Кран козловой: определение и расчёт возможных нагрузок.
Содержание 1. Цель, задачи и исходные данные для выполнения работы : * 2. Устойчивость крана в рабочем и нерабочем состоянии : основные моменты при проверке * 3. Внешние нагрузки на кран: классификация и способы расчёта. * Ветровая нагрузка в в рабочем состоянии * 4. Определение опорных давлений. * 5. Расчёт и подбор механизма подъёма груза. * 6. Расчёт металлоконструкции крана. * 7. Расчёт металлоконструкции при динамическом действии нагрузки. * 8. Оборудование механизма перемещения крана. * 9. Механизм передвижения тележки: подбор и необходимые расчёты. * Приложение 1 * Приложение 2 *
1. Цель, задачи и исходные данные для выполнения работы : В качестве цели данной работы принимается освоение основных расчётов грузоподъёмных машин. Пример - бесконсольный козловой кран общего назначения (обозначение по ГОСТ : Кран козловой 540-33 ГОСТ 7352-75), применяемый для реализации одной из следующих операций:
Следует отметить, что в зависимости от типа моста, краны делятся на одно- и двухбалочные. В процессе написания данной работы выполняются следующие задачи:
Исходные данные для выполнения работы :
2. Устойчивость крана в рабочем и нерабочем состоянии : основные моменты при проверке
Устойчивость в рабочем состоянии оценивается коэффициентом, который определяется отношением удерживающего момента, создаваемого массовыми силами крана и груза с учётом влияния допустимого при работе уклона, к опрокидывающему моменту, создаваемому внешними нагрузками, относительно ребра опрокидывания. Это отношение во всех случаях должно быть не менее 1. 15. Все расчёты приведены ниже в таблице.
Примечание: при втором расчётном состоянии также предусмотрено условие - кран движется под углом к горизонту с углом a , ветровая нагрузка направлена в сторону движения крана.
3. Внешние нагрузки на кран: классификация и способы расчёта. Все нагрузки на кран можно разделить на ветровые и инерционные. Причём инерционные нагрузки определяются для периодов неустановившегося движения крана, рагона и торможения крана в целом, его грузовой тележки, а также механизма подъема. Инерционные нагрузки также подразделяются на горизонтальные и вертикальные.
3. 1. Определение ветровых нагрузок (ГОСТ 1451-77) Для рабочего состояния :
W
p
=0. 15*F*
Площадь моста : F m =lh m =36. 8*3. 2=117. 76 m 2 Площадь жёсткой опоры : F жо =0. 5l ж (h-h m )=0. 5*4. 16*(28-3. 2)=51. 58m 2 Площадь гибкой опоры : F го =l го (h-h m )=0. 8*(28-3. 2)=19. 84
Ветровая нагрузка в в рабочем состоянии
Поскольку опоры лежат в разных ветровых с мостом, то и значение n выбираем соответственно. Для нерабочего состояния :
W
нр
=0. 7*F*
Ветровая нагрузка в нерабочем состоянии :
3. 2. Определение инерционных нагрузок.
