ЦИФРОВЫЕ РЕНТГЕНОГРАФИЧЕСКИЕ СИСТЕМЫ .
Преобразование традиционной рентгенограммы в цифровой массив с последующей возможностью обработки рентгенограмм методами вычислительной техники стало распространенным процессом. Такие аналоговые системы зачастую имеют очень жесткие ограничения на экспозицию из-за малого динамического диапазона рентгеновской пленки. В отличие от аналоговых прямые цифровые рентгенографические системы позволяют получать диагностические изображения без промежуточных носителей, при любом необходимом уровне дозы, причем это изображение можно обрабатывать и отображать самыми различными способами. На рис.1 приведена схема типичной цифровой рентгенографической системы. Рентгеновская трубка и приемник изображения сопряжены с компьютером и управляются им, а получаемое изображение запоминается, обрабатывается (в цифровой форме) и отображается на телеэкране, составляющем часть пульта управления (или устройства вывода данных) оператора-рентгенолога. Аналогичные пульты управления можно применять и в других системах получения изображения, например на основе ядерного магнитного резонанса или компьютерной томографии. Цифровое изображение можно записать на магнитном носителе, оптическом диске или же на специальном записывающем устройстве, способном постоянно вести регистрацию изображения на пленку в аналоговой форме. В цифровой рентгенологии могут найти применение два класса приемников изображения: приемники с непосредственным формированием изображения и приемники с частичной регистрацией изображения, в которых полное изображение формируется путем сканирования либо рентгеновским пучком, либо приемным устройством (сканирующая проекционная рентгенография).
Рис.1 Составные элементы цифровой системы получения рентгеновских изображений
В цифровой рентгенографии применяют усилитель изображения, ионографическую камеру и устройство с вынужденной люминисценцией. Эти приемники могут непосредственно формировать цифровые изображения без промежуточной регистрации и хранения. Усилители изображения не обладают наилучшим пространственным разрешением или контрастом, однако имеют высокое быстродействие. Аналого-цифровое преобразование флюорограммы с числом точек в изображении 512х512 может занимать время менее 0,03 с. Даже при числе точек 2048х2048 в изображении время преобразования изображения в цифровую форму составляет всего несколько секунд. Время считывания изображения с пластины с вынужденной люминисценции или ионографической камеры значительно больше, хотя последнее выгодно отличается лучшим разрешением и динамическим диапазоном. Записанное на фотопленке изображение можно преобразовать в цифровую форму с помощью сканирующего микроденситометра, но любая информация, зафиксированная на фотопленке со слишком малой или, наоборот, слишком высокой оптической плотностью, будет искажена из-за влияния характеристик пленки. В цифровую форму можно преобразовать и ксеро- рентгенограмму также с помощью сканирующего денситометра, работающего в отраженном свете, или путем непосредственного считывания зарядового изображения с селеновой пластины. В России прямая цифровая рентгенографическая система Института ядерной физики (ИЯФ) СО РАН применяется в нескольких клинических больницах. В этой системе рентгеновская пленка как регистратор рентгеновского излучения заменена многопроволочной пропорциональной камерой. Такая камера вместе с электронными схемами усиления и формирования импульсов представляет собой линейку на 256 практически независимых каналов, имеющих чувствительную поверхность 1х1 мм. (В последних моделях 350 каналов и 0,5х0,5 мм.) Использование в счетчиках