ПАРАЛЛЕЛЬНОЕ СОЕДИНЕНИЕ ПРОВОДНИКОВ
Задание 1362. Начертите схемы установок, показанных на рисунке 332.
Рис. 332
Задание 1363. Начертите схемы установок, показанных на рисунке 333.
Рис. 333
Задание 1364. Начертите схему установки, состоящей из аккумулятора и двух звонков, у каждого из них своя кнопка.
Задание 1365. Начертите схему следующей установки: три последовательно соединенных элемента питают током две параллельно соединенные электрические лампы; у каждой лампы свой выключатель.
Задание 1366. Начертите схему цепи, состоящей из четырех последовательно соединенных элементов и параллельно подключенных к ним трех ламп, каждая со своим выключателем.
Задание 1367. На панели укреплены три патрона с электрическими лампами. Начертите схему соединения клемм ламп между собой и полюсами источника тока так, чтобы лампы были соединены параллельно; последовательно; две параллельно, а третья последовательно с ними.
Задание 1368. В цепи батареи параллельно включены три электрические лампы. Нарисуйте схему включения двух выключателей так, чтобы один управлял двумя лампами одновременно, а другой — одной третьей лампой.
Задание 1369. На рисунке 334 показана проводка к двум электрическим лампам. Правильно ли включены лампы, если обе они рассчитаны на напряжение 127 В и напряжение в сети равно 127 В?
Рис. 334
Задание 1370. Начертите схему электрической цепи, состоящей из источника тока, электрической лампы, звонка и трех рубильников, причем если включить один рубильник, то горит лампа, если второй — работает звонок, третий — одновременно загорается лампа и работает звонок. (В последнем случае лампа горит неполным накалом.)
Задание 1371. На рисунке 335 показаны батарея A, два звонка В и С и два выключателя в и с. Начертите, как должны быть соединены они проводами, чтобы выключатель в управлял звонком В, а выключатель с — звонком С.
Рис. 335
Задание 1372. Будут ли изменяться показания вольтметра V (рис. 336), если перемещать ползунок реостата влево или вправо? Будут ли при этом изменяться показания амперметра? Если будут, то как? Рис. 336
Задание 1373. Как изменятся показания измерительных приборов в цепи, схема которой изображена на рисунке 337, если параллельно резистору R3 включить резистор R4, сопротивление которого больше (или меньше), чем сопротивление резистора А?? Рис. 337
Задание 1374. При замкнутой цепи вольтметр V2 (рис. 338) показывает 220 В. Каким станет показание этого вольтметра, если в точке О произойдет разрыв цепи? Каким было показание вольтметра V1 до обрыва цепи? Каким станет показание вольтметра V1 после обрыва цепи?
Рис. 338
Задание 1375. При напряжении U и разомкнутом выключателе (рис. 339) амперметр показывает силу тока I. Каково будет показание амперметра, если: а) замкнуть цепь (напряжение
поддерживается постоянным);
Рис. 339
Задание 1376. Начертите схему цепи, состоящую из источника тока, трех ламп, включенных параллельно, амперметров, измеряющих силу тока в каждой лампе и во всей цепи, и выключателя, общего для всей цепи.
Задание 1377. Лампы и амперметр включены так, как показано на рисунке 340. Во сколько раз отличаются показания амперметра при разомкнутом и замкнутом ключе? Сопротивления ламп одинаковы. Напряжение поддерживается постоянным.
Рис. 340
Задание 1378. Амперметр, включенный в цепь, состоящую из источника тока и электрической лампы а, показывает некоторую силу тока. Как изменится показание амперметра, если в эту цепь включить еще одну лампу б (рис. 341)?
Рис. 341
Задание 1379. Кусок проволоки сопротивлением 10 Ом разрезали пополам и полученные половины соединили параллельно. Каково сопротивление соединенной проволоки?
Задание 1380. Кусок проволоки сопротивлением 80 Ом разрезали на четыре равные части и полученные части соединили параллельно. Каково сопротивление соединенной проволоки?
Задание 1381. Медный проводник сопротивлением 10 Ом разрезали на 5 одинаковых частей и эти части соединили параллельно. Определите сопротивление этого соединения.
Задание 1382. К проводнику, сопротивление которого 1 кОм, параллельно подключили проводник сопротивлением 1 Ом. Докажите, что общее их сопротивление будет меньше 1 Ом.
Задание 1383. Напряжение в сети 120 В. Сопротивление каждой из двух электрических ламп, включенных в эту сеть, равно 240 Ом. Определите силу тока в каждой лампе при последовательном и параллельном их включении.
Задание 1384. В цепь включены параллельно два проводника. Сопротивление одного равно 150 Ом, другого — 30 Ом. В каком проводнике сила тока больше; во сколько раз?
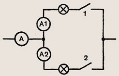
Задание 1385. В цепь (рис. 342) включены две одинаковые лампы. При замкнутых выключателях 1 и 2 амперметр А показывает силу тока 3 А. Что покажет амперметр А2, если выключатель1 разомкнуть? (В цепи постоянное напряжение.)
Рис. 342
Задание 1386. Две электрические лампы включены параллельно под напряжение 220 В. Определите силу тока в каждой лампе и в подводящей цепи, если сопротивление одной лампы 1000 Ом, а другой 488 Ом.
Задание 1387. Амперметр А (рис. 343) показывает силу тока 1,6 А при напряжении 120 В. Сопротивление резистора R1 = 100 Ом Определите сопротивление резистора R2 и показания амперметров А1 и А2.
Рис.343
Задание 1388. В цепь (рис. 344) включены две одинаковые лампы При положении ползунка реостата в точке В амперметр А1 показывает силу тока 0,4 А. Что показывают амперметры А та А2? Изменятся ли показания амперметров при передвижении ползунка к точке А?
Рис.344
Задание 1389. Общее сопротивление четырех одинаковых ламп, включенных так, как показано на рисунке 345, равно 75 Ом Чему равно сопротивление одной лампы?
Рис. 345
Задание 1390. На рисунке 336 изображена схема смешанного соединения проводников. Приняв сопротивление левого резистора 30 Ом при параллельном включении, а правого 60 Ом и сопротивление на реостате 40 Ом, требуется определить об щее сопротивление этого участка цепи. Поделитесь этой записью или добавьте в закладки |
Полезные публикации |














Главная