Для погрузочно-разгрузочных козловых кранов принимаем допустимое ускорение а=0. 3м/с 2 . Координату точки подвеса груза принимаем равной h, поскольку грузовая тележка движется по верхней панели моста. Горизонтальная инерционная нагрузка направленная поперёк подкрановых путей она возникает при разгоне и торможении тележки с грузом Р т =(G т +Q)a=(7. 5+50)*0. 3=17. 25
Вертикальная инерционная нагрузка направленная поперёк подкрановых путей возникает при поднимании и опускании, раразгоне и торможении груза Р гр =1. 1Qа=1. 1*50*0. 3=16. 5 Инерционные нагрузки, действующие в направлении подкрановых путей : движущаяся масса: кран сила инерции Р: Р к =G к а=24 координата силы у : 15. 63 опрокидывающиймо момент: 375. 12
движущаяся масса: груз сила инерции Р: Р гр =Qа=15 координата силы у : 24.8 опрокидывающиймо момент: 372
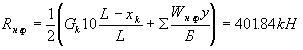
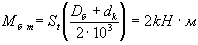
4. Определение опорных давлений. 4.1. Опоры крана устанавливаются на ходовые тележки, движущиеся по рельсам. Опоры козловых кранов выполняют двухстоечными равной жёсткости, или одну -жёсткой, другую -гибкой(шарнирной). Все расчёты по определению Максимальной нагрузк на одну из четырёх опор приведены ниже :
Для рабочего состояния :
Для нерабочего состояния :
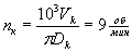
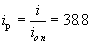
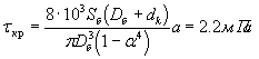
4. 2. Расчётная нагрузка на одно колесо. Поскольку грузоподъёмность расчитываемого крана 50 т. , принимаем число колёс в каждой опоре равной 2.
Выбираем двухребордное колесо, конического исполнения по ГОСТ 3569-74 с нагрузкой на рельс 320kH, диаметром D=710 мм, шириной В= 100мм, рельс КР-80, радиус r=400мм
4. 3. Выбор материала крановых колёс.
где
m k - безразмерный коэффициент, зависящий от соотношения D/2r, по таблице принимаем 0. 47
Принимаем сталь 40ХН с
5. Расчёт и подбор механизма подъёма груза.
Краткая характеристика и задачи расчёта.
Механизм подъёма груза предназначен для перемещения груза в вертикальном направлении. Он выбирается в зависимости от грузоподъёмности. Для нашего случая механизм включает в себя сдвоенный пятикратный полиспаст. Привод механизма подъёма и опускания груза включает в себя лебёдку механизма подъёма. Крутящий момент, создаваемый электродвигателем передаётся на редуктор через муфту. Редуктор предназначен для уменьшения числа оборотов и увеличения крутящего момента на барабане. Барабан предназначен для преобразованя вращательного движения привода в поступательное движение каната.
КПД полиспаста :
Усилие в ветви каната, навиваемой на барабан :
z -число полиспастов z=2
Расчётная разрывная нагрузка :
К=5. 5 коэффициент запаса прочности
Выбор каната по расчётному разрывному усилию :
Выбираем канат двойной свивки типа ЛК-РО конструкции 6*36 ГОСТ 7669-80 с разрывным усилием не менее 364. 5 кН и диаметром d=27 мм
Конструктивный диаметр барабана :
е- коэффициент пропорциональности в зависимости от режима работы е=25 Окончательно диаметр выбираем из стандарного ряда, ближайшее большее D б =710
Рабочая длинна барабана с однослойной навивкой каната :
а-число ветвей каната а=2 t-шаг винтовой нарезки, принимаемый в зависимости от диаметра барабана t=31. 25
Полная длинна барабана :
Толщина стенки барабана :
Принимаем из условия
Принимаем
Выбор материала барабана :
Напряжения сжатия равны :
Напряжения, возникающие при изгибе :
Напряжения, возникающие при кручении :
Суммарные напряжения возникающие в теле барабана :
Выбираем материал сталь 35Л у, которой предел прочности при изгибе
К з -коэффициент запаса прочности К з =1. 1 Следовательно нагрузки на барабан не превосходят допустимых.
Усилия в ветви каната, набегающей на барабан и закреплённой в нём :
Определение силы затяжения на одну шпильку :
z-число шпилек Сила затяжки на всё соединение :
Число шпилек :z=4 Принимаем резьбу d=24
Суммарное напряжение в теле шпильки :
Так как 146. 96
Подбор крюка :
Козловые краны выполняют преимущественно крюковыми или со специальными захватами.
