Содержание и цель изучения БЖД
Основные положения БЖД. БЖД — система знаний, направленных на обеспечение безопасности в производственной и непроизводственной среде с учетом влияния человека на среду обитания.
Цель БЖД Цель = БС + ПТ + СЗ + ПР + КТ БС — достижение безаварийных ситуаций ПТ — предупреждение травматизма СЗ — сохранение здоровья ПР — повышение работоспособности КТ — повышение качества труда Для достижения поставленной цели необходимо решить две группы задач:
Объекты и предметы БЖД
Аксиома о потенциальной опасности Любая деятельность потенциально опасна. Количественная оценка опасности — риск (R).
По статистике n = 500 тыс. чел. ( погибают неестественной гибелью на пр-ве за год) N = 160 млн. чел. Существует понятие нормируемого риска (приемлемый риск) R=10 -6 . Правовые и нормативно-технические основы обеспечения БЖД. Основные положения изложены в Конституции (дек. 1994г) в законе по охране труда и охране природы (1992-93) в КЗоТе. В качестве подзаконных актов выступают ГОСТы, Нормы и Правила. Взаимодействие гос. надзора, ведомственного и общественного контроля.
Организация службы охраны труда и природы на предприятии Директор несет основную ответственность за охрану труда и природы. Организационными работами, связанными с обеспечением охраны труда и природы заним. гл. инженер . Отдел охраны труда (подчиняется гл. инженеру) решает текущ. вопросы, связанные с обеспеченем безопасности труда. Функции отдела охраны труда:
Трехступенчатый контроль за охраной труда на предприятии 1 этап. Контроль на рабочем месте (за цехом контроль осущ-т мастер, за лабораторией - рук. группой). Ежедневный контроль. 2 этап. Уровень цеха, лаборатории (периодичность еженедельная). 3 этап. Уровень предприятия (один из цехов выборочно проверяется комиссией, в состав которой входят: - гл. инженер; - нач. отдела охраны труда; - представитель мед. сан. части; - гл. специалист (технолог или энергетик) Обучение работающих безопасности труда Система стандартов безопасности труда — ГОСТ 12.0.004-90 ССБТ Виды инструктажа
Госты, Нормы и правила по охране труда и природы, их структура Система стандартов БТ — комплекс мер, направленных на обеспечение БТ. Структура Госта:
Код группировки: 0 : основополагающий стандарт; 1 : перечень по группам опасных и вредных производственных факторов; 2 : требование безопасности к производственному оборудованию; 3 : требования безопасности, предъявляемые к техн. процессу; 4 : требования безопасности, предъявляемые к средствам индивидуальной защиты. Нормы — перечень требований безопасности по производственной санитарии и гигиене труда. СН 245-71 Санитарные нормы проектирования пром. предприятий. Правила — перечень мер по технике безопасности. ПУЭ-85 Правила устройств электроустановки. СН и ПII-4-79 Система управления БТ на предприятии Опасные и вредные факторы среды, источники и виды загрязнений Опасный фактор — фактор, воздействие к-го на работающего, потенциально может привести к травме. Вредный производственный фактор — фактор, воздействие к-го на работающего может привести к заболеванию. ГОСТ 12-0-003-74 ССБТ - Опасные и вредные производ. факторы. Классификация). Группы опасных и вредных производственных факторов:
Источники загрязнения окружающей Среды
Источники загрязнения атмосферы подразделяются на:
Источники загрязнения гидросферы:
Источники загрязнения литосферы:
Травма — внешнее повреждение организма человека, которое произошло в результате действия опасного производственного фактора. Проф. заболевание — заболевание, при котором происходит внутреннее изменение в организме человека в результате действия вредного производственного фактора. Несчастные случаи подразделяются: легкие; средней тяжести; групповые; с инвалидным исходом; со смертельным исходом. Проф. заболевания подразделяются:
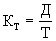
Совокупность производственных травм называется травматизмом. Отчетность по производственному травматизму: I. Коэффициент тяжести травматизма (ср. продолжительность одной травмы)
Д - кол-во (общее число) дней нетрудоспособности за отчетный период Т - кол-во травм за отчетный период II. Коэффициент частоты травматизма (кол-во травм, приходящихся на 1000 раб.)
Р - ср. списочное кол-во рабочих за отчетный период Учет и расследование несчастных случаев Виды расследования:
Для обычного расследования в состав комиссии по расследованию причин несчастного случая входят:
В течение 24 часов с момента проишествия несчастного случая проводят расследование, причем результаты расследования заносятся в акт по форме Н-1 (4 экз.). Акт направляется к гл. инженеру (в течение 3-х дней акт должен быть заверен). 1-ый экз. - на руки пострадавшему (хранится 45 лет); 2-ой экз. - в подразделении, где произошел НС; 3-ий экз. - в отделе охраны труда предприятия; 4-ый экз. - в министерство по его затребованию. Администрация несет ответственность:
Причины несчастных случаев: - организационные (объективные); - технические (субъективные). Методы исследования причин травматизма Объект исследования: человек; производственная обстановка; технологические процессы; оборудование
На раб. местах большое значение отводится созданию комфортных условий труда, к-е обеспечиваются параметрами микрокл. и степенью запыленности воздуха. Терморегуляция организма человека — способность человеческого тела поддерживать постоянную т-ру. Нормативные содержания вредных веществ и микроклимата. При наличии вредных веществ их концентрация регламентируется величиной предельно допустимой концентрации (ПДК). ПДК = [мг/м3] ГОСТ 12.1.005-88 ССБТ Общие санитарно-гигиенические требования к воздуху раб. зоны. ПДК в воздухе раб. зоны — такая концентрация вредных веществ, которая в течение 8-ми часового раб. дня или раб. дня другой продолжительности, но не более 41-го часа в неделю не вызывает отклонений в состоянии здоровья работающих, а также не влияет на настоящее и будущее поколения. В воздухе населенных мест содержание вред. в-в регламентируется в соотв-вии с СН 245-71. ПДК СС (средне суточная) — такая концентрация, которая не вызывает отклонений при прямом или косвенном воздействии на человека в воздухе населенного пункта в течение сколь угодно долгого дыхания. ПДК МР (max разовое) — такая концентрация, которая не вызывает со стороны организма человека рефлекторных реакций (ощущение запаха. изменение световой чувствительности, биоэлектрической активности мозга и т.д.) Эти величины определены для ” 1203 веществ, для остальных ОБУВ (ориентировочно-безопасный уровень воздействия) сроком ” 3 года. В соотв-вии с ГОСТ 12.1.007-76 все вредные в-ва подразделяются на 4 кл. по величине ПДК: I кл < 0,1 мг/м 3 — чрезвычайно- опасн. вр. в-ва; II кл 0,1 — 1 мг/м 3 — высоко опасные III кл 1 — 10 мг/м 3 — умеренно опасные IV кл > 10 мг/м 3 — мало опасные Эффект суммации — при нахождении в воздухе нескольких вполне определенных в-в, они обладают свойством усиливать действие друг друга. Для того, чтобы оценить действие в-в, обладающих эффектом суммации используется формула:
С1, С2 ... СN - фактические концентрации вредных в-в в воздухе ПДК1 ... ПДКN - величины их предельно допустимых концентраций Нормирование параметров микроклимата Микроклимат на раб. месте хар-ся:
В соответствии с ГОСТ 12.1.005-88 нормируемые параметры микроклимата подразделяются на оптимальные и допустимые. Оптимальные параметры микроклимата — такое сочетание т-ры, относит. влажности и скорости воздуха, которое при длительном и систематическом воздействии не вызывает отклонений в состоянии человека. t = 22 - 24, ° С, j = 40 - 60, %, V Ј 0,2 м/с Допустимые параметры микроклимата — такое сочетание параметров микроклимата, которое при длительном воздействии вызывает приходящее и быстронормализующееся изменение в состоянии работающего. t = 22 - 27, ° С, j Ј 75, %, V = 0,2-0,5 м/с Раб. зона — пространство над уровнем горизонтальной пов-ти, где выполняется работа, высотой 2 метра. Раб. место — (м.б. постоянным или непостоянным), где выполняется технологическая операция. Для определения нормы микроклимата на рабочем месте, необходимо знать 2 фактора:
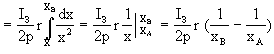
Методы и ср-ва контроля защиты воздушной среды Системы вентиляции Вентиляция — организованный воздухообмен, который обеспечивает удаление из помещения воздуха, загрязненного избыточным теплом и вредными веществами и тем самым нормализует воздушную среду в помещении. Работоспособность системы вентиляции определяется показателем кратности воздухообмена ( К ).
