разработке структурной схемы опираемся на то, что, на выходе должны получить напряжение от 15 до 35. В и мощность 250 Вт при питании 220 В частотой 50Гц. Для фильтрации пульсаций напряжения применяем LC фильтры. В ТЗ предусмотрена защита по току. Для этого ставим на выходе датчик тока и подаем полученное значение тока на элемент преобразования тока в напряжение. Это напряжение подаем на систему развязки по обратным связям. Если на выходе мы получим не ноль, то усилитель ошибки усиливает и подает полученное напряжение снова на эту цепь, пока после развязки напряжение не будет равно нулю. С датчика тока через преобразователь тока в напряжение, где идет сравнение полученного напряжения и опорного напряжения подается на опознаватель режима стабилизации тока, где узнается больше ли значение выпрямленного тока, чем нужно. С опознавателя режима стабилизации тока подается напряжение на формирователь образцовой длительности, где получаем сигнал с нужной нам длительностью. Далее сигнал образцовой длительности сравнивается с длительностью полученного сигнала в формирователе выключения по длительности, и если значение полученного тока выше номинального, то формирователь выключения подает команду на отключение блока. Далее необходимо сделать, чтобы на проходных транзисторах была как можно меньше потеря мощности. Для этого мы снимаем значение падения напряжения на проходных транзисторах и через компаратор сравниваем его с опорным напряжением. Если значение падения напряжения находится в интервале 2 – 4 В, то анализатор состояния не дает импульсы на счетчик, который в свою очередь не меняет состояние. Если значение напряжения выходит за пределы интервала 2 – 4 В, то анализатор состояния по одному каналу подает импульсы на счетный вход двоичного счетчика, а по другому информацию: складывать количество импульсов или вычитать. Двоично-десятичный дешифратор выбирает рабочую пару тиристоров, на которую разрешается прохождение гальванических развязанных импульсов управления частотой 100 Гц.
процесса изготовления печатной платы
Существуют разнообразные методы изготовления печатных плат, отличающиеся друг от друга способом создания проводящего покрытия. Получившие наибольшее применение в промышленности методы изготовления печатных плат могут быть объединены по технологическим признакам в три основные группы. Первая группа - получение печатных проводников осаждением электролитической меди на изоляционное основание. Для этого используют следующие методы: фотоэлектрохимический, офсетноэлектрохимический, сеточноэлектохимический, прессоэлектрохимический. Вторая группа - получение печатных проводников травлением фольгированного изоляционного материала. Для этого используют следующие методы: фотохимический, офсетнохимический, сеточнохимический. Третья группа – комбинированные методы изготовления печатных плат. Для изготовления двухсторонних печатных плат применяют комбинированные методы, в которых печатные проводники получают путем химического травления фольги, а межслойные электрические соединяются путем металлизации монтажных отверстий. Существуют две разновидности комбинированного метода:
В негативном варианте печатные проводники получают с негатива их изображения. Однако позитивный вариант обеспечивает следующие преимущества. При позитивном варианте комбинированного метода в отличии основные операции проводят до химического травления фольги, что обеспечивает следующие преимущества этого метода: предотвращается срыв печатных проводников и контактных площадок при сверлении монтажных отверстий, т.к. сверление проводится до формирования проводников в фольге заготовки; для гальванической металлизации отверстий не требуется контактного приспособления; во время металлизации отверстия значительно сокращается вредное воздействие сильных химических реагентов на диэлектрик печатных плат. Учитывая двухстороннюю конструкцию печатных плат источника питания, требуемую по ТЗ точность их изготовления, а также преимущества комбинированного позитивного метода разрабатываем технологический процесс изготовления печатной платы позитивным комбинированным методом, который заключается в следующем. На заготовке печатной платы формируют защитный рисунок светочувствительной эмульсии, защищая его лаком, сверлят монтажное отверстие, которое затем металлизируют химическим меднением с последующим гальваническим наращиванием слоя меди. После этого печатные проводники защищают гальваническим осаждением сплава олова-висмут. Удаляется защитный слой фотоэмульсии и производится химическое травление меди с пробельных мест. Технологический процесс изготовления печатной платы разработан на технологических картах и представлен в приложении.
