ОТВЕТЫ И РЕШЕНИЯ Колебания
Механические колебания: качание маятника часов, движение стрелки часов, колебания струны, вибрация крыльев самолета, движение Земли вокруг Солнца.
Нет, так как вес шарика равен нулю.
При гармонических колебаниях маятника часов постоянными являются: амплитуда, период, частота; переменными: смешение, скорость, ускорение.
Амплитуда колебаний равна радиусу окружности, по которой движется шарик, или 1/2 d, частота обращения шарика равна частоте колебаний.
Разность фаз свободных колебаний рук человека при ходьбе равна П, так как они колеблются в противофазе.
Да. Все характеристики колебания: амплитуда, циклическая частота, линейная частота одинаковы во всех трех уравнениях; различна лишь начальная фаза, а она зависит только от того, в каком положении было колеблющееся тело в момент начала наблюдения.
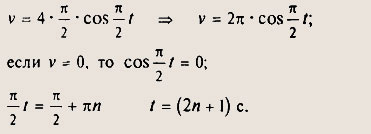
Если колебание описывается уравнением
то скорость этого колебания будет описыватся уравнением
В момент времени, когда скорость колеблющегося пружинного маятника равна 0, маятник находится в крайних положениях; его отклонение от положения равновесия максимально, сила упругости максимальна, следовательно, ускорение тоже максимально.
В момент прохождения положения равновесия ускорение колеблющегося тела на пружине равно нулю, так как отклонение тела от положения равновесия равно нулю, сила упругости равна нулю и ускорение тоже равно нулю.
Амплитуда
Все зависит от того, какое положение будет считаться начальным. Если положение равновесия, то α — начальная фаза, если крайнее положение, то α не является начальой фазой.
Если колеблющееся тело находится в крайних положениях, равнодействующая сил, действующих на тело, направлена к положению равновесия; если же тело находится в положении равновесия, то равнодействующая равна нулю.
В точке положения равновесия вес тела максимален и равен
где R - длина качелей. Вставая в полный рост, человек должен приложить усилие равное весу тела.
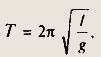
Так как зависимость периода колебаний маял пика от его длины выражается формулой
то для изменения периода в 2 раза длину надо изменить в 4 раза.
По формуле периода колебаний
— период уменьшится, а частота
— увеличится, так как масса колеблющегося груза уменьшится.
В горизонтальном положении. При максимальном сжатии пружины пружиный маятник обладает максимальной потенциальной энергией упруго деформированного тела. При уменьшении деформации потенциальная энергия уменьшается, кинетическая увеличивается и в момент прохождения телом положения равновесия потенциальная энергия равна нулю; тело имеет максимальную кинетическую энергию. Маятник продолжает двигаться по инерции, деформация пружины увеличивается, потенциальная энергия увеличивается, а кинетическая энергия уменьшается и при максимальной деформации маятник обладает максимальной потенциальной энергией. При свободных незатухающих колебаниях маятника в вертикальном направлении в точках максимальной деформации тело обладает максимальной потенциальной энергией упруго деформированного тела и максимальной потенциальной энергией силы тяжести. В остальном превращения энергией происходят так же. В процессе свободных незатухающих колебаний полная механическая энергия неизменна.
Помогает ходьбе потенциальная энергия упруго деформированной подошиы. Когда идущий наступает, подо и им сжимается и накапливает энергию, которая ютем помогает при ходьбе.
Амплитуда колебаний уменьшается, происходит затухание колебаний. Энергия колебаний уменьшается, так как часть ее затрачивается на преодоление сопротивления с окружающей средой.
Вода расплескивается, так как амплитуда колебаний воды в ведре увеличивается в результате резонанса. При изменении темпа ходьбы частота вынуждающей силы (идущего мальчика) изменяется, резонанс исчезает.
Поделитесь этой записью или добавьте в закладки |
Полезные публикации |

























Главная