в качестве рабочего газа ксенона при давлении 3 кгс/см2 обеспечивает высокую эффективность регистрации излучения. Эта система может быть отнесена к классу ионографических приборов для цифровой рентгенографии, передающих изображение на внешние устройства отображения. В других цифровых рентгенографических системах используют твердотельные приемники с высоким коэффициентом поглощения рентгеновского излучения. В обоих разновидностях упомянутых рентгенографических систем применяется метод сканирования с построчной регистрацией изображения, которое воспроизводится в целое на дисплее компьютера (сканирующая проекционная рентгенография). Ко второму классу цифровых рентгенографических систем следует отнести люминофоры с памятью и вынужденной люминисценцией, которая затем регистрируется. Это приемник с непосредственным формированием изображения. Системы получения изображения со сканированием рентгеновским пучком и приемником имеют важное преимущество, состоящее в том, что в них хорошо подавляется рассеяние. В этих системах один коллиматор располагается перед пациентом с целью ограничения первичного рентгеновского пучка до размеров, необходимых для работы приемника, а другой - за пациентом, чтобы уменьшить рассеяние. На рис.2 изображена линейная сканирующая система для получения цифрового изображения грудной клетки. Приемником в системе является полоска из оксисульфида гадолиния, считывание информации с которой ведется линейной матрицей из 1024 фотодиодов. Проекционные рентгенограммы синтезируются также сканерами компьютерной томографии и выполняют вспомогательную роль при выделении соответствующего сечения. Главным недостатком сканирующих систем является то, что большая часть полезной выходной мощности рентгеновской трубки теряется и что необходимы большие времена экспозиции (до 10 с). Матрицы изображения из 512х512 элементов может быть вполне достаточно для целей цифровой флюороскопии, тогда как система рентгеноскопии грудной клетки может потребовать матрицы с числом элементов 1024х1024 при размерах элемента изображения 0,4 мм.
Рис.2 Система линейного сканирования для цифровой рентгенографии грудной клетки.
Рис.3 Принципиальная схема взаимодействия элементов системы получения, обработки, хранения и передачи рентгеновских диагностических изображений.
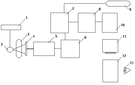
Число градаций в изображении зависит от медицинского назначения. Аналого-цифрового преобразования на 8 бит, обеспечивающего точность 0,4%, вполне достаточно для регистрации зашумленных изображений или больших массивов (меньшей ступени градации яркости соответствует больший уровень шума), однако для ряда приложений может понадобиться и 10-битовый АЦП (точность 0,1%). Если требуется быстрый доступ к информации, полученной за длительный период времени, целесообразно применять оптические диски. Емкость памяти 12-дюймового оптического диска равна примерно 2 гигабайт, что соответствует 1900 изображениям размером 1024х1024 по 8 бит каждое (без сжатия данных). Для считывания с оптического диска может быть использовано автоматическое устройство съема, позволяющее обеспечить быстрый доступ к любому изображению. Возможность работы со всеми изображениями в цифровой форме весьма привлекательна, а системы, выполняющие это, называются системами хранения и передачи изображения (СПХИ). На рис.3 изображена принципиальная схема взаимодействия элементов системы получения, обработки, хранения и передачи рентгеновских диагностических изображений. Система представлена тремя каналами: традиционная рентгенография; цифровая рентгенографическая установка; рентгеноскопия (видеосигнал с УРИ).
