ОТВЕТЫ И РЕШЕНИЯ Равномерное и неравномерное прямолинейное движение
Книга находится: а) в покое так как книга
относительно стола не перемещается;
Прямая линия.
Обе стрелки движутся по окружности. Минутная стрелка движется быстрее и окружность, которую она описывает, большего радиуса.
Окружность.
Прямолинейные траектории: рама, руль, сиденье, криволинейные — точки обода колеса, цепь.
Скорости станции и кораблей одинаковы, так как они не перемещались относительно друг друга, то их скорости относительно друг друга равны 0.
В полдень, когда направление движения поверхности Земли совпадает с направлением движения Земли вокруг Солнца.
Так как движутся самолеты с одинаковой скоростью, то их скорости относительно друг друга равны 0.
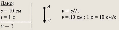
Вверх с такой же по модулю скоростью, т. е. со скоростью 5 см/с.
Одинаковые.
Одинаковые.
Проекции векторов перемещения на оси координат:
Сделаем пояснительный рисунок. Определим расстояния между этажами
Наибольшей является скорость на участке СД наименьшей на участке ВС. так как расстояние CD наибольшее, а ВС наименьшее, а скорость — отношение расстояния проходимого телом за промежуток времени к этому промежутку.
Средняя скорость больше на участке вг, так как при одинаковом времени, расстояние Sвг > Sаб, a v = s/t. Следовательно
Нет такое движение назвать равномерным нельзя, так как движущая льдина могла перемещаться не все время, а например несколько часов, а все остальное время не двигалась.
v = 36 км//ч = 36 • (1000 м/3600 с) = 10 м/с.
v| = 7,9 км/с = 7,9 • (1000 м/с) = 7900 м/с. v|| = 11,2 км/с = 11,2 • (1000 м/с) = 11200 м/с. v||| = 16,7 км/с = 16,7 • (1000 м/с) = 16700 м/с.
Второе тело находится в движении на 0,5 ч меньше первого, поэтому (t1 — 0,5) ч — это его время движения. Так как в месте встречи тела имеют одинаковые координаты и время встречи одинаковое, то, приравняв уравнения (1) и (2), найдем время движения автобусов до встречи и, подставив его в уравнение (1), найдем расстояние места встречи от точки А. v1 • v2 = 120- v2(t1 - 0,5); 40t1 = 120-60 (t1 -0,5); 40t1 = 120 - 60t + 30; 100t1 = 150; t1 = 1,5(4); х1 = 40 - 1,5 = 60 (км). Автобусы встретятся 4ерез 1,5 ч после выхода первого автобуса в 60 км от точки А.
Равномерно движется только первое тело, так как график — прямая линия, а особенностью равномерного движения является то, что график, выражающий это движение, имеет вид прямой линии, так как зависимость между величинами скорости и пути прямо пропорциональна. Тела 2 и 3 тоже могут двигаться не тольо прямолинейно, но при этом ускоренно или замедленно.
По графику выписываем данные и решаем задачу.
1. Скорости движения тел по графикам можно определить по формуле
— начальная координата тела, х — координата тела через время t. Для тела 1: v1 = (1 - 1): 4 = 0, т. е. скорость тела равна 0. Для тела 2: v2 - (3 м - 0 м): 5 с = 0,6 м/с. Для тела 3: v3 = (6 м - 4 м) : 5 с = 0,4 м/с. Для тела 4: v4 = (8 м - 6 м) : 5 с = 0,4 м/с. Для тела 5: v5 = (8 м - 10 м): 5 с = -0,4 м/с, т. е. тело движется навстречу телам 1, 2, 3 и 4. 2. Точки пересечения графиков говорят, что тела либо встречается при движении либо одно тело догоняет другое. По данному рисунку видно, что 2-е тело догнало 1-е тело приблизительно через 1,5с после начала своего движения. 5-е тело встречалось с 4-м телом через 5 с после начала движения. 3.
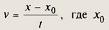
I. Уравнение зависимости координаты от времени имеет вид х = x0 + vx t (1). здесь x0 — начальная координата, т. е. положение тела в момент времени
— скорость тела. На рисунке в учебнике графики движения 3-х тел. Для каждого из них надо определить x0 и vx и подставить их в формулу (1).
II. а) Для нахождения координат тел по графикам надо из точки t = 5 с восстановить перпендикуляр до пересечения с графиком и провести прямую перпендикулярную оси х. Итак, по графику через 5 секунд х1 = 5 м; х2 = 0 (м); x3 = -7,5 (м). б) Чтобы найти координату тела через некоторое время по уравнению координаты надо в уравнение координаты поставить соответствующее время: х1 =5 (м); x2 = 5 - 1 • 5 = 0 (м); х3 = -10 + 0,5 • 5 = -7,5 (м). III. Время и место встречи определяем по точке пересечения графиков. Перпендикуляры, опущенные из точки пересечения графиков на оси времени и координаты дают нам время и место встречи (tA; ХA ): tA = 10 с; xA = -5 м. Второе и третье тела встретились через 10с после начала движения в точке с координатой -5 м.
График скорости равномерного прямолинейного движения — прямая, параллельная оси времени, гак как скорость со временем не изменяется ни по величине ни по направлению. Итак, графиком равномерного прямолинейного движения является график 4. Точка пересечения графиков 3 и 5 указывает, что примерно через 1,2 с после начала движения 3-го и 5-го тел скорости этих тел стали одинаковыми, но утверждать, что координаты тел стали одинаковыми, нельзя.
I. Начальные скорости движения - точки пересечения графиков функций с осью v. Так v01 = 0 (м/с); v02 = 14 (м/с); v04 = 9 (м/с); v04 = 8 (м/с). II. Приращение скорости за 1 с обозначим ▲v/▲t, здесь ▲v -изменение скорости за время ▲t.
скорость со временем не изменяется. III. Для определения средней скорости за 6 с надо путь, пройденный телом за 6 с, разделить на время 6 с. Путь можно найти как площадь фигуры, описанной графиком за 6 с.
Зависимость скорости от времени имеет вид v = v0 + at, где v0 - начальная скорость движения тела, а — ускорение движения. Рассмотрим каждый график в отдельности.
Рис к №160. Поделитесь этой записью или добавьте в закладки |
Полезные публикации |
















































Главная