Основы метрологии и измерительной техники
Изучение и исследование средств измерений электрических и неэлектрических величин. Методические указания к лабораторным работам являются составной частью программы по дисциплине "Основы метрологии и измерительной техники " , изучаемой студентами 2-го курса специальности 2101 - ЭВМ. системы , комплексы и сети.
Лабораторные работы выполняются в объеме 18 часов. Основным содержанием лабораторных работ является получение практических навыков работы с современными измерительными приборами, изучение методик определения основных метрологических характеристик измерительных преобразователей и построение алгоритмов практического применения преобразователей в системах с электронно-вычислительной аппаратурой.
Часть 2-3. Исследование функций преобразования и метрологических характеристик бесконтактных волоконно- оптических датчиков перемещений. 1.Цель работы, ее краткое содержание.
Целью данной работы является освоение методик определения основных метрологических и эксплуатационных характеристик первичных измерительных преобразователей информации на примере бесконтактного волоконно- оптического датчика перемещений , а также разработка алгоритма адаптации в системы ,содержащие средства вычислительной техники. 2.Теоретические сведения. Исследуемый в лабораторной работе бесконтактный волоконно-оптический преобразователь перемещений представляет собой систему состоящую из источника излучения ,примо- предающего волоконно- оптического канала и фотоприемника. Здесь поток излучения от источника 1 вводится в предающий световод 2 и на его выходе формируется расходящийся поток излучения в виде конуса, ограниченного апертурой оптических волокон. При падении потока на поверхность объекта часть его отражается и попадает в приемный световод 3 ,проходит по нему в фотоприемник 4, где преобразуется в электрический сигнал. Если изменять расстояние между торцом приемо- предающего световода от нуля , то премещение и выходной ток фотоприемника связаны зависимостью , показанной на рисунке 2.
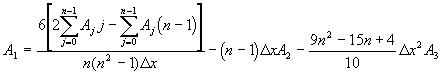
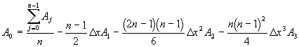
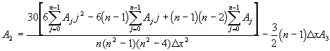
Рис.1 Схема волконно-оптического Рис2 Типичная зависимость датчика. Зависимость имеет восходящий участок, обусловленный увеличением потока, попадающего в приемный световод, участок максимума ,где наступает равновесие между потоком, входящим в приемный канал и выходящим за его пределы и падающий участок , где преобладает поток ,выходящий за границу приемного световода. На характеристике видны два квазилинейных участка из которых могут быть сформированы функции преобразования ВОД , являющиеся основной метрологической характеристикой. Наиболее часто для преобразования перемещения в электрический сигнал используется восходящий участок , гду крутизна существенно больше. Преобразователи такого типа , получившие применение для бесконтактного преобразования перемещений в электрический сигнал в сложных условиях окружающей среды , имеют индивидуальные функции преобразования и для каждого экземпляра определяются отдельно. Функция преобразования на восходящем участке с достаточной степенью точности можно апроксимировать полиномом третьей степени: Коэффициенты определяются из соотношений:
А = ---------------------------------------------------------------------------
А = ----------------------------------------------------------------------------------
А = --------------------------------------------------------------------------------------
А =----------------------------------------------------------------------------------------