Радиоэлектронная аппаратура в последние годы выпускается в возрастающих количествах. Это характеризуется многообразием технологических процессов, сложностью применяемого оборудования, оснастки, приспособлений. Но для решения полностью такой задачи необходимо широкое внедрение автоматизации и механизации производственного процесса, что влечет за собой не только большие возможности роста объема производства, повышения производительности и облегчения условий труда, снижение себестоимости, но и коренного усовершенствования производственных процессов, обеспечивающих улучшение качества изделий. При изготовлении печатных плат, одной из трудоемких операций является разметка и сверление монтажных отверстий. При крупносерийном производстве печатных плат целесообразным является штамповка отверстий, которая резко снижается вместе с трудоемкостью этой операции, но требует изготовления дорогостоящих штампов. Затраты на изготовление штампов не оправдываются при мелкосерийном производстве печатных плат. В таких случаях отверстия выполняются методом сверления. Анализ показывает, что при сверлении как правило бывает большой процент брака и низкая производительность, что в конечном итоге приводит к увеличению трудоемкости. Разработанное приспособление – кондуктор упрощает процесс сверления отверстий и позволяет получить увеличение производительности. Кондуктор состоит из следующих основных деталей:
Принцип работы. Перед сверлением откидной болт (4) с гайкой отводятся в сторону, кондукторная плита (2) поворачивается, на базирующие накладки (3) устанавливается заготовка, после этого плита (2) возвращается в исходное состояние на осях (7). Откидной болт (4) вводится в паз плиты, гайка (5) закручивается, при этом заготовка закрепляется плитой (2) на накладках (3), после чего производится последовательное сверление заготовки плиты через отверстие кондукторной плиты. По окончании сверления гайка (5) отворачивается и откидывается с болтом (4) в сторону, плита откидывается, извлекается заготовка печатной платы, выметается стружка, устанавливается следующая заготовка и цикл повторяется.
Для выбора пресса проведем расчет усилия вырубки по контуру печатной платы. Исходные данные для расчета:
Выбор пресса для установки на него штампа сделан на основании расчета по методике изложенной в [5]. Р общ. = Р 1 + Р 2 + Р 3 + Р 4 ; (6.1) Определяем усилие вырубки печатной платы. Р 1 = П Ч H Ч t Ч k 1 , (6.2) где L - суммарная длина контуров вырубаемых и пробиваемых отверстий в мм H - толщина материала, мм; k 1 = 1,3 - коэффициент запаса прочности. Р 1 = (200 + 170) Ч 1,5 Ч 10 -3 Ч 2 Ч 10 -3 Ч 9 Ч 10 7 Ч 1,3 = 129870 Н. Определяем усилие прижима Р 2 = П Ч H Ч g (6.3) где g - удельное давление прижима = 1,5Ч 10 7 Р 2 = 0,74 Ч 1,5 Ч 10 -3 Ч 1,5 Ч 10 7 = 16650 Н. Определяем усилие проталкивания Р 3 = k 2 Ч Р 1 (6.4) где k 2 = 0,08 - коэффициент зависящий от механических свойств материала платы h - высота цилиндрического пояска матрицы . Р 3 = 0,08 Ч 129870 = 10389,6 Н Определяем усилие снятия отходов и детали с пуансона Р 4 = k сн Ч Р 1 (6.5) где k сн = 0,06 - коэффициент зависящий от толщины материала и типа штампа Р 4 = 0,06 Ч 129870 = 7792,2 Н Р общ = 129870 + 16650 + 10389,6 + 7792,2 = 164701,8 Н На основании выполненного расчета выбираем однокривошипный пресс простого действия модели К2122 с параметрами: номинальное усилие – 160 кН, ход ползуна – (10 – 55) мм; число ходов ползуна – 120 в минуту.
