Оглавление 1. Дисперсные системы. Истинные растворы 2. Растворимость твёрдых веществ и жидкостей в жидкостях. Влияние природы веществ и температуры на растворимость 3. Способы выражения концентрации растворов: массовая – С%, молярная – С м и нормальная (эквивалентная) – С н 4. Растворы электролитов. Электролитическая диссоциация кислот, оснований, солей. Ступенчатая диссоциация 5. Классификация электролитов. Степень диссоциации. Сильные и слабые электролиты 6. Реакции обмена в растворах электролитов и условия их протекания. Ионные уравнения 7. Ионное произведение воды. Водородный показатель рН растворов. Индикаторы Литература
1. Дисперсные системы. Истинные растворы: Кристаллы любого вещества, например сахара или хлорида натрия, можно получить разного размера – крупные и мелкие. Каков бы ни был размер кристаллов, все они имеют одинаковую для данного вещества внутреннюю структуру – молекулярную или ионную кристаллическую решетку. При растворении в воде кристаллов сахара и хлорида натрия образуются соответственно молекулярные и ионные растворы. Таким образом, одно и то же вещество может находиться в различной степени раздробленности: макроскопически видимые частицы (>0,2 мм, разрешающая способность глаза), микроскопически видимые частицы (от 0,2-0,1мм до 400-300нм, разрешающая способность микроскопа при освещении белым светом) и в молекулярном (или ионном) состоянии. Если толщина плёнок, поперечник волокон или частиц (корпускул) меньше разрешающей способности оптического микроскопа то они не могут быть обнаружены с его помощью. Такие невидимые в оптический микроскоп частицы называют коллоидными , а раздробленное (диспергированное) состояние веществ с размером частиц от 400-300нм до 1нм – коллоидным состоянием вещества. Дисперсные (раздробленные) системы являются гетерогенными. Они состоят из сплошной непрерывной фазы – дисперсионной среды и находящихся в этой среде раздробленных частиц того или иного размера и формы – дисперсной фазы. Поскольку дисперсная (прерывная) фаза находится в виде отдельных небольших частиц, то дисперсные системы, в отличие от гетерогенных со сплошными фазами, называют микрогетерогенными, а коллоиднодисперсные системы называют также ультрамикрогетерогенными, чтобы подчеркнуть, что в этих системах граница раздела фаз не может быть обнаружена в световом микроскопе. Когда вещество находится в окружающей среде в виде молекул или ионов, то такие растворы называют истинными, т.е. гомогенными однофазными растворами. Обязательным условием получения дисперсных систем является взаимная нерастворимость диспергируемого вещества и дисперсионной среды. Например, нельзя получить коллоидные растворы сахара или хлорида натрия в воде, но они могут быть получены в керосине или в бензоле, в которых эти вещества практически нерастворимы. Дисперсные системы классифицируют по дисперсности, агрегатному состоянию дисперсной фазы и дисперсионной среды, интенсивности взаимодействия между ними, отсутствию или образованию структур в дисперсных системах.
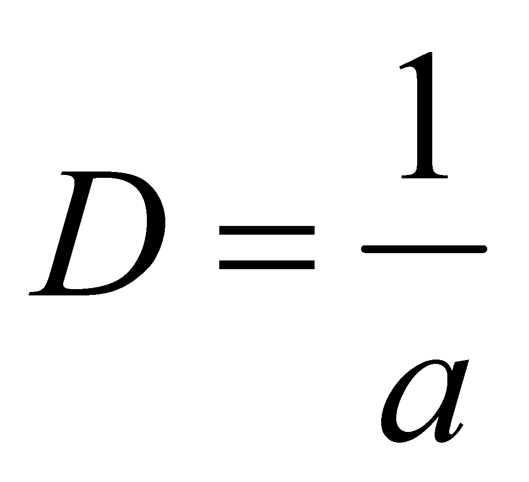
Здесь а равно либо диаметру сферических или волокнистых частиц, либо длине ребра кубических частиц, либо толщине плёнок. Степень дисперсности численно равна числу частиц, которые можно плотно уложить в ряд (или стопку плёнок) на протяжении одного сантиметра. Если все частицы дисперсной фазы имеют одинаковые размеры, то такие системы называют монодисперсными . Частицы дисперсной фазы неодинакового размера образуют полидисперсные системы.
