Конструирование и применение датчиков
ОБЩИЕ СВЕДЕНИЯ Датчик (первичный преобразователь информации) – это устройство, преобразующее контролируемую и регулируемую величину в такой вид сигнала, который более удобен для воздействия на последующие элементы автоматики. В более общей формулировке прибор осуществляет операцию отображения множества сигналов на входе x О X в множество сигналов на выходе y О Y, при этом указанное отображение должно быть однозначным. В общем виде датчик можно представить в виде чувствительного элемента и преобразователя. Чувствительный элемент в автоматике выполняет функции “органов чувств”. Он нужен для преобразования контролируемой величины в такой вид сигнала, который будет удобным для измерения. В преобразователе происходит преобразование не электрического сигнала в электрический, например, давление в электроконтактном манометре сначала преобразуется с помощью чувствительного элемента в механике перемещение стрелки, а затем в преобразователе преобразуется в изменение сопротивления. На входе датчика могут регистрироваться как электрические сигналы, так и не электрические сигналы. С выхода обычно получают электрические сигналы. Это вызвано тем, что электрические сигналы проще усилить и передавать на различные расстояния.
КЛАССИФИКАЦИЯ ЭЛЕКТРИЧЕСКИХ ДАТЧИКОВ И ТРЕБОВАНИЯ К НИМ.
В настоящее время наибольшее распространение в автоматике получили электрические датчики, которые можно разделить на две группы:
Параметрические датчики. Служат для преобразования не электрического регулируемого или контролируемого сигнала в параметры электрических цепей (сопротивление, индуктивность, емкость). Эти датчики делятся на датчики активного сопротивления (контактные, реостатные, потенциометрические, тензодатчики, терморезисторы) и датчики реактивного сопротивления.
Генераторные датчики. Служат для преобразования не электрических регулируемых или контролируемых сигналов в параметры ЭДС. Эти датчики не требуют посторонних источников энергии, так как сами являются источниками ЭДС.
К параметрическим и генераторным датчикам предъявляются следующие требования:
Контактные датчики.
При замыкании контактов сопротивление между ними изменяется от бесконечности до небольших значений, а при размыкании контактов оно изменяется в обратном направлении, то есть от небольшого значения до бесконечности.
Тахометрические датчики.
К ним относят тахогенератор, который представляет собой маломощную электрическую машину преобразующую механическое вращение в электрический сигнал. Тахогенераторы нужны для получения напряжений пропорциональных частоте вращения и применяются в качестве электрических датчиков угловой скорости. В зависимости от вида выходного напряжения и конструкции они делятся на тахогенераторы постоянного и переменного тока. Тахогенераторы постоянного тока конструктивно представляют собой электрические генераторы постоянного тока и выполняются с возбуждением от постоянных магнитов. Тахогенераторы переменного тока можно разделить на два вида:
Основными преимуществами тахогенераторов переменного тока, по сравнению с тахогенераторами постоянного тока, являются:
Описание работы датчика.
На вход датчика поступает первичный сигнал х(t), который является параметром первичной информации (этим сигналом могут быть давление, температура, количество и расход жидкостей, линейные н угловые размеры, расстояния, скорости, ускорения, деформации, напряжения, вибрации, внутренние трещины, несплошности в материалах и др.). На выходе датчика мы получаем сигнал, на основе которого мы можем сравнить или измерить исходную величину. Как и все приборы датчики тоже подвергаются вредным воздействиям. Не желательными для датчика являются такие воздействия как перегрузки, вибрации, электрические и магнитные поля, неконтролируемые вариации температуры, давления, влажности окружающей среды и т. д. Если датчик подвергается подобным воздействия, то в его показаниях появляется погрешность.
Рис 1. Функциональная схема прибора.
где x ,q, h , J , n - векторы. На рис 1 приведена функциональная схема, отображающая зависимость (2).