---------------------------------------------------------------------------------------- где- = 0,1... - номер экспериментальной точки функции преобразования; - число полученных значений функции преобразования ; А -отклик ВОД при - ом значении входного параметра; х - приращение входного параметра. Положение начальной установки датчика относительно отражающей поверхности определяется точкой перегиба функции . 3. Оборудование лабораторного стенда При проведении экспериментальных исследований в данной работе используется следующее оборудование: осциллограф, цифровой вольтметр, специальный штатив с возможностью контроля перемещений ,волоконно-оптический датчик. Питание волоконно-оптического датчика осуществляется от централизованного источника питания. 4. Методика проведения работы. 1. Изучить описание проведения лабораторной работы. 2. Подготовить измерительную установку к работе. Для этого необходимо: включить питание датчика, включить измерительные приборы и дать им прогреться в течении 15 мин.; установить терец световода над исследуемым участком отражающей поверхности; подключить выход ВОД ко входу цифрового вольтметра. 3. Снять и построить функцию преобразования ВОД . Для этого необходимо: -отвести общий торец световода с помощью микрометричекой пары до положения, когда на вольтметре появится максимальное значение напряжения: -подводя общий торец световода к отражающей поверхности через каждые 500 мкм зафиксировать и записать значения показаний вольтметра; -определить примерное положение точки перегиба функции преобразования как -установить преобразователь в положение соответствующее этой точке по показанию вольтметра; -отводя датчик вверх и вниз от точки перегиба снять показания вольтметра через каждые 500 мкм; -повторить эти действия 10 раз, данные занести в таблицу. 4. По данным экспериментального исследования построить функцию преобразования по средним значениям экспериментальных точек. 5. По этим же данным определить: -максимальное значение доверительного интервала для Р=0,95 ,используя таблицы Стьюдента: -гистограмму распределения погрешностей. 6.Построить алгоритм и вычислить коэффициенты апроксимирующего полинома. 7. Провести исследование влияния одного из дестабилизирующих факторов по указанию преподавателя. 5. Требование к отчету по выполненной работе. В отчет по лабораторной работе необходимо включить: 1. Цель работы. 2. Структурную схему определения параметров ВОД. 3. Протоколы измерений. 4. Графические зависимости. 5. Алгоритм расчета и величины коэффициентов апроксимирующей функции. МИНИСТЕРСТВО ОБРАЗОВАНИЯ РФ МОСКОВСКИЙ ГОСУДАРСТВЕННЫЙ ИНСТИТУТ ЭЛЕКТРОНИКИ И МАТЕМАТИКИ
МЕТОДИЧЕСКИЕ УКАЗАНИЯ к лабораторным работам по курсу "Основы метрологии и измерительной техники".
Факультет автоматики и вычислительной техники Кафедра "Электронно- вычислительная аппаратура
Москва - 1998
Изучение и исследование средств измерений электрических и неэлектрических величин. Методические указания к лабораторным работам являются составной частью программы по дисциплине "Основы метрологии и измерительной техники " , изучаемой студентами 2-го курса специальности 2101 - ЭВМ. системы , комплексы и сети.
Лабораторные работы выполняются в объеме 18 часов. Основным содержанием лабораторных работ является получение практических навыков работы с современными измерительными приборами, изучение методик определения основных метрологических характеристик измерительных преобразователей и построение алгоритмов практического применения преобразователей в системах с электронно-вычислительной аппаратурой.
Часть 2-3. Исследование функций преобразования и метрологических характеристик бесконтактных волоконно- оптических датчиков перемещений. 1.Цель работы, ее краткое содержание.
Целью данной работы является освоение методик определения основных метрологических и эксплуатационных характеристик первичных измерительных преобразователей информации на примере бесконтактного волоконно- оптического датчика перемещений , а также разработка алгоритма адаптации в системы ,содержащие средства вычислительной техники. 2.Теоретические сведения. Исследуемый в лабораторной работе бесконтактный волоконно-оптический преобразователь перемещений представляет собой систему состоящую из источника излучения ,примо- предающего волоконно- оптического канала и фотоприемника. Здесь поток излучения от источника 1 вводится в предающий световод 2 и на его выходе формируется расходящийся поток излучения в виде конуса, ограниченного апертурой оптических волокон. При падении потока на поверхность объекта часть его отражается и попадает в приемный световод 3 ,проходит по нему в фотоприемник 4, где преобразуется в электрический сигнал. Если изменять расстояние между торцом приемо- предающего световода от нуля , то премещение и выходной ток фотоприемника связаны зависимостью , показанной на рисунке 2.