где r - радиус шара; d – его диаметр; l – длина ребра куба. Следовательно, с повышением дисперсности вещества всё большее значение имеют его свойства, определяемые поверхностными явлениями, т.е. совокупностью процессов, происходящих в межфазовой поверхности. Таким образом, своеобразие дисперсных систем определяется большой удельной поверхностью дисперсной фазы и физико-химическим воздействием дисперсной среды на границе раздела фаз. Многообразие дисперсных систем обусловлено тем, что образующие их фазы могут находиться в любом из трёх агрегатных состояний (Ж, Г, Т). Дисперсные системы с газообразной дисперсной средой называют аэрозолями. Туманы представляют собой аэрозоли с жидкой дисперсной фазой, а пыль и дым – аэрозоли с твёрдой дисперсной фазой; пыль образуется при диспергировании веществ, а дым – при конденсации летучих веществ. Пены – это дисперсия газа в жидкости, причем в пенах жидкость вырождается до тонких плёнок, разделяющих, разделяющих отдельные пузырьки газа. Эмульсиями называют дисперсные системы, в которых одна жидкость раздроблена в другой, не растворяющей её жидкость. Низкодисперсные системы твёрдых частиц в жидкостях, называют суспензиями, или взвесями , а предельно-высокодисперсные – коллоидными растворами, или золями, часто лизолями, чтобы подчеркнуть, что дисперсной средой является жидкость. Если дисперсной средой является вода, то такие золи называют гидрозолями, а если органическая жидкость – органозолями. Дисперсные системы могут быть свободнодисперсными и связнодисперсными в зависимости от отсутствия или наличия взаимодействия между частицами дисперсной фазы. К свободнодисперсным системам относятся аэрозоли, лиозоли, разбавленные суспензии и эмульсии. Они текучи. В этих системах частицы дисперсной фазы не имеют контактов, участвуют в беспорядочном тепловом движении, свободно перемещаются под действием силы тяжести. Связнодисперсные системы – твердообразны, они возникают при контакте частиц дисперсной фазы, приводящим к образованию структуры в виде каркаса или сетки. Такая структура ограничивает текучесть дисперсной системы и придаёт ей способность сохранять форму. Подобные структурированные коллоидные системы называют гелями . Переход золя в гель, происходящий в результате понижения устойчивости золя, называют гелеобразованием (или желатинированием ). Сильно вытянутая и плёночно-листочковая форма дисперсных частиц повышает вероятность контакта между ними и благоприятствует образованию гелей при малой концентрации дисперсной фазы. Порошки, концентрированные эмульсии и суспензии (пасты), пены – примеры связнодисперсных систем. Почва, образовавшаяся в результате контакта и уплотнения дисперсных частиц почвенных минералов и гумусовых (органических) веществ, также представляет собой связнодисперсную систему. Сплошную массу вещества могут пронизывать поры и капилляры, образующие капиллярнодисперсные системы. К ним относятся, например, дерево, разнообразные мембраны идиафрагмы, кожа, бумага, картон, ткани. 2. Растворимость твёрдых веществ и жидкостей в жидкостях. Влияние природы веществ и температуры на растворимость. Раствором называется твёрдая или жидкая гомогенная система, состоящая из двух или более компонентов, относительные количества которых могут изменяться в широких пределах. Всякий раствор состоит из растворённых веществ и растворителя, т.е. среды, в которой эти вещества равномерно распределены в виде молекул или ионов. Обычно растворителем считают тот компонент, который в чистом виде существует в таком же агрегатном состоянии, что и полученный раствор. Если же оба компонента до растворения находились в одинаковом агрегатном состоянии, то растворителем считается компонент, находящийся в большем количестве. Однородность растворов делает их очень сходными с химическими соединениями. Выделение теплоты при растворении некоторых веществ тоже указывает на химическое взаимодействие между растворителем и растворяемым веществом. Отличие растворов от химических соединений состоит в том что, состав раствора