Прибор должен воспроизводить измеряемые величины с допускаемыми погрешностями. При этом слово "воспроизведение", эквивалентное в данной трактовке слову "отображение", понимается в самом широком смысле: получение на выходе прибора величин, пропорциональных входным величинам; формирование заданных функций от входных величин (квадратичная и логарифмическая шкалы и др.); получение производных и интегралов от входных величин; формирование на выходе слуховых или зрительных образов, отображающих свойства входной информации; формирование управляющих сигналов, используемых для управления контроля; запоминание и регистрация выходных сигналов. Измерительный сигнал, получаемый от контролируемого объекта, передается в измерительный прибор в виде импульса какого- либо вида энергии. Можно говорить о сигналах: первичных - непосредственно характеризующих контролируемый процесс; воспринимаемых чувствительным элементом прибора; подаваемых в мерительную схему, и т.д. При передаче информации от контролируемого объекта к указателю прибора сигналы претерпевают ряд изменений по уровню и спектру и преобразуются из одного вида энергии в другой. Необходимость такого преобразования вызывается тем, что первичные сигналы не всегда удобны для передачи, переработки, дальнейшего преобразования и воспроизведения. Например, при измерении температуры прибором, чувствительный элемент которого помещается в контролируемую среду, воспринимаемый поток тепла трудно передать, а тем более воспроизвести на указателе прибора. Этой особенностью обладают почти все сигналы первичной информации. Поэтому воспринимаемые чувствительными элементами сигналы почти всегда преобразуются в электрические сигналы, являющиеся универсальными. Та часть прибора, в которой первичный сигнал преобразуется, например, в электрический, называется первичным преобразователем. Часто этот преобразователь совмещается с чувствительным элементом. Сигналы с выхода первичного преобразователя поступают на следующие преобразователи измерительного прибора.
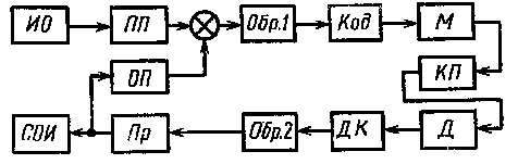
Рис. 2 Функциональная схема прибора На рис. 2 дана функциональная схема прибора, на которой указаны: исследуемый объект ИО; первичный преобразователь П1; устройство сравнения УС; устройство обработки сигналов Об. 1, в котором производится селекция, усиление, коррекция погрешностей, фильтрация и др.; кодирующее устройство Код; модулятор М; канал передачи КП; устройство детектирования Д; устройство декодирования ДК; устройство обработки информации Oбр. 2, обеспечивающее функциональное преобразование, коррекции погрешностей, формирование функции преобразования (1) и др.; преобразователь Пр, выдающий информацию на систему отображения СОИ и на обратный преобразователь 0П, с которого поступают сигналы на устройство сравнения. Эта схема является обобщенной и включает ряд элементов, которые в более простых приборах могут отсутствовать.
ЁМКОСТНЫЕ ПРЕОБРАЗОВАТЕЛИ Устройства, содержащие не менее двух поверхностей, между которыми действует электрическое поле, называются электростатическими (ЭС) преобразователями. Электрическое поле создается извне приложенным напряжением или возникает при действии на вход преобразователя измерительного сигнала. Преобразователи, в которых электрическое поле создается приложенным напряжением, составляют группу емкостных преобразователей. Основным элементом в этих преобразователях является конденсатор переменной емкости, изменяемой входным измерительным сигналом.
Рис. 3 Электростатический преобразователь В дальнейшем под емкостным будем понимать преобразователь, в котором используется конденсатор с двумя или несколькими электродами (рис. 3). Для случая конденсатора с плоскими электродами площадью s, размещенными друг от друга на расстоянии d в среде с диэлектрической проницаемостью e , ёмкость будет C = e s/ d (3)
Рассматриваемый преобразователь на электрической стороне характеризуется приложенным напряжением и, зарядом q=CU, током I=dq/dt и энергией WЭЛ=CU2/2. На неэлектрической стороне преобразователь характеризуется изменением параметров, входящих в выражение для емкости, т. е.