Выбираем подвеску крюковую крановую, грузоподъёмностью 50 т. по ГОСТ 24. 191. 08-87, для средних условий работы, с пятью блоками, массой 1361 кг, типоразмер 5-50-710 под канат диаметра 23
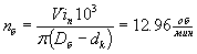
Частота вращения барабана :
Необходимая мощность механизма подъёма груза :
По таблицам принимаем двигатель типа МТКН 412-6 мощьность N=36 кВт, частота вращения n=920 об/мин, номинальный момент двигателя M н =0. 37 кНм
Выбор редуктора :
Принимаем редуктор цилиндрический вертикального исполнения ВКУ-765, передаточное число i=71, межосевое расстояние а=765.
Выбор муфты :
Выбираем зубчатую муфту с тормозным барабаном. Передаваемый муфтой крутящий момент :
По таблицам выбираем муфту с передаваемым моментом 710 Н, с тормозным барабаном D
t
=710, тип МЗ-2, момент инерции J=0. 05 кг
Подбор тормоза :
Расчётный тормозной момент :
К т -коэффициент запаса торможения Кт=1. 75 Выбираем тормоз ТКГ-300, тормозной момент 0. 8 кН
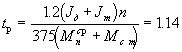
Определение времени разгона механизма.
Проверка тормоза по мощности трения.
т. к. 0. 3
6. Расчёт металлоконструкции крана.
Принимаем : мост крана выполнен из двух коробчатых балок, по которым проложены рельсы грузовой тележки.
Принимаем высоту балок 0. 75 м, ширину 0. 05 м. Сталь горячекатанная. Модуль упругости Е=206
*
10
Вес одной балки(распределённаянагрузка) 0. 94 кН/мвес груза и грузоподъемной тележки F=57. 5 кН
Построение эпюр.
Реакции опор от действия груза : F/2=28. 75 кН Воздействие от распределённой нагрузки : ql/2=0. 99*32/2=15. 04 кН Построение эпюр изгибающих момеитов. От действий груза :
От действия распределённой нагрузки :
Осевой момент сопротивления сечения :
Осевой момент инерции :
Нормальные напряжения возникающие при изгибе балки моста :
так как расчётное сопротивление R=240 мПа, а напряжения, возникающие в балке 12. 9 мПа, то прочность балки, при статическом приложении нагрузки, обеспечина.
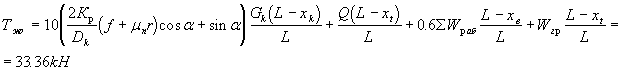
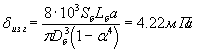
7. Расчёт металлоконструкции при динамическом действии нагрузки.
Расчёт на ударное приложение нагрузки.
При расчёте, для его упрощения принимаем ряд допущении : 1. при ударной нагрузке в элементах конструкции возникают только упругие деформации и расчитываемая система является линейно диформируемой 2. сам удар считается неупругим
3. потеря части энергии на нагревание соударяющихся тел и местные деформации в зоне контакта не учитываются Принимаем следующие условия расчёта : груз весом 50кН падает с высоты на середину свободно лежащей балки моста пролётом l=32 м, расчётное сопротивление стали R=240 мПа, допустимая величина прогиба для козловых кранов с гибкой опорой f д =1/1000 или 32/32000. Прогиб динамический :
где k-динамический коэффициент тогда :
k=0, k=8, т. к. при k=0 рассчёты не имеют смысла принимаем k=8.
Нормальные напряжения от прогиба при ударе :
т. к.
то балка удовлетворяет условиям на прочность при ударе. 8. Оборудование механизма перемещения крана.
Для механизмов передвижения козловых кранов предусматривают раздельные приводы. Приводными выполняют не менее половины всех ходовых колёс. Механизм передвижения крана служит для перемещения крана по рельсам и состоит из следующих элементов: двигатель, муфта, редуктор, тормоз, шестерни, ходовое колесо.
