Вредные вещества, воздействие и нормирование
ВВЕДЕНИЕ. Основной физической характеристикой примесей в воздухе является концентрация - масса (мг) вещества в единице объема (м 3 ) воздуха при нормальных метрологических условиях. Нормирование содержания вредных веществ в воздухе производится по предельно допустимым концентрациям (ПДК). Нормирование содержания вредных веществ в воздухе производят для атмосферного воздуха населенных мест по списку Минздрава №3086-84, а для воздуха рабочей зоны производственных помещений по ГОСТ 12.1.005-88. Наша задача состоит в сравнении фактической концентрации с предельно-допустимой, в оценке эффекта суммации по набору веществ согласно варианту и перечню веществ, обладающих суммацией действия с последующим расчетом по формуле (1). Исходные данные приведены в таблице 1. Исходные данные и нормирующие значения. таблица 1.
Выявление веществ обладающих суммацией действия. Пользуясь таблицей 2, стр.32 [1], выявим следующие вещества: аммиак, азота двуокись, гексан . При совместном присутствии в воздухе нескольких веществ, обладающих суммацией действия, сумма их концентраций не должна превышать 1(единицы) при расчете по формуле:
где С 1 ,С 2 ...С n - фактические концентрации веществ в воздухе, мг/м 3 ПДК 1 ,ПДК 2 ...ПДК n - предельно-допустимые концентрации тех же веществ в воздухе В данном случае формула (1) принимает вид:
где С 1 - фактическая концентрация аммиака в воздухе, С 2 - фактическая концентрация азота двуокиси в воздухе, С 3 - фактическая концентрация гексана в воздухе, ПДК 1 - предельно-допустимая концентрация аммиака, ПДК 2 - предельно-допустимая концентрация азота двуокиси, ПДК 3 - предельно-допустимая концентрация гексана, Находим сумму концентраций веществ, обладающих суммацией действия, в воздухе рабочей зоны по формуле(1):
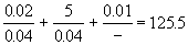
Находим сумму концентраций веществ, обладающих суммацией действия, в воздухе населенных мест (максимально разовая) по формуле(1):
Находим сумму концентраций веществ, обладающих суммацией действия, в воздухе населенных мест (среднесуточная) по формуле(1):
Сделаем выводы о соответствии фактических значений концентрации веществ, обладающих эффектом суммации (см. заключение). Заключение. Во всех трех случаях концентраций веществ их сумма превышает 1(единицу), следовательно можно сделать вывод о несоответствии нормам фактических значений концентрации веществ, обладающих эффектом суммации. Аммиак, двуокись азота, гексан - все эти вещества предоставляют опасность для жизни деятельности человека. Поделитесь этой записью или добавьте в закладки |
Полезные публикации | ||||||||||||||||||||||||||||||||||||||||||||||||||||||||||||||||||||||||||||||||||||||||||||||||||||||||||||||||||
Главная