может изменяться в широких пределах. Кроме того, в свойствах раствора можно обнаружить многие свойства его отдельных компонентов, чего не наблюдается в случае химического соединения. Непостоянство состава растворов приближает их к механическим смесям, но от последних они резко отличаются своею однородностью. Таким образом, растворы занимают промежуточное положение между механическими смесями и химическими соединениями. Растворимостью называется способность вещества растворяться в том или ином растворителе. Мерой растворимости вещества при данных условиях служит содержание его в насыщенном растворе. Поэтому численно растворимость может быть выражена теми же способами, что и состав, например, процентным отношением массы растворённого вещества к массе насыщенного раствора или количеством растворённого вещества, содержащимся в 1 л насыщенного раствора. Часто растворимость выражают также числом единиц массы безводного вещества, насыщающего при данных условиях 100 единиц массы растворителя; иногда выраженную этим способом растворимость называют коэффициентом растворимости. Растворимость различных веществ в воде изменяется в широких пределах. Если в 100 г воды растворяется более 10 г вещества, то такое вещество принято называть хорошо растворимым; если растворяется менее 1 г вещества – малорастворимым и, наконец, практически нерастворимыми, если в раствор переходит менее 0,01 г вещества. Принципы, позволяющие предсказать растворимость вещества, пока не известны. Однако обычно вещества, состоящие из полярных молекул, и вещества с ионным типом связи лучше растворяются в полярных растворителях (вода, спирты, жидкий аммиак), а неполярные вещества – неполярных растворителях (бензол, сероуглерод). Растворение большинства твёрдых тел сопровождается поглощением теплоты. Это объясняется затратой значительного количества энергии на разрушение кристаллической решётки твёрдого тела, что обычно не полностью компенсируется энергией, выделяющейся при образовании гидратов (сольватов). Прилагая принцип Ле Шателье к равновесию между веществом в кристаллическом состоянии и его насыщенным раствором
приходим к выводу, что в тех случаях, когда вещество растворяется с поглощением энергии, повышение температуры должно приводить к увеличению его растворимости. Если же, однако, энергия гидратации достаточно велика, чтобы образование раствора сопровождалось выделением энергии, растворимость с ростом температуры понижается. Это происходит, например, при растворении в воде многих солей лития, магния, алюминия. При растворении твёрдых тел в воде объём системы обычно изменяется незначительно. Поэтому растворимость веществ, находящихся в твёрдом состоянии, практически не зависит от давления. Жидкости также могут растворяться в жидкостях. Некоторые из них неограниченно растворимы одна в другой, т.е. смешиваются друг с другом в любых пропорциях, как, например, спирт и вода, другие – взаимно растворяются лишь до известного предела. Так если взболтать диэтиловый эфир с водой, то образуется два слоя: верхний представляет собой насыщенный раствор воды в эфире, а нижний – насыщенный раствор эфира в воде. В большинстве подобных случаев с повышением температуры взаимная растворимость жидкостей увеличивается до тех пор, пока не будет достигнута температура, при которой обе жидкости смешиваются любых пропорциях. Температура, при которой ограниченная взаимная растворимость жидкостей переходит в неограниченную, называется критической температурой растворения . Как и в случае растворения твёрдых тел, взаимное растворение жидкостей обычно не сопровождается значительным изменением объёма. Поэтому взаимная растворимость жидкостей мало зависит от давления и заметно возрастает лишь при очень высоких давлениях (порядка тысяч атмосфер).
Здесь С 1 и С 2 – концентрации растворённого вещества в первом и втором растворителях; К – так называемый коэффициент распределения . 3. Способы выражения концентрации растворов: массовая – С%, молярная – С м и нормальная (эквивалентная) – С н .