Емкостный преобразователь обратим: при приложении на электрической стороне напряжения U, на неэлектрической стороне возникает сила fЭЛ, которая используется в приборах уравновешивающего преобразования как результат действия обратного преобразования, в ЭС вольтметрах и в приборах с бесконтактным подвесом. В этом последнем случае элемент массы m может быть подвешен в электростатическом поле, если удовлетворяется условие fЭЛ і gm, где g - ускорение силы тяжести. К емкостным преобразователям близки по своим характеристикам полупроводниковые диоды, в которых используется зависимость так называемой барьерной емкости от обратного напряжения. Такие преобразователи применяются в качестве элементов с электрически управляемой емкостью и называются варикапами. Другая группа ЭС преобразователей основана на использовании сегнетоэлектриков, т. е. кристаллических диэлектриков, которые при определенных температурных условиях (при температуре ниже точки Кюри) обладают самопроизвольной поляризацией при отсутствии внешних электрических полей. Состояние кристаллических диэлектриков характеризуется электрической индукцией D (или зарядом q), деформацией c и энтропией Э. Эти величины зависят от напряженности электрического поля Е (или напряжения U), механического напряжения s (или силы F) и температуры Т. На рис. 4 схематически показаны связи между указанными величинами.
Рис. 4 Схема связей между параметрами диэлектрика Жирными стрелками показаны связи Е ® D, s®c , T ® Э, а тонкими стрелками изображены физические эффекты, свойственные сегнетоэлектрикам: прямой пьезоэлектрический эффект s® D (или q), проявляющийся в изменении поляризации кристалла действием механических напряжений; обратный пьезоэлектрический эффект Е (или U) ®c , характеризующийся деформацией кристалла под днем электрического поля; пироэлектрический эффект T ® D (или q), сводящийся к изменению заряда на поверхности кристалла при изменении температуры; пьезокалорический эффект s® Э, проявляющийся в изменении энтропии при изменении механических напряжений. Помимо указанных эффектов при изменении Е, s , Т в кристаллах возникают побочные явления, например, изменяются диэлектрическая проницаемость, проводимость, оптические свойства и т.д. Из указанных эффектов рассмотрим прямой и обратный пьезоэффекты, а также эффект изменения емкостной проводимости при изменении напряжения U. Преобразователи, в которых используются прямой или обратный пьезоэффекты, называются пьезоэлектрическими преобразователями. Использование эффекта изменения емкостной проводимости в кристаллических полупроводниках обусловлено нелинейной зависимостью заряда q от приложенного напряжения U. Если зависимость q(U) линейна, то в выражении D q=( ¶ q/ ¶ U) величина C= ¶ q/ ¶ U постоянна и представляет собой емкость. В случае нелинейной зависимости q(U) величина C= ¶ q/ ¶ U также является емкостью, но не постоянной, а зависящей от напряжения U, т. е. C(U). Преобразователи, основанные на использовании нелинейной зависимости емкости от напряжения в сегнетоэлектриках, называются варикондами. Емкостные датчики можно разделить на две основные группы - датчики параметрические (недифференциальные) и датчики дифференциальные. В схемах с параметрическими датчиками происходит преобразование входной неэлектрической величины (угла поворота оси ротора датчика) в электрическую выходную величину (частоту, ток, напряжение), функционально зависящую от входной величины. В схемах с дифференциальными датчиками, включенными в следящие системы, с датчика снимается лишь сигнал рассогласования, который становится равным нулю в установившемся состоянии следящей системы. Примером параметрического емкостного датчика может служить переменная емкость, включенная в контур лампового генератора (рис. 5) . Здесь при изменении угла поворота оси ротора изменяется емкость датчика и меняется частота генератора, являющаяся выходной величиной.
Рис. 5 Емкостной датчик, включенный в контур с генератором
Рис 6. Емкостной датчик, включенный в цепь переменного тока На рис. 6 приведен другой пример использования параметрического датчика. В этом случае с изменением значения емкости С меняется ток через нее, а следовательно, и напряжение на выходе системы, падающее на сопротивлении нагрузки Rн, которое и является выходной величиной.