Для определения исполнительных размеров пуансона и матрицы вырубного штампа для обработки печатной платы по контуру воспользуемся следующими данными:
Расчет выполнен по методике изложенной в [5]. Так как толщина платы не превышает 2 мм, то вырубку платы будем вести без подогрева. Определяем исполнительные размеры матрицы и пуансона:
где D м - номинальный размер вырубаемой детали, мм; d - допуск на соответствующий размер вырубаемой детали, мм; d м и d п - допуски на изготовления режущего контура матрицы и пуансона; D - номинальный технологический зазор между пуансоном и матрицей В соответствии с требуемой степенью точности изготовления печатной платы имеем следующие допуски вырубаемого контура 200 -0,63ґ 170 -0,63 . Из таблицы 2.10 [5] выбираем D =0,06, тогда исполнительные размеры матрицы и пуансона по длине и ширине соответственно составят: А м =200-0,63+d м =199,37 +d м ; А н =200-0,63-0,06-d п =199,31 -d п ; В м =170-0,63+d м =169,37 +d м ; В н =170-0,63-0,06-d п =169,31 -d п ; Для получения размеров платы, соответствующих 13-му квалитету точности, пуансоны и матрицу следует изготовить по 10-му квалитету, которому соответствует допуск 160 мкм. С учетом этого допуска размеры матрицы и пуансона составят: А м =199,37 +0,16 ; А н =199,31 -0,16 ; В м =169,37 +0,16 ; В н =169,31 -0,16 .
регулирование и настройка источника питания
Перед включением источника питания необходимо ознакомится с органами управления, расположенными на лицевой панели. Для приведения в рабочее состояние источника питания и поддержания его длительной работоспособности необходимо точно выполнять требования инструкции. При работе с ИП обслуживающий персонал должен соблюдать правила техники безопасности для электроустановок с напряжение до 1000 В. В целях обеспечения безопасности обслуживающего персонала металлические нетоковедущие части ИП должны быть соединены с болтом “земля”. Болт “земля” на месте эксплуатации заземляется. Обслуживающим персоналом периодически должна производится проверка надежности мест соединения передней панели, кожуха и магнитопроводов моточных элементов с заземленной панелью ИП.
Источник питания должен быть проверен и настроен отдельно на омическую переменную нагрузку, которая выбирается в соответствии с выходными параметрами. Перед включением ИП:
Включите ИП и, плавно изменяя сопротивление переменного резистора (16), произведите регулирование выходного напряжения ИП в пределах 15ё 35 В. Установите на выходе ИП напряжение 24 В, точная настройка напряжения осуществляется переменным сопротивлением (17).
Настраивайте ограничение по току в режиме стабилизации напряжения на 120 +5% от максимального выходного тока ИП:
Произведите измерение пульсации выпрямленного напряжения на активной нагрузке сопротивлении нагрузки соответствующей максимальному току и напряжению эксплуатации ИП, величина пульсации, измеренная псофометром, не должна превышать 100 мкВ псофометрических.
Целью разработки данного дипломного проекта является улучшение характеристик и снижение себестоимости изделия по сравнению с существующими аналогами. В результате был разработан специализированный источник питания для АТС (ИП), который значительно превосходит по своим техническим характеристикам аналогичные изделия. Еще одним из критериев является экономическая целесообразность изготовления прибора – принесет ли данное изделие прибыль и стоит ли его разрабатывать с этой целью.
Наиболее сложным и ответственным разделом организации и планирования НИОКРР является определение трудоемкости, так как трудовые затраты часто составляют основную часть стоимости темы и непосредственно влияют на срок ее разработки. Трудоемкость разработки этапов ОКР (нормо-ч) – определяется;
где t р.д – доля трудоемкости этапа “Разработка рабочей документации” в общей трудоемкости выполнения ОКР, доли единиц (0,6); К сн - коэф. снижения трудоемкости (0,6); Т окрi - трудоемкость i – го этапа ОКР, час. n ч - количество чертежей формата А1, 34 листа; t ч - удельная трудоемкость выполнения одного чертежа (25..30 ч.); К у - коэф. учитывающий группу сложности, К у =1.25; Д i – трудоемкость соответствующего i – го этапа в общей трудоемкости НИР, %.