V -кол-во воздуха, удаляемого из плмещения в течение часа [м 3 /ч] V П - объем помещения, м 3 К =[1/ч] Для определения объема воздуха, удаляемого из помещения необходимо знать: V 1 - объем воздуха с учетом тепловых выделений; V 2 - объем воздуха с учетом выделения вредных в-в тех или иных процессов
Q ИЗБ - общее кол-во тепла [кДж/ч] С - теплоемкость воздуха [кДж/кгЧ ° С]=1 r - плотность воздуха [кг/м 3 ] t УД - т-ра удаляемого воздуха t ПР - т-ра приточного воздуха
К - общее кол-во загрязняющих в-в при работе разных источников в течение года [гр/ч] К УД , К ПР - концентрация вредных в-в в удаляемом и приточном воздухе [гр/м 3 ] V 2 -[м3/ч] Классификация систем вентиляции
- ветровой напор; - тепловой напор - приточная; - вытяжная; - приточно-вытяжная - естественная + механическая Для обеспечения естественной вентиляции в лабораториях использунтся устройство, называемое дифлектором (ветровой напор). Приточная система вентиляции
Система вытяжной вентиляции
Система механической вентиляции должна обеспечивать допустимые параметры микроклимата на раб. местах в производственных помещениях. Оптимальные параметры микроклимата обеспечивает система крндиционирования. Достоинства и недостатки систем естественной и механической вентиляций
Для системы вытяжной вентиляции. В системе приточной вентиляции обеспечивает защиту работающих и создание условий для эксплуатации ВТ, а в системе вытяжной вентиляции устройство обеспечивает защиту воздуха населенных мест от вредных воздействий. В зависимости от использования средств, очистку подразделяют на:
Очистку воздуха от пыли и создание оптимальных параметров микроклимата на РМ, обеспечивает система кондиционирования .
I - камера смешания воздуха II - промывная камера III - камера второго подогрева
Очистка воздуха, удаляемого из помещения, осуществляется с помощью 2-х типов устр-в: - пылеуловители; - фильтры. Очистка воздуха при использовании пылеуловителя осуществляется за счет действия сил тяжести и сил инерции. По конструктив. особен-ям пылеуловители бывают: - циклонные; - инерцион.;- пылеосадительные камеры. Фильтры — устройства, в которых для очистки воздуха используются материалы (пр-во), способные осаживать или задерживать пыль.
Способы очистки воздуха
Контроль параметров воздушной среды Осуществляется с помощью приборов:
Воздействие эл. тока на организм человека Кол-во эл. травм в общем числе невелико, до 1,5%. Для эл. установок напряжением до 1000 V кол-во эл. травм достигает 80%. Причины эл. травм Человек дистанционно не может определить находится ли установка под напряжением или нет. Ток, который протекает через тело человека, действует на организм не только в местах контакта и по пути протекания тока, но и на такие системы как кровеносная, дыхательная и сердечно-сосудистая. Возможность получения эл. травм имеет место не только при прикосновении, но и через напряжение шага и через эл. дугу. Эл. ток, проходя через тело человека оказывает термическое воздействие, к-ое приводит к отекам (от покраснения, до обугливания), электролитическое ( химическое ), механическое , к-ое может привести к разрыву тканей и мышц; поэтому все эл. травмы делятся местные; общие (электроудары). Местные эл. травмы
Общие эл. травмы (электроудары): 1 степень: без потери сознания 2 степень: с потерей 3 степень: без поражения работы сердца 4 степень: с поражением работы сердца и органов дыхания Крайний случай состояние клинической смерти (остановка работы сердца и нарушение снабжения кислородом клеток мозга. В состоянии клинической смерти находятся до 6-8 мин.) Причины поражения эл. током (напряж. прикосновения и шаговое напряж.):
Факторы, влияющие на исход поражения эл. током:
Количественные оценки
- меньше 450 В — опаснее переменный ток, - меньше 500 В — опаснее постоянный ток. Хар-р воздействия пост. и перем. токов на организм чел.:
ПДУровни напряжений прикосновения и сила тока при аварийном режиме эл. установок по ГОСТ 12.1.038-82
Сопротивление тела человека Факторы, приводящие к уменьшению сопротивления тела человека: увлажнение поверхности кожи; увеличение площади контакта; время воздействия. Сопротивление рогового (верхнего слоя кожи) от 10 до 100 кОм. Сопротивление внутренних тканей 800-1000 Ом. Расчетная величина R ЧЕЛ = 1000 Ом. Классификация помещений по опасности поражения эл. током (ПУЭ-85). Помещения I класса . Особо опасные помещения.
Помещения II класса . Помещения повышенной опасности поражения эл. током.
Помешения III класса . Мало опасные помещения. Отсутствуют признаки, характерные для двух предыдущих классов. Закон Ома в дифференциальной форме: E = i r r - удельное сопротивление грунта [ОмЧ м] i - плотность тока Т.к. падение напряжения между двумя точками или разность потенциалов
х В ® Ґ (х ~ 2 Ом), j В ~ 0,
Распределенеие потенциала по пов-ти земли осуществляется по з-ну гиперболы. Напряжение прикосновения — это разность потенциалов точек эл. цепи, которых человек касается одновременно, обычно в точках расположения рук и ног.
Напряжение шага — это разность потенциалов j 1 и j 2 в поле растекания тока по пов-ти земли между точками, расположенными на расстоянии шага (” 0,8 м). Виды и анализ электрических сетей
Методы и средства защиты: заземление, зануление, отключение и др. Выбор средств защиты зависит от:
Средства электробезопасности:
Общетехнические средства защиты
Специальные средства защиты
Принцип действия заземления Снижение напряжения между корпусом, оказавшимся под напряжением (в случае аварийной ситуации) и землей, до безопасной величины. Заземление используется в 3-х фазных 3-х проводных сетях с изолированной нейтралью. Эта система заземления работает в том случае, если RН Ј 4 Ом; V < 1000 В; RН Ј 0,5 Ом; V > 1000 В (ПУЭ-85) Принцип действия зануления Преднамеренное соединение корпусов эл. установок с многократно заземленной нейтралью трансформатора или генератора. Превращение замыкания на корпус в однофазное короткое замыкание за счет срабатывания токовой защиты, которая отключает систему питания и тем самым отключается поврежденное устройство. Принцип действия защитного отключения Это преднамереное автоматическое отключение эл. установки от питающей сети в случае опасности поражения эл. током. Условия, при которых выполняется заземление или зануление в соответствии с требованиями ПУЭ-85.
