ОТВЕТЫ И РЕШЕНИЯ Давление в жидкостях. Сообщающиеся сосуды
Да, одинаковое. По закону Паскаля давление на-одном уровне по всем направлениям одинаково.
Да, одинаково, согласно закону Паскаля.
Да, равновесие весов нарушится, так как поперечное сечение правого сосуда больше, то и масса воды в правом сосуде будет больше, следовательно правый сосуд перетянет. Давление же воды на дно сосудов будет одинаковое, поскольку давление в данном случае зависит от h (по условию h1 = h2).
Равновесие весов не нарушится, гак как налили одинаковое количество воды. Давление будет больше в левом сосуде, гак как при равных массах воды уровень ее будет тем выше, чем меньше площадь поперечного сечения сосуда.
Да, давление увеличится, по двум причинам: 1. Брусок давит на поверхность воды и это давление передается по всем направлениям, а также на дно сосуда. 2. Брусок частично погружается в воду, уровень воды поднимается. Высота столба жидкости больше и давление больше.
1. Больше налито воды в левый сосуд, так как его объем больше. 2. Давление на дно в этих сосудах одинаково, так как высота столбов одинакова.
Нет. Жидкость из одного сосуда в другой переливаться не будет, так как уровень жидкости одинаковый, следовательно и давление на кран тоже одинаково.
Давление воды на дно и кран больше, чем давление керосина (рb> рk), следовательно, при открытом кране вода перетечет в сосуд с керосином.
При расчете давления на дно сосуда следует учитывать уровень H1. Давление воздуха и столба воды в левом сосуде, равно давлению атмосферы и столба жидкости Н1.
Динамометры показывают силу давления жидкости на боковые стенки мешочка с водой. Показания их одинаковы и равны 70 Н. Если воду в мешок доливать, показания динамометров увеличатся, а если воду выливать, то показания уменьшатся.
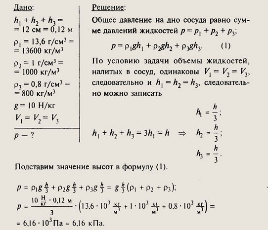
Данные задачи те же, что и в №533, но р = 800 кг/м3.
Больше воды уменьшается в правый кофейник, так как кофейники — сообщающиеся сосуды. У в правого кофейника носик поднят выше, следовательно уровень жидкости в нем выше.
а) Уровень воды в обоих
коленах сообщающихся сосудов поднимается, так как в них однородная жидкость
устанавливается на одном уровне, Нет. В состоянии невесомости вес тела, равен 0, следовательно жидкость не будет оказывать давление. Приставить сообщающиеся сосуды, уровень жидкости в них одинаковый, линия филенки должна совпадать с уровнем жидкостей в сосудах. Это сообщающиеся-сосуды. Вода в правой трубке стремится к уровню воды в левой трубке.
Поделитесь этой записью или добавьте в закладки |
Полезные публикации |




























Главная