Расчет распределения примесей в кремнии при кристаллизационной очистке и диффузионном легировании
Введение. Каждое вещество может находится в состоянии которое характеризуется содержанием примеси в нем ниже некоторого определенного предела. Предел определяется различными условиями связанными со свойствами, областью применения веществ. Для полупроводниковых материалов достижения собственных свойств или близких к ним является тем необходимым пределом до которого материалы должны очищаться. При обосновании необходимой очистки нужно руководствоваться и экономической целесообразности очистки. Для очистки полупроводниковых материалов в технологии микроэлектронных устройств используется метод зонной плавки (перекристаллизация). В некоторых случаях в технологии полупроводниковых материалов выращивают монокристаллы методом зонной плавки. Достоинством метода является совмещение процесса глубокой очистки полупроводника с последующим выращиванием его монокристалла. В технологии разлагающихся полупроводниковых соединений применение этого метода позволяет совмещать в одном технологическом цикле сразу три операции: синтез, очистку синтезированного соединения и выращивание его монокристалла. Для введения в полупроводник примеси используется процесс диффузии. Для изготовления p-n переходов используется химическая диффузия примесных (растворимых) атомов, которые вводятся в кристаллическую решетку для изменения ее электрофизических свойств. Кроме того диффузия используется для перераспределения примеси в полупроводнике. 1.Расчетная часть. 1.1 Описание процесса зонной плавки и ее математическая модель. Очистку полупроводниковых материалов методом зонной плавки предложил в 1952 году Пфанн. В связи с различной растворимостью примесей в твердой и жидкой фазах зонная плавка является одним из наиболее эффективных и производительных методов глубокой очистки монокристаллов. При его реализации перед началом кристаллизации расплавляется не вся твердая фаза кристалла, а только узкая расплавленная зона, которую перемещают вдоль слитка. Большинство примесей обладает хорошей растворимостью в жидкой фазе по сравнению с твердой (равновесный коэффициент сегрегации k 0< 1), поэтому по мере продвижения зона плавления все больше насыщается примесями, которые скапливаются на конце слитка. Обычно процесс зонной плавки повторяют несколько раз, по окончании очистки загрязненный конец слитка отрезают. Для ускорения процесса очистки вдоль контейнера ставят несколько индукторов для образования ряда зон плавления. Для материалов с k 0> 1 очистка материалов зонной плавкой практически невозможна. Распределение примесей после одного прохода расплавленной зоной при зонной плавке вдоль слитка представляется уравнением
где N тв – концентрация примеси в закристаллизовавшейся фазе на расстоянии x от начала слитка; N о – исходная концентрация примеси в очищаемом материале; x – текущая координата (расстояние от начала слитка); l – длина расплавленной зоны; k o – равновесный коэффициент распределения. Если измерять длину слитка в длинах расплавленной зоны a = x/l , выражение (1) следует записать иначе:
Приведенные уравнения (1) и (2) , являющиеся математическим описанием процесса зонной плавки, выведены при определенных допущениях, сформулированных автором метода зонной очистки В. Пфанном при выводе этих уравнений. Эти допущения в литературе принято называть пфанновскими, их суть в следующем: 1 Процессами диффузионного перераспределения компонентов системы в объеме слитка можно пренебречь, т.е. коэффициенты диффузии компонентов в твердой фазе принимаются равными нулю ( D тв = 0 ). 2 Диффузия компонентов системы в жидкой фазе совершенна - концентрация компонентов постоянна по объему расплава в любой момент процесса; 3 Коэффициент распределения примеси – величина постоянная и не зависит от концентрации примеси в кристаллизующемся веществе (кривые солидус и ликвидус диаграммы состояния прямолинейны); 4 Начальная концентрация компонентов в исходном материале (слитке) одинакова по всем сечениям; 5 Геометрия подвергаемого зонной плавке слитка (длина и поперечное сечение) в ходе процесса остаются постоянными, плотности твердой и жидкой фаз равны (r тв =r ж =r). 6 Расплав и твердая фаза при зонной плавке не взаимодействуют с окружающей средой - атмосферой и контейнером. Другими словами, в системе нет летучих и диссоциирующих компонентов, отсутствует поглощение примесей расплавом из атмосферы, материал контейнера не растворяется в жидкой фазе. Уравнения (1) и (2) справедливы только на участках слитка, на которых зона имеет две границы раздела фаз (постоянный объем). Когда в системе остается только кристаллизующаяся граница, распределение примеси представляется другим уравнением, соответствующим процессу нормальной направленной кристаллизации. Другими словами, если длина очищаемого слитка в длинах зон равна A= L/l , то уравнения (1) и (2) справедливы на длине a = (L - l)/l = A-1. При a > A-1