Первый канал. Рентгенограммы, полученные с помощью традиционного процесса, поступают на обработку в полутоновый графический сканер, с помощью которого рентгенодиагностическое изображение вводится в память компьютера. После этого такая преобразованная рентгенограмма может обрабатываться средствами компьютерной техники, но в рамках узкого динамического диапазона рентгеновской пленки. Это изображение может быть введено в электронный архив и извлекаться оттуда по требованию. Эта оцифрованная рентгенограмма уже ничем не отличается от прямых цифровых рентгенограмм по доступности средствам обработки. Третий канал. Рентгеновские изображения из рентгенотелевизионного канала УРИ могут захватываться специализированным адаптером видеоввода как в режиме реального времени, так и с видеомагнитофонного кадра. Последнее предпочтительно, так как позволяет при просмотре видеомагнитофонных изображений выбрать нужный кадр для занесения его в архив. Объектом ввода в электронный архив могут быть любые изображения, получаемые при рентгеноскопии с помощью УРИ. Первый и третий каналы дают возможность преобразовать традиционные рентгеновские изображения (рентгенограммы и кадры видеотелевизионного тракта) в цифровое изображение. Этот прием имеет особое значение, потому что он представляет возможность достоверно сравнить изображения, полученные различными способами. Следующим преимуществом преобразования являются возможность помещения его в электронный архив и выполнение всех операций с цифровым изображением. Следует особенно подчеркнуть возможность передачи изображения по компьютерным сетям, потому что в последние годы " взгляды медиков фокусируются на передачe изображений " как основном средстве обеспечения доступа к материалам, что имеет колоссальное значение как для диагностики, так и для процессов обучения. Второй канал. Это собственно канал цифровой рентгенографической установки. Он состоит из двух подсистем: автоматизированного рабочего места (АРМ) лаборанта и АРМ врача-рентгенолога (ВР), объединенных в локальную сеть. В АРМ рентгенолаборанта происходит внесение сведений о больном, необходимых организационных и клинических данных и управление процессом регистрации изображения (синхронное включение сканера и высокого напряжения и др.). После получения рентгеновского изображения оно и сведения о пациенте по локальной сети поступают в АРМ ВР. При этом процесс рентгенографии и передачи изображений от АРМ лаборанта в АРМ врача происходит без промедлений и в реальном времени, не прерывая работы врача ни на одной ступени, т.е. происходит непрерывная и независимая работа на обоих рабочих местах. На АРМ ВР выполняются программная обработка изображений для извлечения диагностической информации, поиск предшествующих изображений пациентов и сравнение с вновь полученными, регистрация новых пациентов и изображений в базе данных, приведение их к формату, оптимальному для архивирования, и другие манипуляции, доступные электронным технологиям персонального компьютера. Программное обеспечение позволяет врачу-рентгенологу при необходимости и создать твердые копии изображений на лазерном принтере ( этот способ получения твердых копий несколько уступает в точности передачи диагностических изображений теплопечати или поляроидному фотопроцессу, но значительно дешевле всех других способов воспроизведения изображения); при наличии сетевой связи позволяет передать их клинические подразделения, связаться с консультационными центрами или центральным архивом по электронной связи. Блок базы данных, являющийся сердцевиной системы, формализует все этапы работы с пациентом от внесения данных лаборантом до размещения в архивное хранение, позволяет врачу-рентгенологу создавать все виды стандартной отчетности, а также анализировать проведенную работу по целевым выборкам. Конечным этапом работы с цифровым изображением всех трех видов является его архивирование на магнитный или оптический носитель. СОСТАВ ТЕХНИЧЕСКИХ СРЕДСТВ АРМ ВР
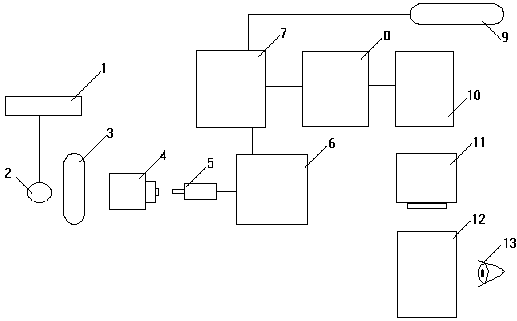
Выбор технических средств для АРМ ВР во многом зависит от типа решаемых задач. Обычно в качестве технической базы для АРМ обработки изображений используют графические станции или персональные компьютеры. Графические станции, созданные прежде всего для решений задач машинной графики, оборудованы специальными графическими процессорами, ускоряющими процедуры построения графических примитивов (особенно трехмерных). Для задач обработки и анализа изображений более существенна скорость обработки видеоданных. Поэтому в качестве технической базы АРМ ВР использована широко распространенная и дешевая ПЭВМ типа IBM PC/AT.
Рис.4 Блок-схема технических средств АРМ ВР. 1-негатоскоп; 2-телевизионная камера; 3-ПЭВМ; 4-фрейм-граббер; 5-телемонитор.