Заземляющие устройства бывают естественными (используются конструкции зданий) в этом случае нельзя использовать те элементы, которые при попадании искры приводят к аварии (взрывоопасные). Искусственные — контурное и выносное защитное заземляющее устройство. Пример. Контурное заземляющее устройство.
Требования эл. безопасности к установкам ЭТИ (лектро-технических изделий) ЭТИ должны быть сконструированы таким образом, чтобы обеспечивалась эл. безопасность. Если такие условия создать нельзя, они должны быть перечислены в инструкции. ГОСТ 12.2.007.0-75 ССБТ В соответствии с этим ГОСТом оговариваются классы безопасности. Многообразие средств защиты и условий эксплуатации привели к унификации средств защиты. В условиях экспорта-импорта ЭТИ, была создана IP. IP-30 3 - степень защиты 0 - степень защиты IP-44 4 - от попадания внутрь 4 - — І — IP-5х 5 - оболочки тв. тел х - влаги IP-54 5 4 Вся информация подается через зрительный анализатор. Вред. воздействие на глаза человека оказывают следующие опасные и вред. производственные факторы:
По данным ВОЗ на зрение влияет
Физиологические характеристики зрения
Это понятие связано с той или иной осветительной установкой
1. Световой поток F, [лм] - люмен 2. Сила света J, [кд] - кандела J = F/w 3. Освещенность E, [лк] - люкс E = F/S 4. Яркость L, [кд/м 2 ] L = J/S 5. Контраст К К = (L 0 - L Ф )/L 0 Контраст бывает: - большой (К>0,5); - средний (К = 0,2 - 0,5); - малый (К<0,2). 6. Фон — поверхность, которая прилегает к объекту различения. Наименьший размер объекта различения с фоном. 7. Коэффициент отражения r r = F ПАД /F ОТР В зависимости от коэф. отражения фон бывает: - светлый r = 0,2 - 0,4; - темный r < 0,2. При естественном освещении к-либо точки горизонтальной плоскости, за основу при нормировании принимается манимально допустимая величина коэффициента естественной освещенности. Коэф. ест. освещ. (КЕО) = Е = E ВН /Е СНЧ 100%, где E ВН - освещенность к-либо точки горизонтальной пов-ти, находящейся внутри помещения [лк]; Е СН - освещенность к-либо точки, находящейся снаружи помещения на расстоянии 1 м от здания [лк]; Системы естественного освещения
Эти величины в соответствии со СНиП II-4-79 (Строительные нормы и правила. Естественное и искусственное освещение. Нормы проектирования -М, Стройиздат, 1980) нормируются. Для выбора естественного освещения необходимо учитывать следующие факторы:
В зав-ти от величины объекта различения с фоном все зрительные работы подразделяются на 8 разрядов. Разряд зрительной работы — отношение минимального размера объекта различения с фоном к расстоянию от органов зрения до объекта различения. Искусственное освещение — освещение помещ. прямым или отраженным светом искусств. источника света За основу при нормировании принимается минимально доп. величина освещенности к-либо точки. Системы искусственного освещения общее; местное (локальное); комбинированное Может быть использовано в производственных помещениях общее и комбинированное, а одно местное использовать нельзя. Имеет место также освещение: - аварийное; - дежурное; - эвакуационное. СНиП II-4-79 Факторы, учитываемые при нормировании искусственного освещения:
Подразряд зрит. работы определ. сочетанием п.4 и п.5. Методика расчета естественного освещения Используется метод А.Д.Данилюка. Определяется площадь поверхности оконных премов. Медодика расчета искусственного освещения
Метод светового потока Задача. Определить освещенность на раб. месте Е РМ = (0,9 - 1,2) Е Н Для этого необходимо выбрать:
Формула для определения светового потока лампы или группы ламп
Е - нормируемая величина освещенности [лк]; S - площадь производственного помещения [м 2 ]; К - коэф. запаса; N - кол-во светильников [шт]; Z - поправочный коэф-т, зависит от типа лампы h - коэф-т использования светового потока, для выбора которого необходимо знать: - коэф. отражения от стен и потолка (r С , r П ); - индекс помещения - i
Н Р - высота подвеса светильников над раб. пов-тью; (А+В) - полупериметр помещения Для ЛЛ ламп, зная групповой световой поток F и кол-во ламп в сетильнике n (2 или 4), определим световой поток одной лампы. F РАСЧ = (0,9 - 1,2) F ТАБЛ Распределение светильников по площади производственного помещения. Для ЛЛ — вдоль длинной стороны помещения, вдоль окон, параллельно стенам с окнами. Для ЛН, ДРЛ — в шахматном порядке.
Приборы конроля Производственный шум Шум — сочетание различных по частоте и силе звуков Звук — колебания частиц воздушной среды, которые воспринимаются органами слуха человека, в направлении их распространения. Слышимый шум — 20 - 20000 Гц, ультразвуковой диапазон — свыше 20 кГц, инфразвук — меньше 20 Гц, устойчивый слышимый звук — 1000 Гц - 3000 Гц Вредное воздействие шума:
Физические характеристики шума
Интенсивность — кол-во энергии, переносимое звуковой волной за 1 с через площадь в 1 м 2 , перпендикулярно распространению звуковой волны. Звуковое давление — дополнительное давление воздуха, которое возникает при прохождении через него звуковой волны. Учитывая протяженный частотный диапазон (20-20000 Гц) при оценки источника шума, используется логарифмический показатель, который называется уровнем интенсивности .
J - интенсивность в точке измерения [Вт/м 2 ] J 0 - величина, которая равна порогу слышимости 10 -12 [Вт/м 2 ] При расчетах и нормировании используется показатель — уровень звукового давления .
Р - звуковое давление в точке измерения [Па]; Р 0 - пороговое значение 2Ч 10 -5 [Па] При оценке источника шума и нормировании испол-ся логарифмический уровень звука.
Р А - звуковое давление в точке измерения по шкале А прибора шумомера, т.е. на шкале 1000 Гц. Спектр шума — зав-ть уровня звук. давл-я от частоты. Спектры бывают: - дискретные; - сплошные; - тональный. В производственном помещении обычно бывают несколько источников шума. Для оценки источника шума одинаковых по своему уровню: Lе = L i + 10 lgn L i - уровень звук. давления одного из источников [дБ]; n - кол-во источников шума Если кол-во источников меняется от 1-100, а L i = 80 дБ n = 1 L = 80 дБ n = 10 L = 90 дБ n = 100 L = 100 дБ Для оценки источников шума различных по своему уровню: Lе = L max + D L L max - максимальный уровень звукового давления одного из 2-х источников; D L - поправка, зависящая от разности между max и min уровнем давления
Октава — полоса частот с границами f 1 - f 2 , где f 2 /f 1 = 2.