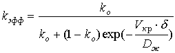
где g - доля закристаллизовавшегося расплава последнего участка. Только при проведении процесса при условиях, когда удовлетворяются все требования, приведенные выше, реальное распределение примеси в слитке после зонной плавки будет соответствовать закону, представленному выражениями (1) и (2). Анализ показывает, что в большинстве реально протекаемых процессов зонной очистки полупроводниковых материалов пфанновские допущения не реализуются. Вместе с тем, вывод уравнений (1) и(2) без них был бы невозможен, а менее жесткие допущения приводят к существенному усложнению получаемых выражений. Наиболее жесткими являются условия 2 и 3. Допущение 2 в данной формулировке может выполняться только при бесконечно малых скоростях кристаллизации (скорости движения зоны). В этом случае сравнительно быстрая (по сравнению с диффузией в твердой фазе) диффузия в жидкой фазе в состоянии постоянно выравнивать концентрации компонентов системы в объеме расплавленной зоны. Использовании выражений (1) и (2) для представления распределения примеси при реальных скоростях кристаллизации приводит к необходимости изменить формулировку допущения 2. Выполнение условия постоянства концентрации компонентов по объему расплава возможно в данной ситуации только при реализации полного ( идеального) перемешивания жидкой фазы . Предполагается, что в этом случае перераспределение компонентов и выравнивание состава в жидкой фазе происходит мгновенно - т. е. эффективный коэффициент диффузии в жидкой фазе D ж = Ґ . Условие полного перемешивания на практике реализовать невозможно. Процессы массопереноса в расплавленной зоне при реальных скоростях кристаллизации и разумной интенсивности перемешивании всегда приводят к образованию диффузионного слоя на границе раздела фаз в области кристаллизации. Наличие слоя жидкости с концентрационным пиком, из которого и происходит кристаллизация, влияние его на условия разделения компонентов учитывается введением в выражения (1) и (2) эффективного коэффициента распределения k эфф вместо равновесного k o . Равновесный коэффициент сегрегации связан с эффективным соотношением Бартона-Прима-Слихтера:
где V кр - скорость перемещения расплавленной зоны (скорость кристаллизации); d - толщина диффузионного слоя; D ж - коэффициент диффузии примеси в жидкой фазе. Эта замена является лишь более или менее удачным приближением к реальной ситуации, и не соответствует требованию условия постоянства концентрации. Распределение примеси после зонной плавки для реальных процессов описывается выражением
Данное выражение позволяет анализировать влияние на сегрегационные процессы скорости перемещения зоны и условий перемешивания жидкой фазы. Условие 3 справедливо только для сильно разбавленных растворов, т.е. при малых концентрациях примеси в системе. Кроме того, условие малости концентрации должно соблюдаться на протяжении всего процесса зонной плавки. Для того, чтобы допущение 3 оказалось состоятельным, требуется использовать при кристаллизационной очистке исходные материалы прошедшие предварительную очистку. 1.2 Расчет распределения примеси вдоль слитка кремния после зонной плавки (один проход расплавленной зоной) 1.2.1 Расчет распределения Si-Ga. Рассчитаем распределение галия в слитке кремния для трех скоростей перемещения зоны V кр =1,5 ; 5 и 15 мм/мин. N 0 =0.02% (массовых). Длина зоны l составляет 10% от длины слитка L. Испарением примеси при переплавке пренебречь. Распределение сурьмы вдоль слитка определяется уравнением (5) на длине слитка a = (L - l)/l = A-1, т.