Принципы и средства электрической защиты
ВВЕДЕНИЕ В данной курсовой работе были рассмотрены принципы и средства электрической защиты. В частности зануление. Также были включены в работу такие вопросы как:
ДЕЙСТВИЕ ЭЛ. ТОКА НА ОРГАНИЗМ ЧЕЛОВЕКА При эксплуатации и ремонте электрического оборудования и сетей человек может оказаться в сфере действия электрического поля или непосредственном соприкосновении с находящимися под напряжением проводками электрического тока. В результате прохождения тока через человека может произойти нарушение его жизнедеятельных функций. Опасность поражения электрическим током усугубляется тем, что, во первых, ток не имеет внешних признаков и как правило человек без специальных приборов не может заблаговременно обнаружить грозящую ему опасность; во вторых, воздействия тока на человека в большинстве случаев приводит к серьезным нарушениям наиболее важных жизнедеятельных систем, таких как центральная нервная, сердечно-сосудистая и дыхательная, что увеличивает тяжесть поражения; в третьих, переменный ток способен вызвать интенсивные судороги мышц, приводящие к не отпускающему эффекту, при котором человек самостоятельно не может освободиться от воздействия тока; в четвертых, воздействие тока вызывает у человека резкую реакцию отдергивания, а в ряде случаев и потерю сознания, что при работе на высоте может привести к травмированию в результате падения. Электрический ток, проходя через тело человека, может оказывать биологическое, тепловое, механическое и химическое действия. Биологическое действие заключается в способности электрического тока раздражать и возбуждать живые ткани организма, тепловое – в способности вызывать ожоги тела, механическое – приводить к разрыву тканей, а химическое – к электролизу крови. Воздействие электрического тока на организм человека может явиться причиной электротравмы. Электротравма – это травма, вызванная воздействием электрического тока или электрической дуги. Условно электротравмы делят на местные и общие. При местных электротравмах возникает местное повреждение организма, выражающиеся в появлении электрических ожогов, электрических знаков, в металлизации кожи, механических повреждениях и электроофтальмии (воспаление наружных оболочек глаз). Общие электротравмы, или электрические удары, приводят к поражению всего организма, выражающемуся в нарушении или полном прекращении деятельности наиболее жизненно важных органов и систем – легких (дыхания), сердца (кровообращения). Характер воздействия электрического тока на человека и тяжесть поражения пострадавшего зависит от многих факторов. Оценивать опасность воздействия электрического тока на человека можно по ответным реакциям организма. С увеличением тока четко проявляются три качественно отличные ответные реакции. Это прежде всего ощущение, более судорожное сокращение мышц (неотпускание для переменного тока и болевой эффект постоянного) и, наконец, фисрилляция сердца. Электрические токи, вызывающие соответствующую ответную реакцию, подразделяют на ощутимые, неотпускающие и фибрилляционные. ФАКТОРЫ, ОПРЕДЕЛЯЮЩИЕ ИСХОД ПОРАЖЕНИЯ ЭЛЕКТРИЧЕСКИМ ТОКОМ К факторам, влияющим на исход поражения электрическим током, относят: Величина тока. Величина напряжения. Время действия. Род и частота тока. Путь замыкания. Сопротивление человека. Окружающая среда. Фактор внимания. Величина тока По величине тока, токи подразделяются на: неощущаемые (0,6 – 1,6мА); ощущаемые (3мА); отпускающие (6мА); неотпускающие (10-15мА); удушающие (25-50мА); фибрилляционные (100-200мА); тепловые воздействия (5А и выше). Величина напряжения и 2.3. Время действия По ГОСТ 12.1.038-82 ССБТ “Предельно допустимые величины напряжений и токов. Электробезопасность”. Факторы величины напряжения и время воздействия электрического тока, приведены в табл. 1. Таблица 1
При кратковременном воздействии (0,1-0,5с) ток порядка 100мА не вызывает фибрилляции сердца. Если увеличить длительность воздействия до 1с, то этот же ток может привести к смертельному исходу. С уменьшением длительности воздействия значение допустимых для человека токов существенно увеличивается. При изменении времени воздействия от 1 до 0,1с допустимый ток возрастает в 16 раз. Кроме того, сокращение длительности воздействия электрического тока уменьшает опасность поражения человека исходя из некоторых особенностей работы сердца. Продолжительность одного периода кардиоцикла (рис. 2.1.) составляет 0075-0,85с.