Практическая работа показала, что производительность персонального компьютера во многих случаях достаточна, чтобы решать задачи обработки видеоданных в реальном времени врача. Кроме того ПЭВМ имеют мощные технические и программные средства для организации "оконного" человеко-машинного диалога. При использовании изображений, записанных в аналоговом виде, например рентгенограмм, необходимо устройство для ввода и визуализации их в ЭВМ. В качестве такого устройства удобно использовать фрейм-граббер конструктивно оформленный в виде платы, расположенной в корпусе ПЭВМ. Также необходимо иметь телекамеру с объективом, световой стол для подсветки рентгенограмм (негатоскоп) и телемонитор для визуализации изображений (рис.4). Устройство цифрового ввода и визуализации изображений должно обеспечивать высокое качество представления медицинских изображений, чтобы при их использовании не терялась важная диагностическая информация. ЦИФРОВАЯ РЕНТГЕНОГРАФИЯ С ЭКРАНА ЭЛЕКТРОННО-ОПТИЧЕСКОГО ПРЕОБРАЗОВАТЕЛЯ (ЭОП) Система рентгенографии с экрана ЭОП (рис. 5) состоит, как и обычная система электронно-оптического преобразования для просвечивания, из ЭОП, телевизионного тракта с высоким разрешением, рентгеновского высоковольтного генератора и рентгеновского излучателя
Рис.5 Цифровая рентгенография с экрана ЭОП 1-генератор; 2-рентгеновская трубка; 3-пациент; 4-ЭОП; 5-видеокамера; 6-аналого-цифровой преобразователь; 7-накопитель изображений; 8-видеопроцессор; 9-сеть; 10-цифро-аналоговый преобразователь; 11-монитор; 12-снимок; 13-рентгенолог.
Сюда же входит штатив для исследования, цифровой преобразователь изображения и другие компоненты. При обычной методике рентгенографии с экрана ЭОП с помощью 100 мм фотокамеры или кинокамеры переснимается оптическое изображение на выходном экране преобразователя. В цифровой же системе сигнал, поступающий с видеокамеры, аналого-цифровым преобразователем трансформируется в набор цифровых данных и передается в накопительное устройство. Затем эти данные, в соответствии с выбранными исследователем параметрами, компьютерное устройство переводит в видимое изображение.
ЦИФРОВАЯ ЛЮМИНЕСЦЕНТНАЯ РЕНТГЕНОГРАФИЯ (ЦЛР) Применяемые в ЦЛР (рис.6) пластины-приемники изображения после их экспонирования рентгеновским излучением последовательно, точка за точкой, сканируются специальным лазерным устройством, а возникающий в процессе лазерного сканирования световой пучок трансформируется в цифровой сигнал.
Рис. 6 Цифровая люминесцентная рентгенография. 1-генератор; 2-рентгеновская трубка; 3-пациент; 4-запоминающая пластина; 5-транспортирующее устройство; 6-аналого-цифровой преобразователь; 7-накопитель изображений;8-видеопроцессор; 9-сеть; 10-цифро-аналоговый преобразователь; 11-монитор; 12-снимок; 13-рентгенолог. После цифрового усиления контуров и контрастности элементов изображения оно лазерным принтером печатается на пленке или воспроизводится на телевизионном мониторе рабочей консоли. Люминесцентные пластины-накопители выпускаются в стандартных формах рентгеновской пленки, помещаются вместо обычных комплектов "пленка—усиливающий экран" в кассету и применяются в обычных рентгеновских аппаратах. Такая пластина обладает значительно большей экспозиционной широтой, чем общепринятые комбинации пленка-экран, благодаря чему значительно расширяется интервал между недо- и переэкспонированием. Этим способом можно получать достаточно контрастные изображения даже при резко сниженной экспозиционной дозе, нижним пределом которой является лишь уровень квантового шума. Поэтому даже при рентгенографии в палате у постели больного методика ЦЛР гарантирует получения качественного снимка. При ЦЛР используются цифровые преобразователи, пространственное разрешение которых выше, чем у большинства используемых в настоящее время для обычной рентгенографии комбинаций экран-пленка. Все же особым преимуществом ЦЛР является передача малоконтрастных деталей, тогда как передача очень мелких деталей, таких, например, как микрокальценаты в молочной железе, остается прерогативой рентгенографии на рентгеновской пленке.
