ОТВЕТЫ И РЕШЕНИЯ Работа и мощность тока
Если количество ламп уменьшить, то мощность, приходящаяся на каждую лампу, увеличится и лампы могут перегореть. Если же количество ламп увеличить, то мощность, приходящаяся на каждую лампу, уменьшится и лампы будут гореть тусклее.
У первого больше.
Если работать на станке с неправильно заточенным или затупленным инструментом, то увеличится сопротивление резанию и это вызовет повышенный расход электроэнергии.
и мощности
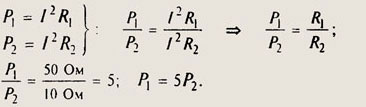
Мощность, потребляемая R1, в 5 раз больше.
Сила тока в лампе мощностью 100 Вт в 4 раза больше.
Сравним силу тока, протекающего через лампы
То есть сила тока, протекающего через лампу 1 в 2 раза больше силы тока, протекающего через лампы 2 и 3. Накал лампы 1 будет больше.
Аналогично предыдущей задаче:
Итак, сила тока, протекающего через лампу 1, в 2 раза больше, а следовательно, и потребляемая мощность будет тоже больше (в 4 раза), чем в лампах 2 и 3.
P2 = I2U2 P = I U Р2 = 2А - 12В = 24 Вт P = 4,5 А - 120 В = 540 Вт.
Сопротивление первой лампы в 8 раз больше.
Поделитесь этой записью или добавьте в закладки |
Полезные публикации |











































Главная