е. при 0 Ј a Ј 9. При a >9 распределение примеси представляется уравнением (3). Доля закристаллизовавшегося расплава g на этом участке изменяется от нуля до величины, близкой к единице. Для g = 1 уравнение (3) не имеет смысла. Прежде чем приступить к расчету переведем N 0 из % (массовых) в % (атомные), а затем в см 3 . Для этого воспользуемся формулой перевода. (6) где А 1 , А 2 –атомные массы компонентов; N 2 –второй компонент смеси. Атомная масса–для галлия = 69,72 [3] –для кремния = 28,08 [3] Концентрация собственных атомов в кристаллической решетке кремния N соб =5Ч 10 22 см -3 . Следовательно, исходная концентрация галлия в слитке: N 0 =8,06Ч 10 -5Ч 5Ч 10 22 =4,03Ч 10 18 см -3 Для расчета эффективного коэффициента сегрегации воспользуемся выражением (4). Для галлия в кремнии k 0 =8Ч 10 -3 [1]. Отношение d /D ж =200 с/см из задания. Подставляя значения k 0 , d /D ж , V кр в (4), вычислим k эфф . Для этого V кр переведем из мм/мин в см/с, получим V кр =2,5Ч 10 -3 ; 8,33Ч 10 -3 ; 2,5Ч 10 -2 см/с. Соответственно получим k эфф =1,3Ч 10 -2 ; 4,09Ч 10 -2 ; 0,545 Заполняем расчетную таблицу, меняя с выбранным шагом расстояние от начала слитка в длинах зоны a (на участке зонной плавки). Последний участок слитка, на котором примесь распределяется в соответствии с уравнением (3), разбиваем, меняя расстояние от начала этого участка, пропорционально доле закристаллизовавшегося расплава g. Полученные результаты используются для построения графика распределения примеси N тв вдоль слитка. При построении профиля, как правило, используют полулогарифмический масштаб, т.к. значения концентрации изменяются практически на три порядка. Определить распределение удельного сопротивления вдоль слитка можно либо расчетным методом, либо по кривым Ирвина.
1.2.2 Расчет распределения Si-P. Расчет распределения фосфора в кремнии будем производить аналогично расчету галлия в слитке кремния (пункт 1.2.1), при тех же условиях зонной плавки. Переведем N 0 в см -3 . Атомная масса фосфора = 30,97 N 0 =0,02 % (массовых) = 1,81Ч 10 -2 % (атомных) = 9,05Ч 10 18 см -3 . Для расчета эффективного коэффициента сегрегации k эфф воспользуемся выражением (4). Для фосфора в кремнии k 0 =3,5Ч 10 -1 [1]. Отношение d /D ж =200 с/см из задания. Подставляя значения k 0 , d /D ж , V кр в (4), вычислим k эфф . Для трех скоростей кристаллизации V кр =2,5Ч 10 -3 ; 8,33Ч 10 -3 ; 2,5Ч 10 -2 см/с соответственно получим k эфф =0,47; 0,74; 0,99.
1.2.3 Расчет распределения Si-Sb. Расчет распределения сурьмы в кремнии будем производить аналогично расчету галлия в слитке кремния (пункт 1.2.1), при тех же условиях зонной плавки. Переведем N 0 в см -3 . Атомная масса сурьмы = 121,7 N 0 =0,02 % (массовых) = 4,62Ч 10 -3 % (атомных) = 2,31Ч 10 18 см -3 . Для расчета эффективного коэффициента сегрегации k эфф воспользуемся выражением (4). Для сурьмы в кремнии k 0 =2,3Ч 10 -3 [1]. Отношение d /D ж =200 с/см из задания. Подставляя значения k 0 , d /D ж , V кр в (4), вычислим k эфф . Для трех скоростей кристаллизации V кр =2,5Ч 10 -3 ; 8,33Ч 10 -3 ; 2,5Ч 10 -2 см/с соответственно получим k эфф =3,74Ч 10 -2 ; 0,11; 0,78. 1.3. Распределение примесей после диффузии. Основой математического описания процессов диффузии являются два дифференциальных уравнения Фика (немецкий ученый A. Fick предложил их в 1855 г.). Первое уравнение (первый закон Фика) записывается следующим образом: J = - D grad N (7) где J - плотность потока диффундирующего вещества , т.е. количество вещества, проходящего за единицу времени через единичную площадь поверхности, перпендикулярной направлению переноса вещества; N - концентрация атомов примеси. D - коэффициент диффузии. Физический смысл этого уравнения — первопричиной диффузионного массопереноса вещества является градиент его концентрации. Скорость переноса пропорциональна градиенту концентрации, а в качестве коэффициента пропорциональности вводится коэффициент диффузии. Знак минус в правой части (7) указывает на то, что диффузия происходит в направлении убывания концентрации. Другими словами, диффузия идет благодаря стремлению системы достичь физико-химического равновесия. Процесс будет продолжаться до тех пор, пока химические потенциалы компонентов всей системы не станут равными. Уравнение (7) описывает стационарный (установившийся) процесс - процесс, параметры которого не зависят от времени. В макроскопическом представлении коэффициент диффузии определяет плотность потока вещества при единичном градиенте концентрации и является, таким образом, мерой скорости выравнивания градиента концентрации. Размерность коэффициента диффузии - м 2 /с . В общем случае диффузия анизотропна и коэффициент диффузии - симметричный тензор второго ранга.
