ОТВЕТЫ И РЕШЕНИЯ Явление тяготения. Сила тяжести
Да, сила тяготения существует между всеми телами во вселенной.
Вследствие текучести жидкость (под действием силы тяжести) переливается из сосуда в сосуд.
Да, как любые тела во вселенной, но сила тяготения между шарами очень мала.
Сила тяготения между шарами не изменяется, но изменяется полная сила, действующая на каждый шар.
Капли дождя над Невой и Днепром падают вертикально вниз, в направлении к центру Земли.
Угол между направлениями сил тяготения, действующими на самолет, находящийся над Северным полюсом, и на самолет, находящейся над Санкт-Петербургом, составляет 30°.
Наибольшая сила тяготения между вторым и третьим шарами, так как их массы максимальны.
Отклонение отвеса, от вертикали можно объяснить гравитационным притяжением отвеса к скале.
Капли дождя падают вниз; мяч, скатившийся со стола падает вниз; парашютист, падая, движется к Земле.
Между парашютистами сила тяготения уменьшается обратно пропорционально квадрату расстояния между ними. Между парашютистом и его раскрытым парашютом сила тяготения не изменяется.
Потому, что ускорение свободного падения g= F/m (1), но F тяготения ~ m. То есть, если в уравнение (1) подставить значение силы тяготения, то на массу тела можно будет сократить и результирующее ускорение не зависит от массы тела, а зависит лишь от массы планеты и расстояния от нее.
Так как сила тяготения между телами обратно пропорциональна квадрату расстояния между ними, т. е. если расстояние между ними уменьшить в 3 раза, то сила тяготения увеличится в 9 раз.
так как расстояние между центрами Земли и Луны бесконечно мало по сравнению с расстояниеми между землей и Солнцем, то вместо расстояния между Луной и Солнцем можно взять расстояние между Землей и Солнцем
Сила притяжения Луны к Солнцу в 2 раза больше силы притяжения Луны к Земле.
Решаются аналогично №300.
Точки полюса неподвижны и их центростремительное ускорение = 0.
Сила тяжести действующая на тела одинакова, у них отличается только вес.
а) Сила тяжести действует
и на космонавта и на космический корабль.
Сила тяжести, действующая на брусок из алюминия, в 3 раза больше, чем на такой же по объему брусок из парафина.
Решаются аналогично №309.
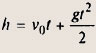
2. v = 3 м/с. Вертолет движется вниз со скоростью 3 м/с. следовательно начальная скорость предмета равна v0 = 3 м/с и время рассчитывается из уравнения
Поставим в уравнения значения h, g, v0
3. v = 3 м/с. Вертолет движется вверх со скоростью 3 м/с, следовательно начальная скорость движения предмета равна 3 м/с, н.о направлена она против движения. Получаем
Поделитесь этой записью или добавьте в закладки |
Полезные публикации |

















Главная