Рис.7 Цифровая селеновая рентгенография. 1-генератор; 2-рентгеновская трубка; 3-пациент; 4-селеновый барабан; 5-сканирующие электроды и усилитель; 6-аналого-цифровой преобразователь; 7-накопитель изображений; 8-видеопроцессор; 9-сеть; 10-цифро-аналоговый преобразователь; 11-монитор; 12-снимок; 13-рентгенолог.
Селеновые детекторы представляют собой новейшую систему цифровой рентгенографии (рис. 7). Основной частью такого устройства служит детектор в виде барабана, покрытого слоем аморфного селена. Селеновая рентгенография в настоящее время используется только в системах рентгенографии грудной клетки. Характерная для снимков грудной клетки высокая контрастность между легочными полями и областью средостения при цифровой обработке сглаживается, не уменьшая при этом контрастности деталей изображения. Другим преимуществом селенового детектора является высокий коэффициент отношения сигнал/шум. КОНТРАСТИРОВАНИЕ ИЗОБРАЖЕНИЙ
Главное преимущество цифровых рентгенографических систем по сравнению с обычными системами заключается в том, что цифровая система может обеспечивать более высокую вероятность обнаружения деталей низкого контраста в широком динамическом диапазоне. Несмотря на то, что детектор может обладать достаточно высокой чувствительностью к структуре с низким контрастом в изображениях, наблюдателю требуется помощь, чтобы рассортировать сигналы относительно фоновых структур. Исследуемые низкоконтрастные структуры должны быть сделаны более заметными фильтрацией, подавлением шумов, выделением частот и тому подобными способами. Основной прием, используемый в цифровой рентгенографии для достижения этой цели, — это вычитание изображений. Функция процесса вычитания в цифровой рентгенографии — это устранение или подавление потенциально мешающих эффектов, не представляющих интереса для рентгенолога, и повышение тем самым обнаружения представляющих интерес структур. Используются в основном два типа вычитаний — временное и энергетическое.
Временной метод вычитания — это метод, который можно использовать с целью удаления фоновых структур, когда выявляемость представляющего интерес объекта повышается введением контрастного реагента. Изображения регистрируют с контрастным реагентом и без контрастного реагента, а затем осуществляют вычитание этих изображений. Основным ограничением цифрового временного вычитания является его подверженность влиянию артефактов, обусловленных движением пациента между моментами времени, когда получаются изображения с контрастом и без контраста. Временное вычитание неэффективно при контрастных исследованиях (например желчного пузыря), когда между введением контрастного вещества и визуализацией проходит значительное время. До и после контрастных изображений, разделяемых интервалом времени, равным нескольким секундам, может быть ошибка регистрации.