Рис.1 Схема волконно-оптического Рис2 Типичная зависимость датчика. Зависимость имеет восходящий участок, обусловленный увеличением потока, попадающего в приемный световод, участок максимума ,где наступает равновесие между потоком, входящим в приемный канал и выходящим за его пределы и падающий участок , где преобладает поток ,выходящий за границу приемного световода. На характеристике видны два квазилинейных участка из которых могут быть сформированы функции преобразования ВОД , являющиеся основной метрологической характеристикой. Наиболее часто для преобразования перемещения в электрический сигнал используется восходящий участок , гду крутизна существенно больше. Преобразователи такого типа , получившие применение для бесконтактного преобразования перемещений в электрический сигнал в сложных условиях окружающей среды , имеют индивидуальные функции преобразования и для каждого экземпляра определяются отдельно. Функция преобразования на восходящем участке с достаточной степенью точности можно апроксимировать полиномом третьей степени: Коэффициенты определяются из соотношений:
А = ---------------------------------------------------------------------------
А = ----------------------------------------------------------------------------------
А = --------------------------------------------------------------------------------------
А =----------------------------------------------------------------------------------------
---------------------------------------------------------------------------------------- где- = 0,1... - номер экспериментальной точки функции преобразования; - число полученных значений функции преобразования ; А -отклик ВОД при - ом значении входного параметра; х - приращение входного параметра. Положение начальной установки датчика относительно отражающей поверхности определяется точкой перегиба функции . 3. Оборудование лабораторного стенда При проведении экспериментальных исследований в данной работе используется следующее оборудование: осциллограф, цифровой вольтметр, специальный штатив с возможностью контроля перемещений ,волоконно-оптический датчик. Питание волоконно-оптического датчика осуществляется от централизованного источника питания. 4. Методика проведения работы. 1. Изучить описание проведения лабораторной работы. 2. Подготовить измерительную установку к работе. Для этого необходимо: включить питание датчика, включить измерительные приборы и дать им прогреться в течении 15 мин.; установить терец световода над исследуемым участком отражающей поверхности; подключить выход ВОД ко входу цифрового вольтметра. 3. Снять и построить функцию преобразования ВОД . Для этого необходимо: -отвести общий торец световода с помощью микрометричекой пары до положения, когда на вольтметре появится максимальное значение напряжения: -подводя общий торец световода к отражающей поверхности через каждые 500 мкм зафиксировать и записать значения показаний вольтметра; -определить примерное положение точки перегиба функции преобразования как -установить преобразователь в положение соответствующее этой точке по показанию вольтметра; -отводя датчик вверх и вниз от точки перегиба снять показания вольтметра через каждые 500 мкм; -повторить эти действия 10 раз, данные занести в таблицу. 4. По данным экспериментального исследования построить функцию преобразования по средним значениям экспериментальных точек. 5. По этим же данным определить: -максимальное значение доверительного интервала для Р=0,95 ,используя таблицы Стьюдента: -гистограмму распределения погрешностей. 6.Построить алгоритм и вычислить коэффициенты апроксимирующего полинома. 7. Провести исследование влияния одного из дестабилизирующих факторов по указанию преподавателя. 5. Требование к отчету по выполненной работе. В отчет по лабораторной работе необходимо включить: 1. Цель работы. 2. Структурную схему определения параметров ВОД. 3. Протоколы измерений. 4. Графические зависимости. 5. Алгоритм расчета и величины коэффициентов апроксимирующей функции. Государственный комитет РФ по высшему образованию Московский государственный институт электроники и математики
Кафедра ЭВА
Лабораторная работа по курсу "Метрология и измерительная техника" Исследование функций преобразования и метрологических характеристик бесконтактных волоконно-оптических датчиков перемещений.
Выполнили студенты группы С-45 Голышевский А. Костарев В. Куприянов Ю. Сапунов Г.
Преподаватель Зак Е.А.