Распределение трудоемкости по этапам ОКР представлено в табл. 8.1. Таблица 8.1 ---------------------------------------------------------- Nп/п Стадии ОКР Трудоемкость % -- -------------------------------------------------------- 1.Разработка технического задания 2,5 2.Разработка технологического предложения 2,5 3.Разработка эскизного проекта 15,0 4.Разработка технического проекта 20,0 5.Разработка рабочей документации 60,0 в том числе: а)изготовление опытного образца 30,0 б)разработка конструкторской документации 25,0 в)гос. испытания опытного образца и корректировка КД 5,0 ИТОГО 100,0 ----------------------------------------------------------- Трудоемкость на каждом этапе
где Д окрi - трудоемкость соответствующего i – го этапа в общей трудоемкости ОКР, %; Т 1 = 23,8 нормо-ч Т 2 = 23,8 нормо-ч Т 3 = 142,8 нормо-ч Т 4 = 190,4 нормо-ч Т 5 = 571,2 нормо-ч Состав исполнителей соответствующего этапа ОКР
где И i – количество исполнителей соответствующего этапа ОКР; Т i - трудоемкость этапа ОКР; К кл - коэф. перевода рабочих дней в календарные, К кл = 365 / 252 = 1,4 ; F дн - действительный фонд времени одного исполнителя, чел.-час; П дир - заданная продолжительность выполнения работ, (120…140 кал.дн);
где F н - номинальный сменный фонд времени; F н =8,0 час; a - плановые потери сменного рабочего времени,12%.
И 1 = 0,05 И 2 = 0,05 И 3 = 0,28 И 4 = 0,38 И 5 = 1,13
Общая численность исполнителей ОКР – 1,89
Расчеты по определению трудоемкости и продолжительности отдельных этапов ОКР, количество исполнителей сводим в таб. 8.2.
Таблица 8.2.
На основании рассчитанных этапов и видов работ строится сетевой график выполнения ОКР, результаты расчетов которого приведены в приложении. Таблица 8.3.
Картотека событий по подготовке производства и изготовлению блока.
Таблица 8.4.
8.2 Составление и расчет сетевого графика На основании рассчитанных числа исполнителей и продолжительности этапов и видов работ строится сетевой график. Длительность критического пути складывается из продолжительности работ, лежащих на этом пути. Для построения сетевого графика разработки устройства составляется перечень основных работ (там же). Расчет параметров сетевого графика осуществлен на компьютере IBM PC с использованием соответствующей программы. Расчет сетевого графика приведен в приложении.
В результате вычислений были получены следующие показатели сетевого графика:
Ранний из возможных сроков наступления события Тр(i) – это срок, необходимый для выполнения всех работ, предшествующих данному событию, рассчитываемый по формуле. Тр(i) = t [ Lmax(I-i) ], (8.4) где t - время, Lmax(I-i) - максимальный путь от исходного события до данного, I - исходное событие, i - данное событие. Поздний из допустимых сроков Тп(i) - такой срок наступления события, превышение которого вызовет задержку завершающего. Расчет ведется по формуле.
Тп(i) = t [Lкр] - t [Lmax(i-C)], (8.5)
Где Lкр - длительность критического пути, Lmax(i-C) - максимальный путь от данного события до завершающего, С - завершающее событие. Резерв времени события определяется как разность между поздним и ранним сроками наступления события. R(i) = Тп(i) - Тр(i) (8.6)
Полный резерв времени работы - это максимальное количество времени, на которое можно увеличить продолжительность данной работы, не изменяя длительности критического пути. Определяется по формуле.
Rп(i,j) = Тп(j) - Тр(j) - Т(i,j), (8.7)
где Т(i,j) - длительность работы (i,j). Коэффициент напряженности работы - это отношение продолжительности не совпадающих, заключенных между одними и теми же событиями, отрезков пути, одним из которых является путь максимальной продолжительности, проходящий через данную работу, а другим - критический путь. Рассчитывается по формуле.
Кн(i,j) = [t(Lmax) - t'(Lкр)] / [t(Lкр) - t'(Lкр)], (8.8)
где t'(Lкр) - совпадающая с критическим величина отрезка пути; t(Lmax) - продолжительность максимального пути через данную работу; t(Lкр) - продолжительность критического пути.