Наряду с временным вычитанием в технике цифровой рентгенографии применяется энергетическое вычитание, которое в меньшей степени подвержено действию артефактов. Временное вычитание зависит от изменений распределения контраста во времени, а при энергетическом вычитании используется выраженная разность свойств ослабления излучения различными органами и структурами человеческого организма. В качестве примера пара изображений может быть получена при двух энергиях E 1 и E 2 — несколько ниже и несколько выше области нарушения равномерности зависимости коэффициента ослабления излучения йода от энергии излучения. Изображения затем вычитаются одно из другого. В связи с тем, что коэффициент ослабления мягкой ткани изменяется незначительно при двух значениях энергии, тени от всех областей мягких тканей будут практически устранены на разностном изображении. А так как изменения коэффициента ослабления йода значительны, изображение йода сохранится. Контраст (йод—мягкая ткань) возрастает при получении разности изображения. АВТОМАТИЧЕСКИЙ АНАЛИЗ ИЗОБРАЖЕНИЯ
В медицинской рентгенологии разработан ряд диагностических методик, основанных на измерениях относительных размеров изображений органов (рентгенокардиометрия). Рентгенометрические методы широко применяются при рентгеновских исследованиях беременных, некоторых костных патологий в педиатрии и в других случаях. Применение ЭВМ для рентгенометрических методов во много раз сокращает трудовые затраты персонала и повышает точность измерений. Задача автоматического анализа медицинских изображений является особенно актуальной в условиях проведения обязательного диспансерного обследования населения. Ее решение должно радикальным образом трансформировать весь процесс "скрининга" (массового профилактического обследования). Под автоматическим анализом в медицинской диагностике понимается частный случай распознавания изображений (автоматическая классификация), т. е. Отнесение изображения к определенному классу или группе, например норма, патология либо конкретный тип патологии. Математическая суть классификации есть отыскание некоторой функции, отображающей множество изображений во множество, элементами которого являются классы или группы изображений. В большинстве случаев процесс автоматической классификации проводится в три этапа: Предварительная обработка, состоящая в максимальном приближении исследуемого изображения к эталонному или нормализованному. Чаще всего для медицинских изображений это пространственно инвариантные операции, сдвиг, изменение яркости, изменение контраста, квантование и геометрические преобразования (изменение масштаба, поворот оси). Теория этих преобразований хорошо разработана и, как правило, не вызывает трудностей при использовании современных ЭВМ. Выделение признаков, при которых функция, представляющее обработанное изображение, подвергается функциональному преобразованию, выделяющему ряд наиболее существенных признаков, которые кодируются действительными числами. Выделение признаков заключается в математических преобразованиях изображения в зависимости от задачи анализа. Это может быть вычитание из эталона, вычитание постоянной составляющей для исключения мешающих теней, дифференцирование или автокорреляция для выделения контура, частотная фильтрация и многие другие. Правильный выбор алгоритма обработки имеет решающее значение для следующего этапа преобразования и представляет наибольшую трудность. Классификация признаков. Полученные в результате предыдущей операции наборы действительных чисел, описывающие выделенные признаки, сравниваются с эталонными числами, заложенными в память машины. ЭВМ на основании такого сравнения классифицирует изображение, т. е. относит его к одному из известных видов, например норма или патология. Набор действительных чисел, характеризующих выделенные признаки, при этом можно рассматривать как точку в n- мерном пространстве. Если в это пространство предварительно введены области, занимаемые тем или иным классом в пространстве, называемом пространством признаков, либо, что случается чаще, задана плотность вероятности для каждого класса, появляется возможность с известной вероятностью отнести данное изображение к определенному классу. Медицинские изображения, получаемые при рентгеновской, изотопной либо ультразвуковой диагностики различны как по характеру их сложности, так и по виду заложенной в них информации, определяемой прежде всего механизмом взаимодействия используемого вида излучения с органами и тканями. Однако они обладают общих признаков, важных для проблемы автоматической классификации; это прежде всего отсутствие:1) эталона нормы из-за индивидуальных особенностей