Согласно микроскопическому определению, компонента
D
x
коэффициента диффузии
D
по координате
x
связана со среднеквадратичным смещением
Когда концентрация вещества изменяется только в одном направлении (одномерная диффузия) и при диффузии в изотропной среде (коэффициент диффузии - скаляр) первое уравнения Фика имеет следующий вид:
При простейшем анализе структур и в простейших моделях процессов легирования в технологии изготовления ИМС предполагаются именно такие условия диффузии. Второе уравнение диффузии (второй закон Фика) получается путем сочетания первого закона и принципа сохранения вещества , согласно которому изменение концентрации вещества в данном объеме должно быть равно разности потоков этого вещества на входе в объем и выходе из него. В общем случае второе уравнение диффузии имеет следующий вид
Для одномерной диффузии в изотропной среде уравнение (9) можно записать
Второй закон Фика характеризует процесс изменения концентрации диффундирующей примеси во времени в различных точках среды и является математической моделью нестационарного (развивающегося) состояния системы (описывает период времени от начала процесса до установления стационарного состояния). При постоянстве коэффициента диффузии D (независимости его от концентрации примеси) уравнение (10) упрощается
Допущение о постоянстве коэффициента диффузии справедливо в большом количестве случаев, анализируемых в технологии ИМС. Уравнения диффузии являются чисто феноменологическими, т.е. они не содержат никаких сведений о механизмах диффузии - о диффузионном процессе на атомном, уровне. Кроме того, уравнения (7) - (11) не содержат информации о зарядовом состоянии диффундирующих частиц. Процессы диффузии, используемые для изготовления интегральных структур, обычно анализируются с помощью частных решений уравнения (11) т.к., в отличие от (8), именно оно содержит важный параметр - время установления некоторого анализируемого состояния системы. Основная цель решения уравнения - найти распределение примеси N(x,t) в полупроводнике после диффузии в течение определенного времени t при различных условиях осуществления процесса. Общее решение уравнения (11) для бесконечного твердого тела при заданном в общем, виде начальном распределении примеси N(x,0) = f(x) может быть найдено методом разделения переменных. Оно имеет вид
здесь x - текущая координата интегрирования. Бесконечным в одномерном представлении называют тело, простирающееся от x=0 до x=- Ґ и до x=+ Ґ . Часто при поиске распределения концентрации примеси в полупроводнике необходимо решение уравнения (11) для полубесконечного твердого тела. Полубесконечным в одномерном представлении называют тело, простирающееся от x=0 до x=+ Ґ . Для этого случая выражение (12) может быть приведено к виду
В выражении (13) знак плюс относится к ситуации, когда граница твердого тела
(x=0)
является непроницаемой для диффундирующего вещества, находящегося в области
x>0,
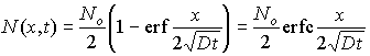
Представленные решения позволяют находить распределения примеси в твердом теле при любых начальных условиях. Решение конкретной задачи сводится к подстановке в (12) или (13) соответствующих ситуации начальных условий с последующими, как правило, очень громоздкими преобразованиями. 1.3.1 Распределение примеси при диффузии из полубесконечного пространства (диффузия из концентрационного порога) Диффундирующая примесь ( диффузант ) поступает в полубесконечное тело через плоскость x=0 из второго полубесконечного тела ( источника ) с равномерным распределением примеси. Концентрация примеси в источнике - N o . Полагается, что в принимающем диффузант теле нет рассматриваемой примеси. Начальное распределение концентраций для этого случая задается в виде N(x,0) = N o для x<0 N(x,0) = 0 для x>0 Решением уравнения (11) для этого случая является выражение
Второе слагаемое в квадратных скобках называют интегралом ошибок Гаусса или, иначе, функцией ошибок - error function и сокращенно обозначают erf (z). В соответствии с сокращением это распределение называют erf - распределением .