Среднегеометрическая частота
— f
СТ
=
Весь спектр разбит на 8 октавных полос: 45-90; 90-180; 180-360 ... 5600-11200. Среднегеометрические частоты октавных полос: 63 125 250 ... 8000 Звуковой комфорт — 20 дБ; шум проезжей части улицы — 60 дБ; интенсивное движение — 80 дБ; работа пылесоса — 75-80 дБ; шум в метро — 90-100 дБ; концерт — 120 дБ; взлет самолета — 145-150 дБ; взрыв атомной бомбы — 200 дБ Нормативным докум. является ГОСТ 12.1.003-83 ССБТ. 1 метод. Нормирование по уровню звукового давления. 2 метод. Нормирование по уровню звука. По 1 методу дополнительный уровень звукового давления на раб. местах (смена 8 ч) устанавливается для октавных полос со средними геом. частотами, т.е. нормируется с учетом спектра. По 2 методу дополнит. уровень звука на раб. местах устанавливается по общему уровню звука, определенного по шкале А шумометра, т.е. на частоте 1000 Гц. Нормы шума для помещений лабораторий
Доп. уровень звука в жилой застройке с 7 00 -23 00 не более 40 дБА, с 23 00 -7 00 — 30 дБА. I группа - Строительно-планировочная II группа - Конструктивная III группа - Снижение шума в источнике его возникновения IV группа - Организационные мероприятия I группа. Строительно-планировочная Использование определенных строительных материалов связано с этом проектирования. В ИВЦ — аккустическая обработка помещения (облицовка пористыми аккустическими панелями). Для защиты окр. среды от шума используются лесные насаждения. Снижается уровень звука от 5-40 дБА. II группа. Конструктивная
Аккустическая обработка помещ. (звукопоглащение). Можно снизить уровень звука до 45 дБА. Можно снизить уровень звука до 30-50 дБА. III группа. Снижение шума в источнике его возникновения Самый эффективный метод, возможен на этапе проектирования. Используются композитные материалы 2-х слойные. Снижение: 20-60 дБА. IV групп а. Организационные мероприятия
Снижение: 5-10 дБА. Если уровень шума не снижается в пределах нормы, используются индивидуальные средства защиты (наушники, шлемофоны). Приборы контроля: - шумомеры; - виброаккустический комплекс — RFT, ВШВ. Инфразвук Инфразвук — колебание звуковой волны > 20 Гц. Природа возникновения инфразвуковых колебаний такая же как и у слышимого звука. Подчиняется тем же закономерностям. Используется такой же математический аппарат, кроме понятия, связанного с уровнем звука. Особенности: малое поглощение эн., значит распространяется на значительные расстояния. Источники инфразвука: оборудование, которое работает с частотой циклов менее 20 в секунду. Вредное воздействие: действует на центр. нервную систему (страх, тревога, покачивание, т.д.) Диапазон инфразвуковых колебаний совпадает с внутренней частотой отдельных органов человека (6-8 Гц), следовательно, из-за резонанса могут возникнуть тяжелые последствия. Увеличение звукового давления до 150 дБА приводит к изменению пищеварительных функций и сердечному ритму. Возможна потеря слуха и зрения. СН 22-74-80. Нормативным параметром являются логарифмические уровни звукового давления в октавных полосах со ср. геом. частотой: 2, 4, 8, 16 Гц Ј 105 дБА 32 Гц Ј 102 дБА
Шумомеры типа ШВК с фильтром ФЭ-2. Виброаккустическая аппаратура типа RFT. Ультразвук — колебание звуковой волны < кГц. Используется в оптике (для обезжирования, ...) — Низкочастотные ультразвуковые колебания распространяются воздушным и контактным путем. — Высокочастотные - контактным путем. Вредное воздействие — на сердечно-сосудистую систему; нервную систему; эндокринную систему; нарушение терморегуляции и обмена веществ. Местное воздействие может привести к онемению. ГОСТ 12.1.001-89. Нормируются логарифмические уровни звукового давления в октавных полосах: 12,5 кГц не более 80 дБА 20 кГц 90 дБА 25 кГц 105 дБА от 31-100 кГц 110 дБА
Приборы контр.: виброаккустическая система типа RFT. Вибрация — механические колебания материальных точек или тел. Источники вибраций: разное производственное оборудование. Причина появления вибрации: неуровновешенное силовое воздействие. Вр. воздействия: повреждения различных органов и тканей; влияние на центр. нервную систему; влияние на органы слуха и зрения; повышение утомляемости. Более вредная вибрация, близкая к собственной частоте человеческого тела (6-8 Гц) и рук (30-80 Гц).
V 0 - пороговое значение колебательной скорости (V 0 = 5Ч 10 -8 м/с) По способу передачи вибрации на человека: - общая; - локальная (ноги или руки). По источнику возникновения : - транспортная; - технологическая; - трансп.-технологич-я. I направление. Санитарно-гигиеническое. II направление. Техническое (защита оборудования). ГОСТ 12.1.012-90 ССБТ Вибрационная безопасность.
Октава f
1¬ ®
f
2
, f
2
/f
1
=2, f
СР
=
При санитарно-гигиеническом нормировании разных видов вибрации используется логарифмический уровень виброскорости в октавных полосах ср. геом. частот. Граничные частоты октавных полос: 1,4-2,8 2,8-5,6 5,6-11,2 ... 45-90 2 4 8 63 ср. геом. частоты
Спектр электромагнитного излучения
l = 1 — 400 нм. Особенности : По способу генерации относятся к тепл. излуч., и по хар-ру воздействия на в-ва к ионизирующим излучениям. Диапазон разбивается на 3 области :
УФ — А приводит к флюаресценции. УФ — В вызывает изменения в составе крови, кожи, воздействует на нервную систему. УФ — С действует на клетки. Вызыв. коагуляцию белков. Действуя на слизистую оболочку глаз, приводит к электро-офтамии. Может вызвать помутнее хрусталика. Источники УФ излучения:
С учетом оптико-физиологических св-в глаза, а также областей УФ излучений (волновые) установлены: допустимая плотность потока эн., которой обеспечивают защиту пов-тей кожи и органов зрения. УФ-А не более 10; УФ-В не более 0,005; УФ-С не более 0,001 [Вт/м 2 ]
Средства индивидуальной защиты
Приборы контроля: радиометры, дозиметры. Лазерное излучение: l = 0,2 - 1000 мкм. Осн. источник - оптический квантовый генератор (лазер). Особенности лазерного излучения - монохроматичность; острая направленность пучка; когкрентность. Свойства лазерного излучения: высокая плотность энергии: 10 10 -10 12 Дж/см 2 , высокая плотность мощности : 10 20 -10 22 Вт/см 2 . По виду излучение лазерное излучение подразд-ся: — прямое излучение; рассеяное; зеркально-отраженное; диффузное. По степени опасности:
Биологические действия лазерного излучения зависит от длины волны и интенсивности излучения, поэтому весь диапазон длин волн делится на области:
Опасные и вредные факторы при эксплуатации лазеров.
Вредные воздействия лазерного излучения.
Вредные воздействия оказывает на органы зрения, а также имеют место биологические эффекты при облучении кожи. Нормирование лазерного излучения. CH 23- 92- 81 Нормируемый пораметр — предельно - допустимый уровень(ПДУ) лазерного излучения при l =0.2-20 мкм и кроме этого регламентируется ПДУ на роговице, сетчетке, коже. ПДУ — отношение энергии излучения, падающей на определенные участки поверхности к площади этого участка [Дж/см 2 ] ПДУ зависит от:
Меры защиты от воздействия лазерного излучения
Наиболее распространенным из технических мер явл : экранирование(рабочее место, лазерное излучение) блокировка, с помощью которых, лазер приводится в рабочее положение если экран на месте. Аппаратура контроля: лазерные дозиметры. 760 нм — 540 мкм. Поддиапазоны : А — коротко-волновая область ИФ изл. 760 — 1500 н/м.