каждого организма; 2) эталона патологии при огромном разнообразии ее форм. Указанные два обстоятельства чрезвычайно затрудняют выполнение двух последних этапов автоматической классификации и подчас делают вообще невозможным решение задачи с помощью современного уровня техники. Полная автоматическая классификация при дифференциальной диагностике пока еще невозможна. Может быть осуществлен только предварительный отбор по принципу норма–патология, экономически обоснованном лишь для тех случаев, когда проводится массовое диспансерное обследование. Решать задачу автоматического анализа привычных для диагноста изображений в большинстве случаев не имеет смысла. Необходимо создавать специальные условия формирования изображения, которые бы облегчали прежде всего выполнение второго этапа анализа. Ниже приведены некоторые принципиальные пути организации автоматического анализа медицинских изображений. 1. Функциональная диагностика. В первую очередь необходимо использовать такую важную особенность многих органов, как функциональная подвижность. Возможность регистрации органа в нескольких фазах позволяет получить эталон. Вычитая изображение двух фаз, можно избавиться от фона, многократно уменьшить количество анализируемой информации и перейти от исследования изображения органа к исследованию его функции, что во много раз проще, поскольку позволяет непосредственно обратиться к выделению признаков действительными числами. При профилактическом исследовании легких принципы функциональной диагностики подробно разработаны проф. И. С. Амосовым. Предложенная им рентгенополиграфическая решетка позволяет на одной рентгенограмме получить изображение двух фаз легких и тем самым осуществить квазисубтракцию изображений. Еще одним примером устройства для получения функциональных изображений является много лет используемая рентгенокимография, при которой также широко применяется количественный анализ признаков. Достаточно полную количественную информацию о динамике сердечных сокращений содержит серия кинокадров сердца, снятых с большой скоростью с экрана усилителя рентгеновского изображения. 2. Искусственное контрастирование. Существует еще одна форма эталона – искусственное контрастирование. Широко известны динамические и апостерлорные субстракторы, применяемые при церебральной и кардиологической ангиографии. Для всех этих методов на основе субстракции может быть разработан алгоритм автоматического анализа с помощью существующих ЭВМ той или иной сложности. 3. Анализ контура. Еще одной доступной для современного уровня вычислительной технологии формой выделения признаков может явиться группа патологий, связанная с изменением контура исследуемого органа. Известны методики диагностики по контуру сердца. Для весьма ограниченной группы патологий подобные методики можно использовать при получении контрастированного контура пищевода в желудке. 4. Количественное определение патологии. В некоторых случаях патология органа может быть однозначно выделена на изображении количественно. Таких случаев не много. Делались попытки выделить патологии на маммографическом изображении. Больше возможностей подобного рода представляют диагностика (изотопная) и вычислительная томография (рентгеновская, эмиссионная и на основе ядерного магнитного резонанса). 5. Сравнение с предыдущим исследованием. Этот прием может оказаться особенно эффективным при периодических профилактических обследованиях. Вычитание изображения, сделанного, например, через год при ежегодном диспансерном обследовании, из предыдущего позволяет с высокой степенью достоверности выделить происшедшие за истекший период изменения при идентичности геометрических и физико-технических условий проведения исследования. Подобный метод возможен лишь при организации автоматизированного архива изображения, обеспечивающего удобный и быстрый поиск и ввод их в ЭВМ. Такой автоматический отбор патологии возможен только после врачебного исследования первичного изображения и отнесения его к норме. Наиболее актуальными задачами автоматического анализа изображений, решение которых возможно в ближайшем будущем, следует считать создание системы отбора патологии при массовых рентгеновских профилактических обследованиях в условиях всеобщей диспансеризации. Для решения подобной задачи необходимо разработать методики получения изображений с использованием функциональной подвижности органов и аппаратуру для их реализации. При создании аппаратуры следует отказаться от традиционных пленочных регистраторов и в максимальной степени учитывать аппаратурные возможности предварительной нормализации изображений и выделения признаков. Параллельно с разработкой аппаратуры следует вести разработку статически обоснованных алгоритмов классификации признаков для достижения высокой достоверности анализа. ОБЛАСТИ ПРИМЕНЕНИЯ И ПРЕИМУЩЕСТВА ЦИФРОВЫХ СИСТЕМ