Подобные системы являются разомкнутыми системами регулирования. Основным недостатком этих схем является зависимость значения выходной величины от параметров источника питания датчика, усилителя и других элементов схемы, а также от внешних условий. В самом Деле, стоит измениться напряжению или частоте генератора, питающего датчик (рис. 6), как напряжение, частота и фаза, являющиеся выходными величинами и снимаемые с сопротивления R
От этих недостатков свободны схемы с дифференциальными емкостными датчиками, включенными в замкнутую систему автоматического регулирования. В этих схемах выходной величиной является угол поворота оси отрабатывающего двигателя или другой оси, связанной с нею через редуктор. Одной из основных характеристик такой системы является чувствительность, показывающая, при каком минимальном отклонении чувствительного элемента система отработки приходит в действие. Внешние факторы - напряжение питания, температура окружающей среды и т. п. - влияют лишь на чувствительность системы; на точность системы они могут влиять лишь в той мерь, в какой она связана с чувствительностью. Это значит, что схемы с емкостными дифференциальными датчиками, так же как и любые мостовые нулевые схемы с линейными относительно частоты и напряжения сопротивлениями в плечах, предъявляют значительно меньшие требования к стабильности источника питания.
Рис. 7 Мостовая схема с емкостным дифференциальным датчиком
В простейшем случае дифференциальный емкостный датчик представляет собой две последовательно включенные емкости, построенные конструктивно таким образом, что при увеличении одной из них другая уменьшается. Эти две емкости могут быть включены в мостовую схему (рис. 7), где два других плеча - реостатные. Если при этом напряжение, снимаемое с диагонали моста, использовать в качестве сигнала для следящей системы, перемещающей щетку потенциометра R в сторону уменьшения рассогласования, то всегда в установившемся состоянии следящей системы это напряжение
Отсюда следует, что в схемах с дифференциальными емкостными датчиками с воздушным диэлектриком показания отрабатывающего органа (например, положение стрелки Указателя) не зависят ни от состава газа, ни от наличия в нем влаги (не выпадающей в виде капель), так как для обеих емкостей, составляющих дифференциальный датчик, меняется одинаково.
В емкостных преобразователях емкость С может меняться или за счет изменения параметров конденсатора
При работе преобразователя последовательно с его емкостью С включается сопротивление R (см. рис. 3), специально предусмотренное или представляющее собой сопротивление подводящих проводов. В зависимости от соотношения сопротивлений R и 1/j
W
C преобразователь будет работать в разных режимах. Если R >> 1/
W
C или R
W
C >> 1, то U
При питании емкостных преобразователей переменным напряжением U=Umsin w t между несущей частотой w и наибольшей частотой W измеряемого сигнала должно сохраняться определенное соотношение. Если изменение емкости преобразователя, обусловленное измерительным сигналом, меняется по закону C= C0+ D Csin W t, то I=d(CU)/dt +UdC/dt или
I=
w
C
В этом выражении первый член в скобках характеризует несущее колебание, второй член пропорционален полезному измерительному сигналу, а третий член является помехой. Для сведения помехи к допускаемому значению необходимо удовлетворить условию
Поскольку емкости преобразователей малы и редко превышают 50-100 пФ, то необходимо учитывать сопротивление утечки изоляции Rуг, паразитную емкость Сп между электродами и заземленными элементами, а также сопротивление Д и индуктивность L проводящих кабелей. На Рис.8 дана эквивалентная схема емкостного преобразователя. Необходимость учета всех указанных факторов возникает на достаточно высоких частотах (обычно свыше 10 МГц). Применяемые в емкостных преобразователях диэлектрики неидеальны, и им свойственны потери. При идеальных диэлектриках сдвиг фаз между током и напряжением равен
П
/2, а если имеются потери, то этот сдвиг уменьшается на угол
d
, называемый углом потерь. Обычно вместо угла рассматривается tg
d
, который для эквивалентной схемы на Рис.8,б равен tg
d
= 1/wC
Величина, обратная tg d , называется добротностью Q емкостного преобразователя
Q=
Рис.8 Эквивалентные схемы преобразователя Угол потерь (tg d ) для разных диэлектриков различен. Вместе с тем эта величина зависит от температуры, частоты, напряжения на конденсаторе и влажности. Очевидно, что на принципе измерения угла потерь можно строить различные приборы, например, влагомеры. Если менять частоту питающего напряжения на конденсаторе преобразователя, то можно создать прибор для определения дисперсии диэлектрических жидкостей, газов и твердых тел. В качестве измерительных цепей в емкостных преобразователях применяются делители напряжения, мостовые схемы, колебательные контуры и автогенераторы. Поскольку сигналы, снимаемые с емкостных преобразователей, малы, то измерительные цепи содержат усилители, а соединительные пропала должны быть экранированы.