Истинным ИФ излучением явл. нагретые поверхн.(> 0° С). ИФ излучения играют важную роль в теплообмене человека с окружающей средой Ю терморегуляции организма человека. В области А ИФ излучение обладает следующими вредными воздействиями :
Воздействие ИФ излучения оценивается плотностью потока энергии на рабочем месте. ГОСТ 12.1.005 — 88 Общие санитарно-гигиенические требования в области рабочей зоны. Область ИФ излучения.
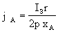
Защита от воздействия ИФ излучения. Источник возникновения — пром. установки, радиотехнич. объекты, мед. апп., уст-ки пищ. пром-ти. Характеристики эл.магнитного поля: l = V C /f, где V C = 3Ч 10 м/с Номенклатура диапазонов частот (длин волн) по регламенту радиосвязи:
Эл. магн. поля НЧ часто используются в промышленном производстве (установках) - термическая обработка. ВЧ — радиосвязь, медицина, ТВ, радиовещание. УВЧ — радиолокация, навигация, мед., пищ. пром-ть. Пространство вокруг источника эл. поля условно подразделяется на зоны: — ближнего (зону индукции); — дальнего (зону излучения). Граница между зонами является величина: R=l /2p . В зависимости от расположения зоны, характеристиками эл.магн. поля является: — в ближней зоне ® составляющая вектора напряженности эл. поля [В/м] составляющая вектора напряженности магн. поля [А/м] — в дальней зоне ® используется энергетическая характеристика: интенсивность плотности потока энергии [Вт/м 2 ],[мкВт/см 2 ]. Вредное воздействие эл. магнитных полей Эл. магн. поле большой интенсивности приводит к перегреву тканей, воздействует на органы зрения и органы половой сферы. Умеренной интенсивности: нарушение д-ти центральной нервной системы; сердечно-сосудистой; нарушаются биологические процессы в тканях и клетках. Малой интенсивности: повышение утомляемости, головные боли; выпадение волос. ГОСТ 12.1.006-84 Нормируемым параметром эл. магн. поля в диапазоне частот 60 кГц-300 МГц является предельно-допустимое значение составляющих напряженностей эл. и магнитных полей.
ЭН ЕПД - предельно-допустимая энергетическая нагрузка составляющей напряженности эл. поля в течение раб. дня [(В/м) 2Ч ч] ЭН НПД - предельно-допустимая энергетическая нагрузка составляющей напряженности магн. поля в течение раб. дня [(А/м) 2Ч ч] Нормируемым параметром эл. магн. поля в диапазоне частот 300 МГц-300 ГГц является предельно-допустимое значение плотности потока энергии.
ППЭ ПД - предельное значение плотности потока энергии [Вт/м 2 ],[мкВт/см 2 ] К - коэф. ослабления биологических эффектов ЭН ППЭПД - пред-доп. величина эн. нагрузки [В/м 2Ч ч] Т - время действия [ч] Пред. величина ППЭ пд не более 10 Вт/м 2 ; 1000 мкВт/см 2 в производственном помещении. В жилой застройке при круглосуточном облучении в соответствии с СН Ю ППЭ пд не более 5 мкВт/см 2 . Мероприятия по защите от воздействия электромагнитных полей. Ионизирующее излучение — излучение, взаимодействие которого со средой приводит к возникновению ионов различных знаков. Характеристики ионизирующего излучения
1 Зв=1Гр/Q, где Q - коэф. качества (зависит от биологического эффекта ИИ).
Активностью радионуклида назыв. величина, к-ая хар-ся числом распада радионуклидов в ед. времени или числом радиопревращений в ед. времени. [Беккерель — Бк] Виды и источники ИИ в бытовой, произв. и окружающей среде: К ИИ относится: — корпускулярная (a , b нейтроны); — (g ,лент,электромагн.) По ионизирующей способности наиболее опасно a излучение, особенно для внутреннего излучения (внутр. органы, проникая с воздухом и пищей). Внешнее излучение действует на весь организм человека. Фоновое облучение организма человека создается космическим излучением, искуственными и естественными радиоактивными веществами, которые содержатся в теле человека и окружающей среде. Фоновое облучение включает: 1) Доза от космического облучения; 2) Доза от природных источников; 3) Доза от источников, испускающих в окружающую среду и в быту; 4) Технологически повышенный радиационный фон; 5) Доза облучения от испытания ядерного оружия; 6) Доза облучения от выбросов АЭС; 7) Доза облучения, получаемая при медицинских обследованиях и радиотерапии; Эквивалентная доза — от космического облучения — 300 мкЗв/год. В биосфере Земли находится примерно 60 радиоактивных нуклидов. Эффективность дозы облучения ТЭЦ в 5 - 10 раз выше, чем АЭС в увеличении фона. При полете в самолете на высоте 8 км дополнительное облучение составляет 1,35 мкЗв/год. Цветной телевизор на расстоянии 2,5 метра от экрана 0,0025 мкЗв/час, 5 см. от экрана — 100 мкЗв/час. Ср. эквивалентная доза облучения при медицинских исследованиях 25 - 40 мкЗв/год. Дополнительные дозы облучения 0,5 млБэр/час на расст. 5 м. от бытовой аппаратуры 28 млРент/час. Биологическое действие геонизир. изл. 1. Первичные (возникают в молекулах ткани и живых клеток) 2. Нарушение функций всего организма Наиболее ралиочувствительными органами являются: — костный мозг; — половая сфера; — селезенка Изменения на клеточном уровне различают:
Период восстановления продолжается 3-4 месяца. Повышенной опасностью обладают радионуклиды, попавшие внутрь (с пищей, воздухом, водой). Наиболее опасен воздушный путь (за 6 ч. вдыхает 9 м воздуха, 2,2 л воды). Биологические периоды выведения радионуклидов из внутренних органов колеблется от нескольких десятков суток до бесконечности. Ґ Стронций — 90; Несколько десятков суток ® C 14 ,Na 24 Нормы радиоционной безопасности (НРБ — 76/78) Регламентируются 3 категории облучаемых лиц: А — персонал, связей с источником ИИ; Б — персонал (ограниченная часть населения), находящихся вблизи источника ИИ; В — население района, края, области, республики. Группа критических органов (по мере уменьшения чувствительности): Основные дозовые пределы, допустимые и контрольные уровни, которые приводятся в НРБ — 76/78 установлены для лиц категории А и Б. Нормы радиационной безопасности для категории В не установлены, а ограничение облучений осуществляются регламентацией или контролем радиоакт. объектов окр. среды. А дозовый предел — ПДД - наибольшее значение индивидуальной эквивалентной дозы за календарный год, которое при равномерном воздействии в течении 50 лет не вызывает отклонении в состоянии здоровья обслуживающего персонала, обнаруживаемые современными методами исследования. Б дозовый предел — ПД - основной дозовый предел, который при равномерном облучении в течение 70 лет не вызывает отклонений у обслуживающего персонала, обнаруживаемые современными методами исследования. Основные дозовые пределы для категорий А и Б:
Основные санитарные правила (ОСП) работы с источниками ионизирующих излучений ОСП 72/78 — нормативный документ Включает: Проектированние защиты от внешнего ионизирующего излучения, рассчитанные по мощности экспозиционной дозы, коэф. защиты равен 2. Все работы с открытыми источниками радиокт. веществ подразделяются на три класса: I. (самый опасный). Работа осуществляется дистанционно. Работа с ист. III-го класса осуществляется при использовании систем местной вентиляции (вытяжные шкафы). Работа с источником II-го класса осуществляется в отдельно расположенных помещениях, которые имеют специально оборудованный вход (душевой и средства проведения радиоционного контроля). При выполнении работ с веществами I, II и III классов проведение радиационного контроля обязательно. Методы защиты от ионизирующих излучений Основные методы: 1) Метод защиты количеством, т.е. по возможности снижение нормы дозы облучения. 2) Защита временем 3) Экранирование (свинец, бетон) 4) Защита расстоянием Приборы радиационново контроля. Приборы для измерения или контроля подраздел. на:
Требования к проведению радиационного контроля в ОСП 72/78. Горение — химическая реакция, которая сопровождается выделением тепла и света. Для осуществления горения необходимо:
Если реч идёт о горючих веществах, то степень пожарной опасности горючих веществ характерезуется:
По температуре вспышке горючие вещества делятся на:
Температура вспышки — минимальная температура, при к-ой над пов-тью ж-ти образуется смесь паров этой жидкости с воздухом, способная гореть при поднесении открытого источника огня. Процесс горения прекращаяется после удаления этого источника. Температура воспламенения — миним. т-ра, при к-ой в-во загорается от открытого источника огня и продолжает гореть после его удаления. Температура самовоспламенения — миним. т-ра, при к-ой происходит его воспламенение на воздухе за счет тепла химической реакции без поднесения открытого источника огня. Горючие газы и пыль имеют концентрационные пределы взрываемости. Классификация помещений и зданий по степени взрывопожарноопасности. ОНТП 24-85 Все помещения и здания подразделяются на 5 категорий: А - взрывопожароопасные. Та категория, в которой осуществляются технологические процессы, связанные с выделением горючих газов, ЛВЖ с т-рой вспышки паров до 28 ° С, t ВСП Ј 28 ° С; Р - свыше 5 кПа. Б - помещения, где осуществляются технологические процессы с использованием ЛВЖ с температурой вспышки свыше 28 ° С, способные образовывать взрывоопасные и пожароопасные смеси при воспламенении которых образуется избыточное расчетное давление взрыва свыше 5 кПа. t ВСП > 28 ° С; Р - свыше 5 кПа. В - помещения и здания, где обращаются технологические процессы с использованием горючих и трудногорючих жидкостей, твердых горючих веществ, которые при взаим-вии друг с другом или кислородом воздуха способны только гореть. При условии, что эти вещества не относятся ни к А, ни к Б. Эта категория — пожароопасная. Г - помещения и здания, где обращаются технологические процессы с использованием негорючих веществ и материалов в горячем, раскаленном или расплавленном состоянии (например, стекловаренные печи). Д - помещения и здания, где обращаются технологические процессы с использованием твердых негорючих веществ и материалов в холодном состоянии (механическая обработка металлов). Причины возникновения пожаров, связанные со специальностью студентов При эксплуатации ЭВМ возможны возникновения следующих аварийных ситуаций:
При возникновении аварийных ситуаций происходит резкое выделение тепловой энергии, которая может явиться причиной возникновения пожара. На долю пожаров, возникающих в эл. установках приходится 20%. Статистические данные о пожарах Основные причины: % - короткое замыкание 43 - перегрузки проводов/кабелей 13 - образование переходных сопротивлений 5 Режим короткого замыкания — появление в результате резкого возрастания силы тока, эл. искр, частиц расплавленного металла, эл. дуги, открытого огня, воспламенившейся изоляции. Причины возникновения короткого замыкания:
Пожарная опасность при перегрузках — чрезмерное нагревание отдельных элементов, которое может происходить при ошибках роектирования в случае длительного прохождения тока, превышающего номинальное значение. При 1,5 кратном превышении мощности резисторы нагреваются до 200-300 ° С. Пожарная опасность переходных сопротивлений — возможность воспламенения изоляции или др. близлежащих горючих материалов от тепла, возникающего в месте авар. сопротивления (в переходных клемах, переключателях и др.). Пожарная опасность перенапряжения — нагревание токоведущих частей за счет увеличения токов, проходящих через них, за счет увеличения перенапряжения между отдельными элементами электроустановок. Возникает при выходе из строя или изменении параметров отдельных элементов. Пожарная опасность токов утечки — локальный нагрев изоляции между отдельными токоведущими элементами и заземленными конструкциями. Классификация взрыво- и пожароопасных зон помещения в соотв-вии с ПУЭ Для обеспечения конструктивного соответствия эл. технических изделий правила устройства эл. установок — ПУЭ-85 выделяется пожаро- и врывоопасные зоны. Пожароопасные зоны — пространства в помещении или вне его, в котором находятся горючие вещества как при нормальном осуществлении технологического процесса, так и в результате его нарушения. Зоны: П-I - помещения, в которых обращаются горючие жидкости с т-рой вспышки паров свыше 61 ° С. П-II - помещ., в к-ых выделяются горючие пыли с нижних концентрационных пределах возгораемости > 65 г/м 3 . П-IIа - помещения, в которых обращаются твердые горючие вещества. П-III - пожароопасная зона вне помещения, к которой выделяются горючие ж-ти с т-ой вспышки более 61 ° С или горючие пыли с нижним концентрационным пределом возгораемости более 65 г/м 3 . Взрывоопасные зоны — помещения или часть его или вне помещения, где образуются взрывоопасные смеси как при нормальном протекании технологического процесса, так и в аврийных ситуациях. Для газов: В-I - помещения, в которых образуются горючие газы или пары ЛВЖ, способные образовывать взрывоопасные смеси в нормальном режиме работы. В-Iа - помещения, в которых образуются горючие газы или пары ЛВЖ, способные образовывать взрывоопасные смеси в аварийном режиме работы. В-Iб - зоны, аналогичные В-Iа, но процесс образования взрывооп. смесей в небольших кол-вах и работа с ними осущ-ся без открытого источника огня. В-Iв - зоны, аналогичные В-I, только процесс образования взрывоопасных смесе в небольших колическтвах и работа с ними осуществляется без открытого источника огня. В-Iг - зоны вне помещения (вокруг наружных эл. установок), в которых образуются горючие газы или пары ЛВЖ, способные образовывать взрывоопасные смеси в аварийном режиме работы. Для паров: В-II - взрывоопасная зона, которая имеет место при осуществлении операций технологического процесса при выделении горючих смесей при нормальном режиме работы. В-IIа - взрывоопасная зона, которая имеет место при осуществлении операций технологического процесса при выделении горючих смесей при аврийном режиме работы.
