ОТВЕТЫ И РЕШЕНИЯ Звуковые волны
Изменяя натяжение струны, мы изменяем силу натяжения, и следовательно частоту колебания струны, которая характеризует высоту тона.
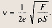
Частота основного тона струны определяется формулой
где l — длина струны, S — площадь поперечного сечения струны. Из формулы видно, что при увеличении площади поперечного сечения струны (а именно это мы делаем обматывая ее спиралью) частота звука, издаваемого струной, становится меньше, звук — ниже.
Капля при падении о крышу вызывает ее колебание, амплитуда, характеризующая громкость звука, зависит от массы капли, т. е. чем крупнее капля, больше ее масса, больше амплитуда колебаний крыши, тем громче звук.
Амплитуда колебания двери под ударами больше, звук громче.
Скорость реактивных самолетов больше скорости звука в воздухе, поэтому в этом случае звук намного отстает от самолета.
На открытом воздухе звуковая энергия рассеивается в пространстве, распространяясь вокруг источника звука. В закрытом помещении звуковые волны, отражаясь от стен и накладываясь с падающими, усиливают амплитуду колебаний.
Если не делать пауз и говорить быстро, то отраженные звуковые волны, накладываясь на излучаемые волны, будут образовывать шум и речь будет нечленораздельна.
Звуковые волны отражаются от стекла, при открытом же окне звуковые волны проникают внутрь помещения.
Деревянный корпус играет роль резонатора, т. е. усиливает звук струн.
Хрустальные подвески люстры имеют собственную частоту колебаний и при совпадении частоты поющего голоса с собственной частотой колебания наступает резонанс. Подвески начинают раскачиваться и, ударяясь друг об друга, звенят.
Инфразвук, слышимый звук, ультразвук.
Поделитесь этой записью или добавьте в закладки |
Полезные публикации |







Главная