8.3 Расчет затрат на проектирование и использование специализированного источника питания для АТС. 8.3.1 Определение плановой себестоимости проведения ОКР. При планировании себестоимости НИОКР должно быть обеспечено полное и достоверное отражение всех видов расходов связанных с их выполнением. В процессе калькулирования себестоимости ОКР используется следующая группировка затрат по статьям, представленная в таб. 8.5.
Калькуляция плановой себестоимости. Таблица 8.5. ------------------------------------------------------------- N Наименование статей затрат Сумма, руб ------------------------------------------------------------- 1 Материалы, покупные изделия 120 2 Спец. оборудование для научных работ - 3 Основная зарплата 6681,2 4 Дополнительная зарплата 801,7 5 Отчисления на соц. обеспечение 2881,0 6 Научные и производственные командир. 308,3 7 Оплата работ сторонних организаций - 8 Прочие прямые расходы 168,2 9 Накладные расходы 4008,7 ИТОГО 14969,1
Расчет основной заработной платы сводится в табл. 8.6. Таблица 8.6.
Заработная плата с учетом размера премий:
Плановая прибыль по каждой конкретной теме ОКР. П = Ц д – С п , руб., (8.9) где Ц д - договорная цена по теме, руб. С п - плановая себестоимость темы, руб.
Договорная цена должна обеспечивать получение прибыли достаточной для отчисления средств в госбюджет, а также для образования средств на цели социального и производственного развития.
где ФЗП - заработная плата сотрудников, участвующих в выполнении НИР, руб. Н р - нормативная рентабельность, 25% К у.п - коэф. учитывающий заработную плату обслуживающего и управленческих подразделений, 1,4.
8.4. Расчет затрат на изготовление опытного образца электронного устройства и предпроизводственных затрат. Затраты на изготовление опытного образца рассчитываются по формуле. С оп =[М(1+К тр )+З пл + З пл.осн Ч К косв ](1+К вн ), (8.11) где М - затраты на материалы, покупные комплектующие. К тр - коэф. учитывающий транспортно-заготовительные расходы, принимается 0,04. З пл - заработная плата научно-производственного персонала. З пл.осн – основная заработная плата основного производственного персонала, руб. З пл =З тар Ч 1,2 Ч 1,1 Ч 1,385 (8.12) где З тар - тарифная оплата научно-производственного персонала; 1,2 - коэф. учитывающий премию; 1,1 - коэф. учитывающий дополнительную зарплату; 1,385 - коэф. учитывающий отчисления на социальное обеспечение; К осв - коэф. учитывающий косвенные расходы, К косв =2,0 ё 2,5; К вн - коэф. учитывающий внепроизводственные расходы К вн =0,05. Опытный образец изготавливается за 10 рабочих дней техником и руководителем. Следовательно, тарифная оплата вычисляется:
З пл =Ч 295,4 Ч 1,2 Ч 1,1 Ч 1,385 = 540 руб.
Основная заработная плата
С оп =[500 Ч (1+0,04) + 540 + 354.48 Ч 2] Ч (1+0.05) = 1857,408 руб. Предпроизводственные затраты определяются по формуле З предпр = З окр + С оп + З с.об , (8.13) где З окр - затраты на калькуляцию темы, С оп - затраты на изготовление опытного образца, З с.об - затраты на подготовку образца серийного производства. З с.об =1,3Ч (З окр + С оп ) , (8.14) З с.об. =(14969,1 + 1857,408) Ч 1.3 = 2609,2274 руб. З пред. =14969,1 + 1857,4 + 2609,2274 = 19435,7274 руб.
8.5. Расчет затрат на изготовление проектируемого электронного устройства, лимитной цены. Для определения затрат на изготовление проектируемого электронного устройства составляется калькуляция по соответствующим статьям, перечисленным в таб. 8.7. Калькуляция себестоимости проектируемого ИП.Таблица 8.7.