Строительно-планировочные определяются огнестойкостью зданий и сооружений (выбор материалов конструкций: сгораемые, несгораемые, трудносгораемые) и предел огнестойкости — это количество времениЁ в течение которого под воздействием огня не нарушается несущая способность строительных конструкций вплоть до появления первой трещины. Все строительные конструкции по пределу огнестойкости подразделяются на 8 степеней от 1/7 ч до 2ч. Для помещений ВЦ используются материалы с пределом стойкости от 1-5 степеней. В зависимости от степени огнестойкости опрё наибольшие дополнительные расстояния от выходов для эвакуации при пожарах (5 степень — 50 м). Технические меры — это соблюдение противопожарных норм при эвакуации систем вентиляции, отопления, освещения, эл. обеспечения и т.д. — использование разнообразных защитных систем; — соблюдение параметров технологических процессов и режимов работы оборудования. Организационные меры — проведение обучения по пожарной безопасноти, соблюдение мер по пожарной безопасноти. Способы и средства тушения пожаров
Огнегасительные вещества: вода, песок, пена, порошок, газообразные вещества не поддерживающие горение (хладон), инертные газы, пар. Средства пожаротушения: Для осуществления тушения загорания водой в системе автоматического пожаротушения используются устр-ва спринклеры и дренкеры . Их недостаток — распыление происходит на площади до 15 м 2 . Способ соединения датчиков в системе эл. пожарной сигнализации с приемной станцией м.б. — параллельным (лучевым); — последовательным (шлейфным).
Классификация пожаров и рекомендуемые огнегасительные вещества
Организация пожарной охраны на предприятии Военизированная структура, которая подчиняется МВД. Ответственный директор, гл. инженер. В ведении гл. инженера находится пожаро-техническая комиссия, которую он возглавляет. Безопасность оборудования и производственные процессы Эксплуатация любого вида оборудования связана потенциально с наличием тех или иных опасных или вредных производственных факторов. Основные направления создания безопасных и безвредных условий труда.
Цели механизации : создание безопасных и безвредных условий труда при выполнении определенной операции. Исключение человека из сферы труда обеспечивается при использовании РТК, создание которых требует высоко научно-технического потенциала на этапе как проектирования, так и на этапе изгот-я и обслуживания, отсюда значительные капитальные затраты. Требования безопасности при проектировании машин и механизмов ГОСТ 12.2... ССБТ Требования направлены на обеспечение безопасности, надежности, удобства в эксплуатации. Безопасность машин опред. отсутствием возможности изменения переметров технологич. процесса или конструктивных параметров машин, что позволяет исключить возм-ть возникновения опасн. факторов. Надежность определяется вероятностью нарушения нормальной работы, что приводит к возникновению опасных факторов и чрезвычайных (аврийных) ситуаций. На этапе проектирования, надежность определяется правильным выбором конструктивных параметров, а также устройств автоматического управления и регулирования. Удобства эксплуатации определяются психо-физиологическим состоянием обслуж. персонала. На этапе проектирования удобства в эксплуатации определяются правильным выбором дизайна машин и правильно-спроектированным РМ пользователя. ГОСТ 12.2.032-78 ССБТ. Рабочее место при выполнении работ сидя. Общие эргономические требования. ГОСТ 12.2.033-78 ССБТ. Рабочее место при выполнении работ стоя. Общие эргономические требования.
Опасные зоны оборудования и средства защиты от них Опасная зона оборудования — производство, в котором потенциально возможно действие на работающего опасных и вредных факторов и как следствие - действие вредных факторов, приводящих к заболеванию. Опасность локализована вокруг перемещающихся частей оборудования или вблизи действия источников различных видов излучения. Размеры опасных зон могут быть постоянные, когда стабильны расстояния между рабочими органами машины и переменно. Ср-ва защиты от воздействия опасных зон оборудования подразделяется на: коллективные и индивидуальные. Средства специальной защиты, которые обеспечивают защиту систем вентиляции, отопления, освещения в опасных зонах оборудования. Каждая промышленная структура имеет систему водоснабжения и водоотведения. Предпочтение отдается системе оборотного водоснабжения (т.е. часть воды используется в технических операциях, очищается и поступает вновь, а часть сбрасывается. Система водоотведения предусматривает систему канализации, которая включает устройства в том числе и очистные. На территории предприятия различают 3 вида сточных вод: — производственные (техн. процессы); — бытовые (хоз. нужды); — поверхностные (осадки). Нормирование содержания вредных веществ в сточных водах Содержание вредных и ядовитых веществ регламентируется по лимитирующему показателю вредности (ЛПВ), т.е. наиболее вероятное неблагоприятное воздействие каждого вредного вещества. Для водоемов питьевого и культурного назначения существует 3 ЛПВ: Для водоемов рыбохозяйственного назначения 2 ЛПВ: Основным эл-ом водно-санитарного законодательства является ПДК в воде. Все в-ва по ПДК подразделяются: Органолептические свойства — характеризуются наличием запаха, привкуса, цветности, мутности. Нормативный документ СН 46.30-88. Санитарные нормы и правила охраны поверхностных вод от загрязнений. Методы очистки сточ. вод от загрязнений В зависимости от характера загрязнения сточных вод существуют группы методов для очистки вод от: — твердых нерастворимых примесей; — маслосодержащих примесей; — растворимых примесей; — биологическая очистка. Очистка от твердых примесей
Методы и ср-ва очистки сточ. вод от маслосодерж. прим.
Очистка сточ. вод от раствор. примесей (хим. очистка) Биологическая очистка сточных вод Очистка от органических и неорганических примесей. Процесс очистки осуществляется с помощью биоценоза, в котором участвуют 2 вида бактерий: автотрофы и гетеротрофы, под действием которых осуществляется процесс разложения примесей. При этом протекает восстановительный процесс, называемый аэробным и окислительный — анаэробным. Поэтому аппаратурное обеспечение этих методов следующее: аэротенки; афтотенки; фильтры; комбинация устройств. Осущ-ся как у исходных сточных вод, так и у очищенных. Для осуществления контроля отбирается проба, отстаивается 12 часов и затем определяется кислотный показатель рН, кол-во взвешенных частиц, концентрация кислорода, химическое потребление кислорода (ХПК), биологическое потребление кислорода (БПК), концентрация вредных веществ, цениваемая по ПДК. Отходы образуются как при выполн. технологического процесса, так и после окончания срока эксплуатации техники, приборов, ВТ, оборудования и т.д. Все виды отходов, которые образуются в этом случае, подразделяются на группы: твердые, жидкие. Твердые отходы Жидкие отходы Отрицательное воздействие на природу Основные технологические схемы переработки твердых отходов Переработка твердых отходов осуществляется по двум направлениям: переработка несгораемых материалов (предусматривает предварительный этап сортировки); переработка сгораемых материалов. Технологическая схема переработки чистых металлопродуктов
Схема 2 предусматривает переработку материалов, которые имеют сопутствующи материалы (пластмассы, резину, картон и т.д.) Переработка твердых металических отходов, содержащих сопутствующие материалы
Переработка сгораемых материалов Строится по технологии сжигания и извлечения материалов для последующего использования. Для этого используется метод пиролиза и реализуется в пиролизном реакторе. Существует технологическая схема получения биогаза из отходов, который может быть использован в качестве топлива на автотранспорте. Загрязнение литосферы комп. ломом В наст. вр. в США эксплуатир-ся порядка 70 млн. компьютеров, в Германии — 11 млн., в России — 7,5. Загрязнение литосферы комп. ломом связано с тем, что комп. техника быстро устаревает. Производство ПК обновляется 1 раз в 7 лет. По международным меркам комп. технику необходимо заменять 1 раз в 3 года. Из 1 т комп. лома извлекается: черных металлов - 480 кг, меди - 200 кг, алюминия - 32 кг, серебра - 3 кг, золота - 1 кг, паладия - 0,3 кг, галий, водолиний, олово, Направления по переработке коип. лома: В США изготовители создают технику с малым потреблением энергии, в Германии — создают ПК, в которых упрощается процесс утилизации отдельных блоков, в Швеции — создание элементов, которые имеют минимально допустимые источники различных видо излучения. Ежегодно перерабатывается 50 тыс. ПЭВМ. Технологическая схема переработки печатных плат
Зарубежные нормативы по экологии ПК Существуют два пути современного мониторинга: Естественный путь — характеризуется плавностью, замедленностью, колебания которые возникают на этом пути развития незаметны (например, климатические условия: температура в долях ° С, кругооборот веществ в природе). Антропогенный (искусственный) путь — характеризуется быстрымми изменениями как в целом, так и в отдельных регионах, причем для данного пути развития рассматриваются намеренные (позитивные) направления (разработка полезных ископаемых, развитие теплоэнергетики), так и ненамеренное (или негативное направление): загрязнение атмосферы воздуха, отторжение лесных территорий, образование свалов и т.д. При попытке разделить естественный и антропогенный пути развития возник экологический мониторинг. Экологический мониториг — это информационная система, созданная с целью наблюдения прогнозов изменений в окружающей среде, для того, чтобы выделить антропогенную составляющую на фоне остальных природных процессов.