4. Растворы электролитов. Электролитическая диссоциация кислот, оснований, солей. Ступенчатая диссоциация. Водные растворы солей, кислот и оснований обладают особенностью – они проводят электрический ток. При этом большинство твёрдых солей и оснований в безводном состоянии, а также безводные кислоты обладают очень слабой электрической проводимостью: плохо проводит электрический ток и вода. Очевидно что при образовании растворов подобные вещества претерпевают какие-то изменения, обуславливающие возникновение высокой электрической проводимости. Эти изменения заключаются в диссоциации соответствующих веществ на ионы, которые и служат переносчиками электрического тока. Вещества проводящие электрический ток своими ионами, называются электролитами . При растворении в воде и в ряде неводных растворителей свойства электролитов проявляют соли, кислоты и основания. Электролитами являются также многие расплавленные соли, оксиды и гидроксиды, некоторые соли и оксиды в твёрдом состоянии. Кислоты. При диссоциации любой кислоты образуются ионы водорода. Поэтому все свойства, которые являются общими для водных растворов кислот, объясняются присутствием гидратированных ионов водорода. Это они вызывают красный цвет лакмуса, сообщают кислотам кислый вкус и т.д. С устранением ионов водорода, например при нейтрализации, исчезают и кислотные свойства. Поэтому теория электролитической диссоциации определяет кислоты как электролиты, диссоциирующие в растворах с образованием ионов водорода. У сильных кислот, диссоциирующих нацело, свойства кислот проявляются в большей степени, у слабых в меньшей. Чем лучше кислота диссоциирует, тем она сильнее. Основания. Поскольку общим для всех растворов оснований является присутствие в них гидроксид-ионов, то ясно, что носителем основных свойств является гидроксид-ион. Поэтому с точки зрения теории электролитической диссоциации основания – это электролиты, диссоциирующие в растворах с отщеплением гидроксид-ионов. Сила оснований, как и сила кислот, зависит от величины константы диссоциации. Чем больше константа диссоциации данного основания, тем оно сильнее. Соли. Соли можно определить как электролиты, которые при растворении в воде диссоциируют, отщепляя положительные ионы, отличные от ионов водорода, и отрицательные ионы, отличные от гидроксид-ионов. Таких ионов, которые были бы общими для водных растворов всех солей, нет; поэтому соли и не обладают общими свойствами. Как правило, соли хорошо диссоциируют, и тем лучше, чем меньше заряды ионов, образующих соль. При растворении кислых солей в растворе образуются катионы металла, сложные анионы кислотного остатка, а также ионы, являющиеся продуктами диссоциации этого сложного кислотного остатка, в том числе ионы Н + . При диссоциации основных солей образуются анионы кислоты и сложные катионы, состоящие из металла и гидроксогрупп. Эти сложные катионы также способны к диссоциации. Поэтому в растворе основной соли присутствуют ионы ОН - . К равновесию, которое устанавливается в растворе слабого электролита между молекулами и ионами, можно применить законы химического равновесия. Константа равновесия, отвечающая диссоциации слабого электролита, называется константой диссоциации. Величина К зависит от природы электролита и растворителя, а также от температуры, но не зависит от С раствора. Она характеризует способность данной кислоты или данного основания распадаться на ионы: чем выше К, тем легче электролит диссоциирует. Многоосновные кислоты, а также основания двух- и более валентных металлов диссоциируют ступенчато. В растворах этих веществ устанавливаются сложные равновесия, в которых участвуют ионы различного заряда. Первое равновесие – диссоциация по первой ступени – характеризуется константой диссоциации, обозначаемой К 1 , а второе - диссоциация по второй ступени – константой диссоциации К 2 . Величины К, К 1 и К 2 связаны друг с другом соотношением К= К 1 К 2 При ступенчатой диссоциации веществ распад по последующей ступени всегда происходит в меньшей степени, чем по предыдущей. Соблюдается неравенство: К 1 >К 2 >К 3 … Это объясняется тем, что энергия, которую нужно затратить для отрыва иона, минимальна при отрыве его от нейтральной молекулы и становится больше при диссоциации по каждой следующей ступени. 