Затраты на материалы, покупные комплектующие изделия и полуфабрикаты рассчитываются по прогрессивным нормам расхода и соответствующим прейскурантам или договорным оптовым ценам. В стоимость материальных затрат включаются транспортно-заготовительные расходы в размере 3 – 5 % от цены.
Таблица 8.8.
Для расчета тарифной зарплаты необходимы следующие данные:
Таблица 8.9. ---------------------------------------------------------------- N Наименование работ Тарифный Часовая Трудо- Тарифная разряд тариф. емкость зарплата ставка работ руб. руб. нормо-час. 1 Сборка 3 3,0 3 9,0 2 Монтаж 5 3,75 4 15,0 6 Испытание 4 3,0 1 3,0 7 отладка 4 3,3 2 6,6 ИТОГО 33,6
8.6. Расчет лимитной цены. Лимитная цена Ц л выражает предельно допустимый уровень цены электронного устройства с учетом улучшения его потребительских свойств, при котором обеспечивается относительное удешевление его для потребителя.
где С п - себестоимость проектируемого ЭУ, П н - нормативная прибыль. Н рент – норматив рентабельности, 25%. К пу - коэф. повышения уровня рентабельности, К пу =1,1. Цл= 763,66 (1 + 25/100) Ч 1,1 = 1050 руб. Лимитная цена с учетом налога на добавленную стоимость Ц ЭУ =Ц л + НДС = 1260 руб, (8.16) где НДС - налог на добавленную стоимость (20%).
8.7. Оценка уровня качества проектируемого электронного устройства. Оценка уровня качества разрабатываемого изделия производиться на основе сравнения групп технико-эксплуатационных параметров: назначения, надежности, технологичности, унификации, эргономических, патентно-правовых и экологических. Обязательным является группа показателей, характеризующие функциональное назначение изделия, массогабаритные показатели, показатели технологичности и унификации для каждого вида электронного устройства. Трудоемкость изготовления изделия
где T i – трудоемкость изготовления i-й составной части изделия, нормо-час., T = 3 + 4 +1 + 2 = 10 нормо-час. Технологическая себестоимость С т =Р м +L+Р п +Р эо , руб. (8.18) где Р м - расходы на сырье, материалы, руб.; L - зарплата производственных рабочих с начислениями; Р п - расходы на покупные изделия; Р эо - расходы на содержание и эксплуатацию оборудования. С т = 520 + 69,57 + 52,42 = 641,99 руб. Коэффициент автоматизации и механизации технологического процесса.
где N ам - количество монтажных соединений, которые могут осуществляться автоматическим или механическим способом; N м -общее количество монтажных соединений.
Коэффициент использования микросхем.
где N мс - количество микросхем; N эрэ - общее количество электрорадиоэлементов.
8.8. Расчет эксплуатационных затрат потребителя. В сфере эксплуатации нового изделия в состав капитальных вложений потребителя включаются все единовременные затраты, которые должен нести потребитель в связи с переходом к эксплуатации нового изделия. К потр. =К пр +К соп , (8.21) где К пр - прямые капитальные вложения потребителя, руб.; К соп - сопутствующие капитальные вложения, руб. Сопутствующие капитальные вложения включают единовременные затраты на демонтаж ранее установленного оборудования ( К д ), затраты на доставку нового изделия к месту эксплуатации ( К тр ), затраты на установку, монтаж и наладку ( К мн ), затраты на другие элементы основных фондов ( К пр ), затраты на предотвращение отрицательных экологических и других последствий ( К эк ). К соп =К д +К тр +К мн +К пр +К эк , (8.22) Основным методом определения сопутствующих капитальных вложений является метод прямого счета, на основе соответствующей сметной и технической документации. Единовременные затраты К д , К тр , К мн , К пр составляют соответственно 5%, 10%, 15%, 10% от цены электронного устройства. Демонтаж данного электронного устройства не производится и отрицательного воздействия на окружающую среду оно не оказывает.