К преимуществам цифровых рентгенографических систем относятся следующие четыре фактора: цифровое отображение изображения; пониженная доза облучения; цифровая обработка изображений; цифровое хранение и улучшение качества изображений. Рассмотрим первое преимущество, связанное с отображением цифровой информации. Разложение изображения по уровням яркости на экране становится в полной мере доступным для пользователя. Весь диапазон оптических яркостей может быть использован для отображения лишь одного участка изображения, что приводит к повышению контраста в интересующей области. В распоряжении оператора имеются алгоритмы для аналоговой обработки изображения с целью оптимального использования возможностей систем отображения. Это свойство цифровой рентгенографии также дает возможность снизить лучевую нагрузку на пациента путем уменьшения количества рентгенограмм для получения диагностической информации (той же полезности). Цифровое отображение при его компьютерной обработке позволяет извлечь количественную и качественную информацию и таким образом перейти от интуитивно-эмпирического способа изображения к объективно измеренному. Существенным преимуществам цифровой рентгенографии перед экранно-пленочным процессом являются простота и скорость получения изображения. Изображение становится доступным анализу врачом-рентгенологом в момент окончания экспозиции. Второе преимущество цифровой рентгенологии — возможность снижения дозы облучения. Если в обычной рентгенологии доза облучения зависит от чувствительности приемника изображения и динамического диапазона пленки, то в цифровой рентгенологии оба этих показателя могут оказаться несущественными. Снижения дозы можно достичь установкой экспозиции, при которой поддерживается требуемый уровень шума в изображении. Дальнейшее уменьшение дозы возможно путем подбора такой длины волны рентгеновского излучения, которая обеспечивала бы минимальную дозу при данном отношении сигнал/шум, а также путем ликвидации любых потерь контраста с помощью описанных выше методов отображения цифровых изображений. Третье преимущество цифровой рентгенологии - это возможность цифровой обработки изображений. Рентгенолог должен выявить аномальные образования на осложненной фоном нормальной структуре биоткани. Он может не заметить мелких деталей в изображении, которые система разрешает, или пропустить слабоконтрастную структуру, видимую на фоне шумов изображения, из-за сложного строения окружающих (или сверхлежащих) тканей. Субстракционный метод в рентгенографии позволяет устранить большую часть паразитной фоновой структуры и тем самым увеличить вероятность выявления важных деталей на рентгенограмме. Компьютерную томографию можно рассматривать как частный случай метода субстракционной рентгенографии, в котором из обычных проекционных изображений устраняется информация о вышележащих структурах. Особенная ценность применения цифровой рентгенографии заключается в возможности полного отказа от рентгеновской пленки и связанного с ней фотохимического процесса. Это делает рентгенологическое исследование экологически чище, а хранение информации в цифровом виде позволяет создать легкодоступные рентгеновские архивы. Новые количественные формы обработки информации открывают широкие возможности стандартизации получения изображений, приведения их к стандарту качества в момент получения и при отсроченных повторных исследованиях. Немаловажна открывающаяся возможность передачи изображения на любые расстояния при помощи средств компьютерных коммуникаций. Приведенные соображения с достаточной наглядностью демонстрируют прогрессивность внедрения в практику цифровой рентгенографии, которая сможет перевести диагностическую рентгенологию на новый более высокий технологический уровень. Отказ от дорогостоящих расходных материалов обнаруживает и ее высокую экономическую эффективность, что в сочетании с возможностью уменьшения лучевых нагрузок на пациентов делает ее применение в практике особенно привлекательным. СПИСОК ЛИТЕРАТУРЫ:
Физика визуализации изображений в медицине: В 2-х томах. Т.1:Пер. с англ./Под ред. С.Уэбба.- М.:Мир,1991.- 408 с. Антонов А.О., Антонов О.С.,Лыткин С.А.// Мед.техника.-1995.- № 3 - с.3-6 Беликова Т.П., Лапшин В.В., Яшунская Н.И.// Мед.техника.-1995.- № 1-с.7 Рентгенотехника: Справочник. В 2-х кн. 2/ А.А. Алтухов, К.В. Клюева. — 2-е изд., перераб. и доп. — М.: Машиностроение, 1992. — 368 с. Поделитесь этой записью или добавьте в закладки |
Полезные публикации |
Главная