Приспособление для сборки деталей: основные моменты проектировки. Глава1 1. Первым моментом можно назвать выбор и обоснование способа ориентации. При этом следует предварительно уточнить материал, из которого изготавливается деталь и дать полную оценку технологичности. Итак, мы располагаем следующей информацией:
2. Вторым моментом при проектировании является обоснование баз и расчет на собираемость. Здесь стоит особо выделить следующие моменты:
где D min - минимальный диаметр отверстия; d max - максимальный диаметр вала; d l - допуск на межосевое расстояние.
С учетом выбранной посадки
-
Значения допусков размерной цепи:
3. Третьим моментом считается расчет параметров виброзагрузочного устройства. Исходные данные:
Расчёт: Размеры полки вибробункера: t = 6 мм. B = 8 +2 = 10 мм. Н = 0,3 ´ 400 = 120 мм.
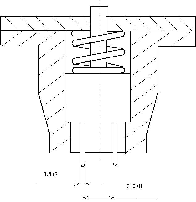
4. Четвёртый момент: исходя из выше приведенных данных определяем допуск на калибр:
Принимаем допуск на калибр по 5 кв. для наружного и внутреннего размеров ¾ 0,004 Эскиз калибра для настройки сборочного автомата
5. Пятый момент: проектирование эскиза захватного устройства
Глава 2 Построение схемы круговой сборочной машины В качестве сборочной машины выбирается МТК - 901 с количеством позиций - 12, со следующей схемой работы:
при этом позиции сборочной машины распределятся следующим образом:
1 - Установка первого контакта 2 - Установка второго контакта 3 - Установка пластины контактной (сборка) 4 - Расклепка первого контакта 5 - Расклепка второго контакта 6 - Удаление
1. Расчёт производительности:
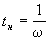
где p - количество параллельных потоков, p = 2; t р - время рабочего цикла, t р = 3 с. = 0,05 мин. t n - внецикловые потери одного потока
принимаем t n = 0,04 мин. на период запуска и t n = 0,00167 мин. на период устойчивой работы, тогда производительность сборочной машины:
-
на период запуска
-
на период устойчивой работы
Коэффициент производительности
2. Стоимость сборочной машины Складывается из стоимости всех агрегатов: С сб = 6 ´ С м + 4 ´ С рг + 4 ´ С вб1 + 2 ´ С вб2 + С с , где С м - стоимость манипулятора МРЛ-90, С м = 610 н/ч; С рг - стоимость клепального пресса МПК-901, С рг = 360 н/ч; С вб1 , С вб2 - стоимость вибробункеров, С вб1 = 24 н/ч, С вб2 = 372 н/ч; С с - стоимость круговой машины, С с = 1800 н/ч;
С сб = 6 ´ 610 + 4 ´ 360 + 4 ´ 24 + 2 ´ 372 + 1800 = 7740 н/ч.
Стоимость наладки принимаем за
Предельная стоимость РТК
где З 1 = З 2 = 2000н/ч.
-
на период запуска
- на период устойчивой работы
3. Расчёт максимальной длительности рабочего цикла
-
на период запуска
- на период устойчивой работы
4. Расчёт оптимального количества станков на одного наладчика
-
на период запуска
-
на период устойчивой работы
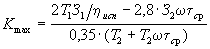
5. Условия срабатывания механизмов сборочной машины
К1 - датчик контроля сборки; К2 - датчик контроля наличия детали в сборочном приспособлении; УС - устройство удаления детали; П - привод перемещения сборочного приспособления; М - манипулятор МРУ - 901А; МПК - рабочая головка МПК - 901;
Сигналы: 1 - Включение сборочного модуля; 2 - Рабочая головка в исходном положении; 3 - Сборочное приспособление в исходной позиции; 4 - Сдув окончен; 5 - Подтверждение установки детали в сборочное приспособление; 6 - Перевести сборочное приспособление в левое положение; 7 - Рабочая головка в исходном положении; 8 - Запуск рабочей головки; 9 - Манипулятор в исходном положении; 10 - Перевести сборочное приспособление в правое положение; 11 - Подтверждение сборки; 12 - Удаление несобранных деталей; 13 - Удаление собранных деталей; Расчет технологической характеристики РТК Ручная сборка - Т 1 = 8 с. = 0,133 мин. Автоматическая сборка - Т 2 = 7 с. = 0,117 мин.
Параметры потока отказов - на период запуска w = 0,06; t ср = 40 c. = 0,667 мин. - на период устойчивой работы w = 0,01; t ср = 10 c. = 0,167 мин. . С с - стоимость стойки, С с = 47 н/ч;
С сб = 400 + 360 + 24 + 372 + 61 + 47 = 1264 н/ч.
6. Расчёт цикловой производительности
Коэффициент производительности
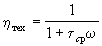
Коэффициент технического использования
-
на период запуска
-
на период устойчивой работы
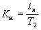
Коэффициент надежности
-
на период запуска
-
на период устойчивой работы
Коэффициент использования
-
на период запуска
-
на период устойчивой работы
Фактическая производительность Q = Q ц h исп - на период запуска Q = 8,55 × 0,94 = 8,04 ; - на период устойчивой работы Q = 8,55 × 0,997 = 8,524. . 7. Расчёт предельной стоимости РТК
где З 1 = З 2 = 2000н/ч.
-
на период запуска
- на период устойчивой работы
Глава3 Технологическая схема сборки сборочной единицы
Структурная схема маршрутного техпроцесса автоматической сборки сборочной единицы ‘Пластина контактная’
Приложение 1
Алгоритм работы сборочной машины
Приложение 2
Циклограмма работы сборочной машины
Поделитесь этой записью или добавьте в закладки |
Полезные публикации |
Главная