В каждом кардиоцикле наблюдается период систолы, когда желудочки сердца сокращаются (пик QRS) и выталкивают кровь в артериальные сосуды. Фаза Т соответствует окончанию сокращения желудочков и они переходят в расслабленное состояние. В период диостола желудочки наполняются кровью. Фаза Р соответствует сокращению предсердий. Установлено, что сердце наиболее чувствительно к воздействию электрического тока во время фазы Т кардиоцикла. Для того чтобы возникла фибриляция сердца, необходимо совпадение по времени воздействия тока с фазой Т, продолжительность которой 0,15-0,2с. С сокращением длительности воздействия электрического тока вероятность такового совпадения становится меньше, а следовательно, уменьшается опасность фибриляции сердца. В случае несовпадения времени прохождения тока через человека с фазой Т токи, значительно превышающие пороговые значения, не вызовут фибриляции сердца. 2.4. Род и частота тока Постоянный и переменный токи оказывают различные воздействия на организм главным образом при напряжениях до 500 В. При таких напряжениях степень поражения постоянным током меньше, чем переменным той же величины. Считают, что напряжение 120 В постоянного тока при одинаковых условиях эквивалентно по опасности напряжению 40 В переменного тока промышленной частоты. При напряжении 500В и выше различий в воздействии постоянного и переменного токов практически не наблюдаются. Исследования показали, что самыми неблагоприятными для человека являются токи промышленной частоты (50Гц). При увеличении частоты (более 50Гц) значения неотпускающего тока возрастает. С уменьшением частоты (от 50Гц до 0) значения неотпускающего тока тоже возрастает и при частоте, равной нулю (постоянный ток – болевой эффект), они становятся больше примерно в три раза. Значения фибрилляционного тока при частотах 50-100Гц равны, с повышением частоты до 200Гц этот ток возрастает примерно в 2 раза, а при частоте 400Гц – почти в 3,5 раза. 2.5. Путь замыкания тока При прикосновении человека к токоведущим частям путь тока может быть различным. Всего существует 18 вариантов путей замыкания тока через человека. Основные из них:
Степень поражения в этих случаях зависит от того, какие органы человека подвергаются воздействию тока, и от величины тока, проходящего непосредственно через сердце. Так при протекании тока по пути “рука – рука” через сердце проходит 3,3% общего тока, по пути “левая рука - ноги” 3,7%, “правая рука – ноги” 6,7%, “нога – нога” - 0,4%. Величена неотпускающего тока по пути “рука – рука” приблизительно в два раза меньше, чем по пути “рука – ноги”. 2.6. Сопротивление человека Величина тока походящего через какой-либо участок тела человека, зависит от приложенного напряжения (напряжения прикосновения) и электрического сопротивления оказываемого току данным участком тела. Между воздействующим током и напряжением существует нелинейная зависимость: с увеличением напряжения ток растет быстрее. Это объясняется главным образом нелинейностью электрического сопротивления тела человека. На участке между двумя электродами электрическое сопротивление тела человека в основном состоит из сопротивлений двух тонких наружных слоев кожи, касающихся электродов, и внутреннего сопротивления остальной части тела. Плохо проводящий ток наружный слой кожи, прилегающий к электроду, и внутренняя ткань, находящаяся под плохо проводящим слоем, как бы образуют обкладки конденсатора емкостью С и сопротивлением его изоляции V н . С увеличением частоты тока сопротивление тела человека уменьшается и при больших частотах практически становится равным внутреннему сопротивлению. При напряжении на электродах 40-45В в наружном слое кожи возникают значительные напряженности поля, которые полностью или частично нарушают полупроводящие свойства этого слоя. При увеличении напряжения сопротивление тела уменьшается и при напряжении 100-200В падает до значения внутреннего сопротивления тела. Это сопротивление для практических расчетов может быть принято равным 1000 Ом. 2.7. Окружающая среда влажность и температура воздуха, наличие заземленных металлических конструкций и полов, токопроводящая пыль и другие факторы окружающей среды оказывают дополнительное влияние на условие электробезопасности. Во влажных помещениях с высокой температурой или наружных электроустановках складываются неблагоприятные условия, при которых обеспечивается наилучший контакт с токоведущими частями. Наличие заземленных металлических конструкций и полов создает повышенную опасность поражения в следствии того, что человек практически постоянно связан с одним полюсом (землей) электроустановки. Токопроводящая пыль также улучшает условия для электрического контакта человека как с токоведущими частями, так и с землей. 2.8. Фактор влияния Фактор влияния играет важную роль при поражении электрическим током. На рис.2.3. представлен график зависимости освобождаемости студентов при поражении электрическим током, если им известно о том, что установка находится под напряжением.
“ПРЕДЕЛЬНО ДОПУСТИМЫЕ ВЕЛИЧИНЫ НАПРЯЖЕНИЙ И ТОКОВ” ГОСТ 121.038-82 ССБТ Предельно допустимые величины напряжений и токов приведены в табл.2. Таблица 2
СХЕМА, НАЗНАЧЕНИЕ, ПРИНЦИП ДЕЙСТВИЯ И ОБЛАСТЬ ПРИМЕНЕНИЯ ЗАНУЛЕНИЯ. НЕОБХОДИМОСТЬ ПОВТОРНОГО ЗАЗЕМЛЕНИЯ НУЛЕВОГО ПРОВОДА Зануление – металлическое соединение корпуса электроустановки с нулевым проводом, позволяющим свести аварийный режим к однофазному короткому замыканию с последующим отключением поврежденного контура в минимально короткое время (0,2с). Зануление применяют в четырех проводных сетях с глухо-заземленной нейтралью напряжением до 1000В. Защитный эффект зануления состоит в уменьшении длительности замыкания на корпус и, следовательно, в снижении времени воздействия электрического тока на человека. Схема защитного зануления показана на рис.4.1.