8.9. Расчет годовых текущих издержек. Годовые текущие издержки определяются по формуле И экс = ЗП обсл + А к.соп + З к.р. + З в.м. + З эл + З тек.р. (8.23) где ЗП обс – заработная плата обслуживающего персонала с начислениями; А к.соп - амортизационные отчисления на сопутствующие капитальным вложениям, (0,2…0,3) К соп ,руб.; З к.р. - затраты на капитальный ремонт, (0,7…0,9) Ц л , руб.; З в.н. - затраты на вспомогательные материалы, руб.; З эл - затраты на потребляемую электроэнергию, руб.; З тек.р. - затраты на текущий ремонт, руб. Зарплата обслуживающего персонала с начислениями ЗП обсл = Ч обс Ч Т обсл Ч С тар Ч К зп , руб., (8.24) где Ч обс - численность обслуживающего персонала - 1, К зп - коэф. учитывающий размер премии, дополнительную зарплату, начисления на зарплату, К зп =1,8…1,85; С тар - средняя часовая тарифная ставка ремонтного рабочего, 3 руб.; Т обс - время затрачиваемое на обслуживание устройства, Т обс =F д Ч К зан , час, (8.25)
где
F
д
- действительный фонд времени работы при односменном режиме работы
К зан - коэф. учитывающий занятость рабочего времени в течение рабочего дня на обслуживание одного устройства – 2/3. Т об с = 1360,8 Ч 2/3 = 907,2 час. ЗП обс = 1 Ч 907,2 Ч 3 Ч 1,8 = 4899 руб. Затраты на текущие ремонты
где
Затраты на потребляемую энергию З эл =W у Ч F д Ч S эл . (8.27) где W у - потребляемая мощность одного устройства, 0,38 кВт. S эл - тариф за электроэнергию, 0,35 руб/кВт. F д – действительный фонд времени работы, час. З эл = 0,38 Ч 1360,8 Ч 0,35 = 181 руб. Тогда текущие издержки составят И экс = 4899 + 0,2 Ч 367,5 + 0,07 Ч 1050 + 181 + 0,4 Ч 520 + 42 = 5289,8 руб.
Текущие издержки потребителя электронного устройства. Таблица 8.10.
8.10. Определение экономической эффективности проектируемого изделия. На основании изложенных в методических указаниях методов выбираем метод 2 с критерием максимума экономического эффекта. Рассчитаем экономический эффект
где Р г – стоимостная оценка результатов применения ЭУ за год, руб; З г – низменные по годам расчетного периода затраты на разработку, производство и использование ЭУ, руб; К рн – коэффициент реновации ЭУ, исчисленный с учетом фактора времени в зависимости от срока службы, при сроке в 5 лет (0,1638); Е н – норматив эффективности капитальных вложений (0,1 … 0,15). Стоимостная оценка результатов применения ЭУ за год определяется по формуле:
где
Цена единицы работ, производимых с помощью электронного устройства за год, рассчитывается:
где
Стоимостная оценка затрат на разработку, производство и использование ЭУ за год определяется:
где
К – единовременные затраты при производстве и использовании ЭУ, руб.
Единовременные затраты при производстве и использовании ЭУ рассчитываются:
где
Подставляя значения в формулы, получим:
Определим удельную эффективность электронного устройства:
где
где
период, руб.
Удельная экономическая эффективность будет равна:
Все полученные результаты сведем в табл.8.11. В заключении составим таблицу технико-экономических показателей электронного устройства. Технико-экономические показатели Таблица 8.11.
Заключение Источник питания, разработанный в представленном дипломном проекте, полностью удовлетворяет требованиям технического задания. В ходе проверок и испытаний прибор показал свою надежность, устойчивость в работе, а также простоту в управлении, что особенно важно при эксплуатации. Все органы управления источника питания обеспечивают в полной степени регулировки, заложенные в задании. Основным достоинством разрабатываемого источника питания является малый уровень шумов по первой составляющей на выходе – менее 100 мкВ, что делает его пригодным для питания сложной цифровой аппаратуры систем связи, особенно критичной к помехам по цепям питания, т.к. развязка по питанию для цифровых микросхем не превышает 10 дБ. Одним из достоинств конструктивного исполнения прибора, можно назвать его блочное исполнение, это обеспечивает более быстрое выявление неисправностей в случае отказа, а следовательно, и ремонт или замену неисправного блока. В дальнейшем совершенствование источника питания будет вестись в направлении улучшения уровня элементной базы, перспективных материалов и технологий.