Общее статическое сопротивление передвижению крана без груза :
D k -диаметр ходового колеса f -коэффициент трения кочения f=0. 0007
r-радиус цапфы r=0. 071 м
Сопротивление качению крана без груза :
K общ -число колёс крана К пр -число приводных колёс
Проверка коэффициента сцепления :
так как 3>1. 2, то по запасу сцепления механизм подходит
Суммарное статическое сопротивление передвижению жёсткой опоры :
x в -координата центра ветрового давления
Расчётная мощность одного двигателя :
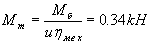
Выбираем двигатель MTF-111-6, мощность N=4. 1 кВт, частота вращения n=870 об/мин, момент инерции J=0. 048, максимальный момент М=85 Нм
Подбор редуктора .
Частота вращения колёс крана :
Необходимое передаточное отношение механизма передвижения крана :
Расчётное передаточное отношение редуктора :
i оп -передаточное отношение открытой передачи Выбираем редуктор горизонтального исполнения серии Ц2У-250, с передаточным отношением i=40.
Выбор тормоза механизма передвижения.
Выбираем тормоз типа ТКТ-200, с тормозным моментом М=160 Нм
9. Механизм передвижения тележки: подбор и необходимые расчёты.
Грузовые тележки бывают самоходными или с канатным приводом. Грузовые тележки двухбалочных кранов могут иметь поворотную стрелу. Механизм передвижения тележки служит для перемещения по рельсам, положенной на балку моста, тележки, несущей на себе грузозахватное устройство. Перемещение тележки осуществляется при помощи канатного устройства, лебёдкой. Схема запасовки каната механизма перемещения тележки : Ориентировочное значение нагрузки на каток тележки :
Выбираем катки тележки - двухбордные колёса d=320 мм, ширина В=80 мм. Напряжение сжатия колеса при точечном контакте :
Выбираем материал сталь 40ХН, для которого
Общее сопротивление перемещения тележки :
r-радиус цапфы r=32 мм
С учётом дополнительного сопротивления от натяжения грузового каната и провисания, тяговое усилие в канате :
Расчётная разрывная нагрузка на канат :
к-коэффициент запаса к=5. 5 Принимаем канат двойной свивки типа ЛК-РО конструкции 6*36 ГОСТ 7669-80, диаметр каната d=11. 5 мм, разрывное усилие 75. 1 мПа маркировочная группа 1764 мПа.
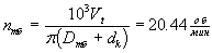
Диаметр тягового барабана и частота его вращения :
Принимаем D тб =300 мм
Частота вращения n тб =20. 44 об/мин
Мощность приводного двигателя :
n-число блоков n=3
Выбираем двигатель MTF-112-6, мощность N=5. 8 кВт, частота вращения n=915 об/мин, максимальный момент М=137 Нм, момент инерции J=0. 064 кг. . . .
Необходимое передаточное отношение механизма :
Принимаем редуктор ЦЗУ-160, с передаточным отношением i=45, крутящем моментом М=1000 Нм
Выбор муфты.
Крутящий момент на барабане :
Принимаем муфту МЗ-1, передаваемый момент М=0. 2 кНм, диаметр тормозного барабана D=200 мм, момент инерции муфты J=0. 032kH
Выбор тормоза. Выбираем тормоз ТТ-200, тормозной момент 0. 2 кНм
Основные формулы для определения геометрических и массовых характеристик крана: Принятые ниже значения позволяют определить координаты центров масс отдельных элементов и крана в целом, относительно оси абсцисс, проходящей через головни рельсов и оси ординат, проходящей через точку опоры на рельсы жёсткой опоры крана.
Значение координат центра масс крана и его элементов и их статические моменты:
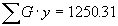
Определение координат центра масс всего крана :
х к =828. 74/80=10. 36 у к =1250. 31/80=15. 63
Поделитесь этой записью или добавьте в закладки |
Полезные публикации | ||||||||||||||||||||||||||||||||||||||||||||||||||||||||||||||||||||||||||||||||||||||||||||||||||||||||||||||||||||||||||||||||||||||||||||||||||||||||||||||||||||||||||||||||||||||||||||||||||||||||||||||||||||||||||||||||||||||
Главная