Повторное заземление нулевого провода необходимо для обеспечения лучшей защиты человека от поражения электрическим током. Как видно из рис.4.2. при обрыве нулевого провода, при переходе электрического тока на корпус электроустановки ток короткого замыкания протекает через сопротивление повторного заземления и сопротивления заземления (r 0 ), и фазу (С).
Повторное заземление нулевого провода устраивается многократно: для воздушных линий через каждые 250м; для кабельных линий через каждые 250м; и обязательно при вводе в производственное помещение. Повторное заземление нулевого провода полностью не обеспечивает защиты от поражения током, а лишь смягчает аварийный режим, уменьшает напряжение на корпусе в 2-3 раза. Опасность поражения сохраняется, поэтому применяются индивидуальные защитные средства (коврики, рукавицы и т.д.).
ВЫБРАТЬ НОМИНАЛЬНЫЕ ТОКИ ПЛАВКИХ ВСТАВОК ПРЕДОХРАНИТЕЛЕЙ И ОПРЕДЕЛИТЬ ПРЕДЕЛЬНО-ДОПУСТИМЫЕ СОПРОТИВЛЕНИЯ ПЕТЛИ “ФАЗА-НОЛЬ” ДЛЯ ПОТРЕБИТЕЛЕЙ, ПИТАЮЩИХСЯ ОТ СЕТИ С ГЛУХО-ЗАЗЕМЛЕННОЙ НЕЙТРАЛЬЮ НАПРЯЖЕНИЕМ 380/220В Исходные данные: Мощности потребителей эл. энергии, кВт
Кратность пускового тока для эл. двигателей с к.з. ротором принять равной 5…6,25. Коэффициент мощности потребителей принять 0,7…0,8. Коэффициент запаса плавкой вставки принять 2,5 – для легких условий пуска; 2,0 – для тяжелых условий пуска. Составление однолинейной схемы питания потребителей эл-кой энергии.
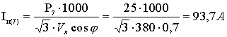
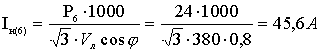
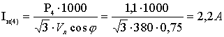
Определение номинальных токов потребителей Для установки №№ 1-6
Для установок №№ 7-8
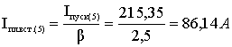
Для двигателей с коротко замкнутым ротором определяем пусковые токи. I пуск =К п Ч I н , A где К п – кратность пускового тока. I пуск(1) = К п Ч I н(1) = 5 Ч 11,9 = 59,5 А I пуск(2) = К п Ч I н(2) = 5,2 Ч 9,7 = 50,44 А I пуск(3) = К п Ч I н(3) = 5,5 Ч 6,24 = 34,32 А I пуск(4) = К п Ч I н(4) = 5,7 Ч 2,2 = 12,54 А I пуск(1) = К п Ч I н(5) = 5,9 Ч 36,5 = 215,35 А I пуск(1) = К п Ч I н(6) = 6 Ч 45,6 = 273,6 А Определяем расчетные значения номинальных токов плавких вставок. И выбор их по ГОСТ
где b - коэффициент запаса плавкой вставки (2,5)
Определение необходимых значений токов к.з. в соответствии с требованиями ПУЭ I к.з. = К Ч I пл.вст. , К=3 I к.з.(1) = К Ч I пл.вст.(1) = 3 Ч 25 = 75А I к.з.(2) = К Ч I пл.вст.(2) = 3 Ч 25 = 75А I к.з.(3) = К Ч I пл.вст.(3) = 3 Ч 15 = 45А I к.з.(4) = К Ч I пл.вст.(4) = 3 Ч 10 = 30А I к.з.(5) = К Ч I пл.вст.(5) = 3 Ч 100 = 300А I к.з.(6) = К Ч I пл.вст.(6) = 3 Ч 125 = 375А I к.з.(7) = К Ч I пл.вст.(7) = 3 Ч 100 = 300А I к.з.(8) = К Ч I пл.вст.(8) = 3 Ч 15 = 45А Определение предельно допустимых значений сопративлений петли “фаза-нуль”
Выбор номинального тока плавкой вставки для защиты всей группы потребителей энергии
346,20 > 219,74 Все результаты сводим в табл.4 Таблица 4
ЗАКЛЮЧЕНИЕ В заключении необходимо отметить, что вопросы, поставленные в задании решены. В работе описано действие электрического тока на человека, приведены схема, назначение, принцип действия зануления. Также были выбраны номинальные токи плавких вставок предохранителей, определены предельно-допустимые сопротивления петли “фаза-нуль”. Приведены допустимые уровни напряжений прикосновений и токов по ГОСТ 12.1.038-82. Поделитесь этой записью или добавьте в закладки |
Полезные публикации | ||||||||||||||||||||||||||||||||||||||||||||||||||||||||||||||||||||||||||||||||||||||||||||||||||||||||||||||||||||||||||
, А
,
- принимаем 25
- принимаем 25
- принимаем 15
- принимаем 10
- принимаем 100
- принимаем 125
Главная