В математике часто используют как самостоятельную и другую функцию erfc z = 1- erf z (16) которая называется дополнением функции ошибок до единицы или дополнительной функцией ошибок - error function complement. Обе функции табулированы. Таким образом, выражение (14) можно записать
Величина
Рассмотренное решение можно использовать как простейшую модель, представляющую распределение примеси в автоэпитаксиальной структуре. При этом, в качестве независимых источников примеси выступает как подложка, так и эпитаксиальный слой. Процессы диффузии с каждой стороны рассматриваются в этом случае как независящие друг от друга, а реальное распределение примесей на границе раздела будет представлять собой сумму отдельных решений. 1.3.2 Распределение примеси при диффузии из постоянного источника в полубесконечное тело. Диффузант поступает в полубесконечное тело через плоскость x=0 из источника, обеспечивающего постоянную концентрацию примеси N o на поверхности раздела твердое тело - источник в течение любого времени. Такой источник называют бесконечным или источником бесконечной мощности . Полагается, что в принимающем диффузант теле нет рассматриваемой примеси. Начальное распределение концентраций и граничные условия для этого случая задаются в виде N(x,t) = N o для x=0 N(x,0) = 0 для x>0 Решением уравнения (16) для данных условий является выражение
Если в объеме полупроводникового материала до диффузии имелась примесь противоположного типа по отношению к диффундирующей, эта примесь распределена по объему равномерно и её концентрация равна N b , то в этом случае в полупроводнике образуется электронно-дырочный переход. Его положение ( глубина залегания ) x j определяется условием N(x,t)=N b , откуда
здесь запись erfc -1 обозначает аргумент z функции erfc . При решении практических задач, связанных с анализом диффузионных процессов необходимо знать количество примеси Q , накопленной в твердом теле при диффузии в течение времени t . Эта величина определяется по формуле
где J (0,t) - поток диффузанта в объем через плоскость x=0
отсюда
Следует обратить внимание на возрастающее со временем значение накопленной в диффузионном слое примеси при диффузии с данными граничными условиями. Рассмотренная модель диффузионного процесса с постоянным источником описывает процесс диффузионного легирования полупроводникового материала из газовой или паровой фазы. Этот процесс используется при создании сильно легированных диффузионных слоев (например, эмиттерных) с поверхностными концентрациями N o близкими к значениям предельной твердой растворимости примеси в данном полупроводниковом материале. Твердое тело можно считать полубесконечным ( или бесконечным) в том случае, если его размеры в направлении движения диффузанта много больше длины диффузии. 1.3.3 Распределение примеси при диффузии из слоя конечной толщины (диффузия из ограниченного источника) в полубесконечное тело с отражающей границей. Диффундирующая примесь поступает в полубесконечное тело из источника, который представляет собой примыкающий к границе тела слой толщиной h , примесь в котором распределена равномерно. Такой источник называют ограниченным. Концентрация примеси в источнике - N o . Полагается, что в принимающем диффузант твердом теле нет рассматриваемой примеси. При абсолютно непроницаемой для диффузанта (отражающей) границе поток примеси через поверхность x=0 должен обращаться в нуль при всех t і0
Начальное распределение концентраций для рассматриваемого случая задаётся в виде N(x,0) = N o для 0Ј x Ј h N(x,0) = 0 для x>h
Граничным условием является, определяемое условием (24), постоянство количества примеси в источнике и полупроводнике
Для реализации начального распределения такого типа диффундирующая примесь должна быть введена в твердое тело до начала диффузии. Решением уравнения (16) в данной ситуации является выражение
Здесь следует отметить, что erfс (-z) + erfс (z) є 2. В отличие от диффузии из постоянного источника при диффузии из слоя конечной толщины количество диффузанта ограничено значением Q=N o h . В процессе диффузии происходит только его перераспределение и, следовательно, уменьшение со временем концентрации примеси на поверхности твердого тела. Примером диффузии примеси из слоя конечной толщины в полубесконечное тело с отражающей границей является диффузия в кремниевую пластину из эпитаксиального, имплантированного или диффузионного слоя и покрытую слоем двуокиси кремния SiO 2 или нитрида кремния Si 3 N 4 . Границу пластины и пленки можно с большой долей правдоподобия принять отражающей, т.к. коэффициенты диффузии большинства примесей в кремнии на несколько порядков больше, чем в двуокиси кремния и нитриде. Однако, равномерность распределения примеси в источнике, особенно при его создании методом диффузии или имплантации - весьма грубое и вынужденное приближение. 1.3.4 Распределение примеси при диффузии из бесконечно тонкого слоя в полубесконечное тело с отражающей границей Решение диффузионного уравнения при этих условиях находится из предыдущего при h® 0 и условии, что количество диффузанта в источнике Q=N o h.