Москва 1998 Цель работы: Освоение методик определения основных метрологических и эксплуатационных характеристик первичных измерительных преобразователей информации на примере бесконтактного волоконно-оптического датчика перемещений. Используемое оборудование: волоконно-оптический датчик перемещения, специальный штатив с возможностью контроля перемещений, цифровой вольтметр, микрометрический винт, четыре различных типа поверхности. Алгоритм получения результатов. Волоконно-оптический датчик подключают к цифровому вольтметру. Часть 1. Нахождение функции преобразования.
Дальнейшие измерения расстояния будут вестись относительно точки х 0 , соответствующей напряжению ( + )/2 = В
График можно аппроксимировать кубическим полиномом
ãäå: j= 0,1... - íîìåð ýêñïåðèìåíòàëüíîé òî÷êè ôóíêöèè ïðåîáðàçîâàíèÿ; n - ÷èñëî ïîëó÷åííûõ çíà÷åíèé ôóíêöèè ïðåîáðàçîâàíèÿ (n=11); A j - îòêëèê ÂÎÄ ïðè j-îì çíà÷åíèè âõîäíîãî ïàðàìåòðà; D õ i - ïðèðàùåíèå âõîäíîãî ïàðàìåòðà ( D õ i =0,1 ìì). Часть 2. Исследование влияния условий (типа поверхности) на функцию преобразования. Измерения производятся для четырех типов поверхности: белая бумага, черная бумага и текстолит с двух сторон. Измеряем напряжение на выходе датчика в точках от x=0 до значения, при котором напряжение будет максимальным, с шагом 200 мкм.
Часть 3. Выводы. Ðàáîòà âîëîêîííî-îïòè÷åñêîãî äàò÷èêà çàâèñèò îò ñîñòîÿíèÿ ïîâåðõíîñòè ðàáî÷åé ïëàñòèíû, åå êîýôôèöèåíòà îòðàæåíèÿ è ñòåïåíè ðàññåèâàíèÿ ñâåòà ïðè îòðàæåíèè îò ïîâåðõíîñòè. Ôóíêöèÿ ïðåîáðàçîâàíèÿ äàò÷èêà èíäèâèäóàëüíà äëÿ êàæäîãî ñî÷åòàíèÿ äàò÷èê — ïîâåðõíîñòü. Ðàçìåð (äëèíà) ðàáî÷åãî ó÷àñòêà õàðàêòåðèñòèêè îïðåäåëÿåòñÿ ðàññåèâàíèåì ñâåòà îò ïîâåðõíîñòè, à óãîë íàêëîíà — êîýôôèöèåíòîì îòðàæåíèÿ ñâåòà. Äàò÷èê õàðàêòåðèçóåòñÿ ïîëíûì îòñóòñòâèåì âëèÿíèÿ íà îáúåêò. Ïîãðåøíîñòü (àáñîëþòíàÿ) ìèêðîìåòðà ïðè èçìåðåíèÿõ ñîñòàâëÿëà 5 ìêì. À ïîãðåøíîñòü âîëüòìåòðà — âî âòîðîì çíàêå ïîñëå çàïÿòîé, òî åñòü ïðè èçìåðåíèÿõ ñ ìåòàëëè÷åñêîé ïëàñòèíîé îíà ñîñòàâèëà äî 0,05 Âîëüòà. Âîëüòìåòð îáëàäàåò òðåìÿ ñ ïîëîâèíîé ðàçðÿäàìè, íî ñëó÷àéíàÿ ïîãðåøíîñòü èç-çà íåïðåðûâíîãî èçìåíåíèÿ ïîêàçàíèé â äàííîì ñëó÷àå îêàçàëàñü âûøå.
Поделитесь этой записью или добавьте в закладки |
Полезные публикации | ||||||||||||||||||||||||||||||||||||||||||||||||||||||||||||||||||||||||||||||||||||||||||||||||||||||||||||||||||||||||||||||||||||||||||||||||||||||||||||||||||||||||||||||||||||||||||||||||||||||||||||||||||||||||||||||||||||||||||||||||||||||||||||||||||||||
Главная