ОТВЕТЫ И РЕШЕНИЯ Сложение и разложение сил
Система находится в равновесии, следовательно показания каждого динамометра 3 Н. На рис. видно 3 деления, следовательно цена деления динамометра 1 Н/дел. Силы натяжения нитей в точках А и В по 3 Н (если пренебрегаем весом динамометров).
Так как весы находятся в равновесии, то масса груза равна массе гири, т. е. 4 кг.
Рис. 86. R = F1 + F2 = 25 Н + 50 Н = 75 Н (обе силы направлены в одну сторону: вниз). Рис. 87. R = F2 - F1 = 90 Н - 30 Н = 60 Н (силы направлены в противоположные стороны).
Тело перемещается в сторону действия большей силы FQ, ее приводит в движение сила R = 1 Н.
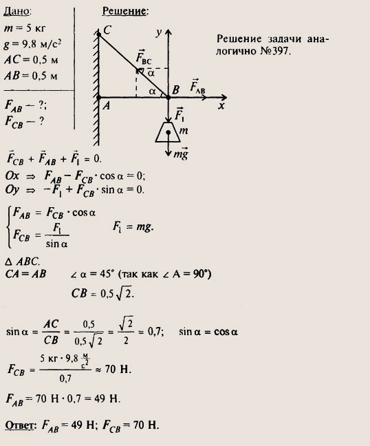
Решается аналогично задаче №388.
Решается аналогично задаче №390.
2. Определим силу притяжения трех шаров.
Шары равных радиусов, объемов, масс, следовательно силы притяжения между шарами равны. Результирующая сила притяжения шаров 1—2 и 1—3 равна
Такие же силы притяжения между другими шарами.
Поделитесь этой записью или добавьте в закладки |
Полезные публикации |






























Главная