Приведенное выражение представляет собой Гауссово распределение. Тонкий слой на поверхности полупроводниковой пластины является источником, который очень быстро истощается. Непрерывная диффузия в этом случае приводит к постоянному понижению поверхностной концентрации примеси в полупроводнике. Эту особенность данного процесса используют в полупроводниковой технологии для получения контролируемых значений низкой поверхностной концентрации примеси, например, для создания базовых областей кремниевых транзисторных структур дискретных приборов или ИМС. На первом этапе процесса проводится кратковременная диффузия (при пониженных температурах) из постоянного источника, распределение примеси после которой описывается выражением (18). Значение N o при этом велико и определяется либо пределом растворимости данной примеси в полупроводниковом материале, либо концентрацией примеси в стеклообразном слое на поверхности полупроводника. Этот этап часто называют загонкой. После окончания первого этапа пластины помещают в другую печь для последующей диффузии, обычно, при более высоких температурах. В этой печи нет источника примеси, а если он создается на первой стадии в виде стеклообразного слоя на поверхности пластин, его предварительно удаляют. Таким образом, тонкий слой, полученный на первом этапе, является источником перераспределяемой примеси при проведении второй стадии процесса. Для создания отражающей границы второй этап (часто называемый разгонкой ) проводят в окислительной атмосфере. При этом на поверхности растет слой SiO 2 . Существует заметное несоответствие между распределением примеси в источнике, сформированном при загонке, с декларируемым при выводе выражений (25) и (26) - ступенчатым. Это несоответствие должно отразиться на точности описания реального распределения примеси после второй стадии диффузии выражением (26). Не существует и объективного количественного критерия “ тонкости ” источника — нет каких-либо признаков, согласно которым для представления результатов данного процесса следует использовать выражение (26), а на (25) и наоборот.
При моделировании двухстадийной диффузии и анализе результатов процесса полагают, что выражение (26) достаточно точно соответствует реальному при условии, если величина произведения
D
1
t
1
для первого этапа процесса легирования значительно меньше, чем
D
2
t
2
для второго -
из (26) получим
Величины D 2 и t 2 относятся ко второй стадии диффузии. В случае, если продолжительность второй стадии не очень велика по сравнению с первой, или, иными словами, D 2 t 2 і D 1 t 1 , предположение о том, что диффузионный слой, образовавшийся в результате загонки, будет вести себя как тонкий источник неверно. В этом случае решение диффузионного уравнения будет выглядеть следующим образом
где
Поверхностная концентрация примеси после второй стадии диффузии выражается при данных условиях соотношением
Выражение (25) используется для представления распределения при
условии, что
D
1
t
1
>D
2
t
2
–
Поделитесь этой записью или добавьте в закладки |
Полезные публикации |
(4)
(10)
(11)
, (12)
(13)
(14)
(15)
(17)
(19)
(20)
(21)
(22)
(23)
для
t і0
(24)
(25)
(26)
(27)
(28)
и
(29)
Главная