Рис. 9 Резонансные измерительные системы
На Рис. 9 приведены измерительные цепи в виде параллельного (а) и последовательного (б) колебательных контуров, питаемых стабильным по амплитуде и частоте
Емкостным преобразователь может быть элементом в схеме триггера. На Рис. 10 приведена схема мультивибратора, на выходе которого генерируется непрерывная последовательность импульсов.
Рис. 10 Схема триггера При проектировании емкостных преобразователей следует обращать внимание на экранирование проводов, выбор изоляции электролиз, устранение поверстного сопротивления изоляции и выбор частоты питания. Чем выше эта частота, тем меньше выходное сопротивление, поэтому нередко частоту питания выбирают большой (до нескольких МГц).
ОБЛАСТЬ ПРИМЕНЕНИЯ Емкостные преобразователи могут быть различного конструктивного исполнения. Их конструкции выбираются в основном, от того в какой области они применяются (Рис. 11). Например, цилиндрические конденсаторы находят применение при измерении жидкостей или песчаных масс, там же могут быть применены и плоские конденсаторы. Электроемкость этих конденсаторов зависит от диэлектрических проницаемостей жидкости Е 1 , изоляции Е 2 и воздуха Е 3 .
Рис. 11 Схемы устройства емкостных преобразователей
Для точного измерения быстро изменяющихся физических величин или малых перемещений (до единиц микрометров) применяются дифференциальные емкостные преобразователи с переменным зазором (Рис. 11,в). В этих конденсаторах на упругом элементе, между неподвижными электродами 1 и 2, устанавливается средний электрод. Эта схема может быть использована в приборах уравновешивания. Для этого усиленный сигнал с конденсатора после фазочувствительного детектирования может быть подан на обкладки 1 и 2, вследствие чего на средний электрод будет действовать электростатическая сила, уравновешивающая измеряемую силу. На Рис. 11, г и д показаны схемы устройства емкостных преобразователей с переменной площадью. В схеме на Рис. 11, г диэлектрик 1 перемещается по стрелке, а в схеме на Рис. 11, д один из электродов 2 жестко связан с валом и совершает угловые перемещения относительно неподвижного электрода 1.
Чтобы измерить толщину х ленты 3 из диэлектрика с
Датчики могут быть применены в самых различных областях нашей жизни, можно выделить лишь отдельные сферы: электроника, промышленная техника, автомобилестроение, медицинская техника, бытовая техника. В каждой сфере применяют самые разные датчики. Выбор датчика производится по определенным критериям. Например в промышленности очень важную роль играет погрешность измерений. Эти датчики отличаются более высокой технологией изготовления, что влечет за собой высокую их стоимость. Еще более дорогими являются датчики, которые применяются в различных областях электроники, где очень сложные технологии. Емкостные датчики получили свое широкое распространение сравнительно недавно из-за того, что раньше полагали, что эти датчики не могли обеспечить достаточной точности и стабильности работы приборов. Предполагалось, что для получения устойчивого сигнала на выходе емкостного датчика нужно питать его напряжением высокой частоты. Однако высокие частоты вызывали большие потери в различных переходных процессах. Для “улучшения” выходной величины применяли в первом каскаде усилителя электрометрические лампы, однако это не привело к желанмому успеху. Исследования выявили, что нестабильности работы систем с емкостными датчиками связана с неправильным расположением изоляционных материалов в конструкции емкостных датчиков. Емкостные датчики обладают целым рядом преимуществ по сравнению с другими датчиками. К их достоинствам относятся: малое потребление энергии; малые усилия подвижной части; простота изготовления; дешевые; мало соединительных частей; высокая точность; стабильность работы; широкий диапазон регулирования.
Недостатками этих датчиков являются:
Поделитесь этой записью или добавьте в закладки |
Полезные публикации |
(4)
Главная