5. Классификация электролитов. Степень диссоциации. Сильные и слабые электролиты. Если бы электролиты полностью диссоциировали на ионы, то осмотическое давление (и другие пропорциональные ему величины) всегда было бы в целое число раз больше значений, наблюдаемых в растворах неэлектролитов. Но ещё Вант-Гофф установил, что коэффициент i выражается дробными числами, которые с разбавлением раствора возрастают, приближаясь к целым числам. Аррениус объяснил этот факт тем, что лишь часть электролита диссоциирует в растворе на ионы, и ввёл понятие степени диссоциации. Степенью диссоциации электролита называется отношение числа его молекул, распавшихся в данном растворе на ионы, к общему числу его молекул в растворе. Позже было установлено что электролиты можно разделить на две группы: сильные и слабые электролиты. Сильные электролиты в водных растворах диссоциированны практически нацело. Понятие степени диссоциации к ним по существу неприменимо, а отклонение изотонического коэффициента i от целочисленных значений объясняется другими причинами. Слабые электролиты в водных растворах диссоциируют только частично. Поэтому число ионов в растворах сильных электролитов больше, чем в растворах слабых той же концентрации. И если в растворах слабых электролитов С ионов мала, расстояние между ними велики и взаимодействие ионов друг с другом незначительно, то в не очень разбавленных растворах сильных электролитов среднее расстояние между ионами вследствие значительной концентрации сравнительно мало. В таких растворах ионы не вполне свободны, движение их стеснено взаимным притяжением друг к другу. Благодаря этому притяжению каждый ион как бы окружен шарообразным роем противоположно заряженных ионов, получившим название “ионной атмосферы”. К сильным электролитам принадлежат все соли; из важнейших кислот и оснований к ним относятся HNO 3 , H 2 SO 4 , HClO 4 , HCl, HBr, HI, KOH, NaOH, Ba(OH) 2 , и Ca(OH) 2 . К слабым электролитам относятся большинство органических кислот, а из важнейших неорганических соединений к ним принадлежат H 2 CO 3 , H 2 S, HCN, H 2 SiO 3 и NH 4 OH. Степень диссоциации принято обозначать греческой буквой a и выражать либо в долях единицы, либо в процентах. 6. Реакции обмена в растворах электролитов и условия их протекания. Ионные уравнения.
Таким образом, реакции нейтрализации любой сильной кислоты любым сильным основанием сводится к одному и тому же процессу – к образованию молекул воды из ионов водорода и гидроксид-ионов. Ясно, что тепловые эффекты этих реакций тоже должны быть одинаковы. Строго говоря, реакция образования воды из ионов обратима, что можно выразить уравнением:
Это и есть ионно-молекулярное уравнение рассматриваемого процесса.
Однако, вследствие малой растворимости хлорида серебра, это равновесие очень сильно смещено вправо. Поэтому можно считать, что реакция образования AgCl из ионов практически доходит до конца. Для составления ионно-молекулярных уравнений необходимо знать, какие соли растворимы в воде и какие практически нерастворимы. Ионно-молекулярные уравнения помогают понять особенности протекания реакций между электролитами. 7. Ионное произведение воды. Водородный показатель рН растворов. Индикаторы. Чистая вода очень плохо проводит электрический ток, но всё же обладает измеримой электрической проводимостью, которая объясняется небольшой диссоциацией воды на ионы водорода и гидроксид-ионы. Для воды и разбавленных водных растворов при неизменной температуре произведение концентраций ионов водорода и гидросид-ионов есть величина постоянная. Эта постоянная величина называется ионным произведением воды. Растворы, в которых концентрация ионов водорода и гидроксид-ионов одинаковы, называются нейтральными растворами. Если концентрация ионов водорода в водном растворе известна, то тем самым определена и концентрация гидроксид-ионов. Поэтому как степень кислотности, так и степень щёлочности раствора можно количественно охарактеризовать концентрацией ионов водорода. Кислотность и щелочность раствора можно выразить другим, более удобным способом: вместо концентрации ионов водорода указывают её десятичный логарифм, взятый с обратным знаком. Эта величина называется водородным показателем и обозначается через рН : рН=-lg [H + ] Для измерения рН существуют различные методы. Приближённо реакцию раствора можно определить с помощью специальных реактивов, называемых индикаторами , окраска которых меняется в зависимости от концентрации ионов водорода. Наиболее распространённый индикатор – метиловый оранжевый, метиловый красный, фенолфтолеин.