Литература список 1. Справочник конструктора РЭА: Общие принципы конструирования /Под ред. Р.Г. Варлаамова, М.: Высшая школа., 1991, - 176 с. 2. Разработка и оформление конструкторской документации РЭА: под ред. Э.Т. Романычевой. – М.: Радио и связь, 1989, - 448 с. 3. Ненашев А.П. Конструирование РЭС. –М.: Высш. школа 1990, - 432 с. 4. Кофанов Ю.Н. Теоретические основы конструирования технологии и надежности РЭА. – М.: Радио и связь, 1991, - 360 с. 5. Сборник задач и упражнений по технологии РЭА: Учеб. пособие / Под ред. Е.М. Парфенова. – М.: Высш. школа, 1982. – 255 с. 6. Проектирование конструкций радиоэлектронной аппаратуры: Учеб. пособие для вузов / Е.М. Парфенов, Э.Н. Камышная, В.П. Усачев. – М.: Радио и связь, 1989. – 272 с. 7. Роткоп Л.Л., Спокойный Ю.В. Обеспечение тепловых режимов при конструировании РЭА. – М.: Сов. радио , 1976. – 232 с. 8. Жигалов А.Т. и др. Конструирование технология печатных плат. – М.: Высшая школа, 1973. 9. Ромаш Э.М. Источники вторичного электропитания радиоэлектронной аппаратуры. – М.: Радио исвязь, 1981. 224 с. 10. Строительные нормы и правила СниП 2 – 4 – 79 – М.: Стройиздат, 1980 г. 11. ГОСТ 12.1.005 – 88. ССБТ. Общие санитарно-гигиенические требования к воздуху рабочей зоны. – М.: Издательство стандартов, 1989, - 48 с. 12. ГОСТ 12.1.007 – 76. ССБТ. Вредные вещества. – М.: Издательство стандартов, 1980, - 24 с. 13. ГОСТ 12.1.042 – 82. ССБТ. Заземление. – М: Издательство стандартов, 1982, - 32 с. 14. Долин П.А. Основы техники безопасности в электроустановках: Учеб. пособие для студ. энерг. спец. вузов. – 2-е изд., перераб. и доп. – М.: Энергоатомиздат 1984. –448 с. 15. Богословский В.Н. и др. Отопление и вентиляция. В 2-х частях: М., 1976. 16. Кнорринг Г.М. и др. справочная книга для проектирования электрического освещения. Л., 1976. 17. Волков О.М. Пожарная безопасность вычислительных центров. 3-е изд. – М.: Стройиздат, 1990. – 112 с. 18. Великанов К.М. и др. Экономика и организация производства в дипломных проектах. – Л.: Машиностроение, 1986. – 285 с. 19. Моиеева Н.К. и др. Сборник задач и деловых игр по организации и управлению предприятиями электронной промышленности. –М.: Высш. шк., 1991. – 176 с. Поделитесь этой записью или добавьте в закладки |
Полезные публикации | |||||||||||||||||||||||||||||||||||||||||||||||||||||||||||||||||||||||||||||||||||||||||||||||||||||||||||||||||||||||||||||||||||||||||||||||||||||||||||||||||||||||||||||||||||||||||||||||||||||||||||||||||||||||||||||||||||||||||||||||||||||||||||||||||||||||||||||||||||||||||||||||||||||||||||||||||||||||||||||||||||||||||||||||||||||||||||||||||||||||||||||||||||||||||||||||||||||||||||||||||||||||||||||||||||||||||||||||||||||||||||||||||||||||||||||||||||||||||||||||||||||||||||||||||||||||||||||||||||||||||||||||||||||||||||||||||||||||||||||||||||||||||||||||||||||||||||||||||||||||||||||||||||||||||||||||||||||||||||||||||||||||||||||||||||||||||||||||||||||
, (3.3)
.
, (3.15)
, (3.16)
,
,
,
,
,
.
(3.18)
(3.19)
(3.25)
ч. (4.3)
Главная