1. Глинка Н.Л. Общая химия: - Л.: Химия 1985.-704с. Под ред. В.А. Рабиновича. 2. Фролов В.В. Химия: - М.: Высш. Шк., 1986.- 543с. Поделитесь этой записью или добавьте в закладки |
Полезные публикации |
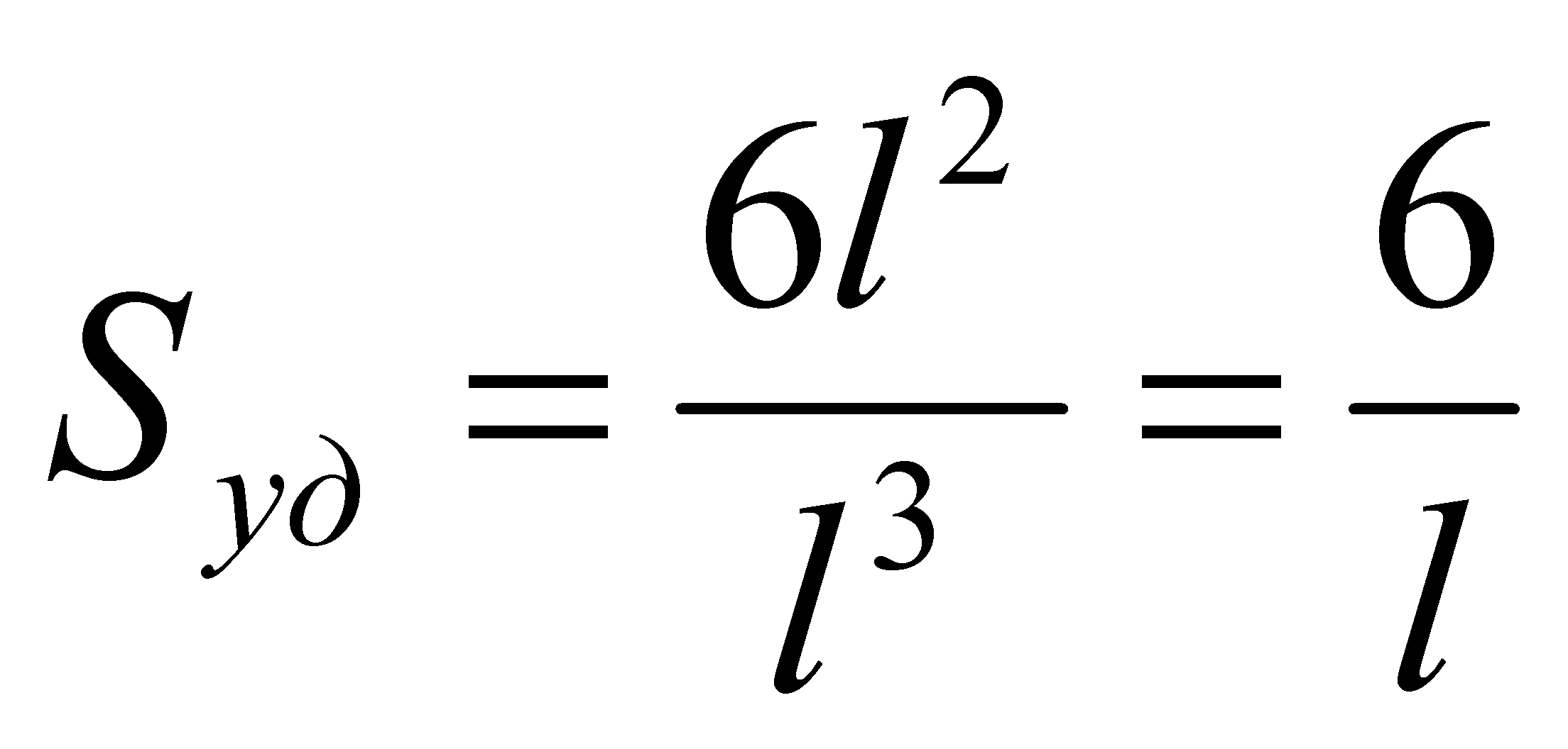
С повышением дисперсности всё большее число атомов вещества находится в поверхностном слое, на границе раздела фаз, по сравнению с их числом внутри объёма частиц дисперсной фазы. Соотношение между поверхностью и объёмом характеризует удельная поверхность:
S
уд
=S/V
, которая для частиц сферической формы равна
а для частиц кубической формы
Если в систему, состоящую из двух несмешивающихся жидкостей, ввести третье вещество, способное растворяться в каждой из этих жидкостей, то растворённое вещество будет распределяться между обеими жидкостями пропорционально своей растворимости в каждой из них. Отсюда вытекает
закон распределения
, согласно которому
вещество, способное растворяться в двух несмешивающихся растворителях, распределяется между ними так, что отношение его концентраций в этих растворителях при постоянной температуре остаётся постоянным, независимо от общего количества растворённого вещества:
Главная