На основе этой системы создана общегосударственная система наблюдения и контроля за состоянием окружающей Среды. Исполнительным органом является министерство экологии и природных ресурсов (возглавляет Данилов-Данильян). Принципы, положенные в организацию системы:
Кроме экологического мониторинга, существуют другие виды мониторингов: геохимический, генетический, биологический, медико-биологический, климатический. Нормативы, используемые для оценки полученной информации называется ПДЭН (предельно допустимая экологическая нагрузка). ПДЭН — воздействие (совокупность воздействий), которые или не влияют на качество окружающей Среды или изменяют его (качество) в допустимых пределах (т.е. не разрушая эко-систему и не вызывая отрицательных последствий у живых существ, в первую очередь у человека. Виды воздействий:
Для первых 3-х видов можно проводить оптим-цию. Для оценки результатов экологического мониторинга используются санитарно-гигиеническое нормирование: воздух — ПДК РЗ , ПДК СС , ПДК МР вода — ПДК ПИТ. ВОДЫ , ПДК ВОДЫ ВРЕМЕН , ПДК ВОДЫ почва — ПДК ПОЧВЫ , ВДК (ВРЕМ).ПОЧВЫ ВДК — научно-технические нормативы. Они подбираются таким образом, чтобы на этапе разработки новых технологий или при совершенствовании старых технологий, воздействие на эту систему не превышало ПДЭН. Существуют автоматизированные системы контроля воды и воздуха: воды — АНКОС-В, воздух — АНКОС-А. Экологический паспорт предприятия Это документ, который есть на каждом предприятии, составляется в соответствии с ГОСТ 17.0.0.04-90 Экологический паспорт предприятия. Общие положения. В этом документе имеют место фактические данные о воздействии данной структуры на атмосферный воздух и оценка этих выбросов, воздействие на литосферу (виды отходов) и оценка. Пути захоронения этих отходов, транспортные сети (контроль за состояние транспорта), энерг. сети, контроль за энергетическими выбросами. Данные экологического паспорта должны обновляться дважды в год. Если есть отклонения в ведении документа или нарушения экологии, то взимается штраф. Экологическая экспертиза проектов Экологическая экспертиза проводится как на этапе ввода в действие новых технологический решений, так на этапе реконструкции старых. Порядок проведения экологической экспертизы осуществляется в соответствии с положением Роскомгидромета. Техносфера, которая создана человеком для защиты от внешних опасностей по мере эволюции пр-ва, сама становится источ. опасности. Необходимо предусматривать ряд мер для защиты от них, а также научится прогнозировать появление такого рода опасностей. Переход от примитивного оборудования, безопасность при эксплуатации которого решалась в рамках охраны труда, к автоматизированным системам управления производственными процессами предусматривает создание теории безопасности, которое базируется на дисциплинах: экология, охрана труда, математика, физика, специальные дисциплины. В решении вопросов теории чрезвычайных ситуаций в свое время находилась космонавтика. Аксиома о потенциальной опасности деятельности человека Всякая деятельность потенциально опасна! Критерием (колическтвенной оценкой) опасности является понятие риска. Риск — отношение числа тех неблагоприятных событий или проявлений опасности к возможному числу за определенный период времени. Риск гибели вследствии аварий, несчастных случаев и т.д. 1,5Ч 10 -3 , у летчиков — 10 -2 . Под безопасностью понимается такое состояние деятельности, при котором с некоторй вероятностью (риском) исключается реализация потенциальной опасности. Поэтому возникают вопросы, связанные с реглпментированием риска. Нормированный (приемлемый) риск равен 10 -6 . Фактический риск в 100 и 1000 раз превышает приемлемый. Нормативный показатель приемлевого риска не остается постоянным. БЖД можно определить как область знаний, изучающая безопасности и защиту от них. Задачи БЖД: Классификация и общие характеристики чрезвычайных ситуаций Чрезвычайная ситуация — внешне неожиданная, внезапно возникающая обстановка, к-ая хар-ся резким нарушением установившегося процесса, оказывающая значительное отрицательное влияние на жизнедеятельность людей, функционирование экономики, социальную сферу и окружающую среду. Классификация: местные (локальные); объектные; региональные; национальные; глобальные. внезапные; умеренные; плавные (ползучие); быстрораспространяющиеся. Последствия чрезвычайных ситуаций разнообразны: затопления, разрушения, радиактивное заражения, и т.д. Условия возникновения ЧС.
Стадии развития ЧС. 1 этап.Стадия накопления тех или иных видов дефекта. Продолжительность: несколько секунд — десятки лет. 2 этап. Инициирование ЧС. 3 этап. Процесс развития ЧС, в результате которого происходит высвобождение факторов риска. 4 этап. Стадия затухания. Продолжительность: несколько секунд — десятки лет. Принципы обеспечения БЖД в ЧС. Безопасность обеспечивается тремя способами защиты: эвакуация; использование средств индивидуальной защиты; использование средств коллективной защиты. Затраты на снижение риска аварий м.б. распределены: Методика измерения риска имеет 4 подхода. Ударная волна, параметры, единицы измерения, особенности воздействия, способы защиты. Очаг поражения — территории, к-ые подвергаются воздействию взрыва. В пределах очага пораж. — полное, сильное, частичное и слабое разрушения; за пределами возник. пожары и незначительные разрушения. Основные поражающие факторы ядерного взрыва:
Основная характеристика ударной волны — это избыточное давление взрыва [Па]. Т.к. распространение ударной волны сопровождается движением воздушных масс, то динамическое воздействие, под к-ым оказываются вертикальные конструкции, носит название давление скоростного напора [Па]. Помимо давления скоростного напора на наземные конструкции действует давление отражения (основная причина нарушения жестких конструкций). Степень возможных разрушений подземных соорудений оцениваются избыточным давлением на поверхность земли. Масштабы разрушения связаны с мощностью боеприпасов — тротиловый эквивалент [кг]. На масштабы разрушения оказывают влияния: расстояния от центра взрыва; характер и прочность разрушения; рельеф местности и др. Особенности воздействия ударной волны.
Форма следа радиактивного облака — элепс. Через один час после взрыва а местности, которая подверглась взрыву, мощность экспоненциальной дозы равняется 100 Р/ч, через 8 часов она снижается в 10 раз. Зараженность воздуха и воды оценивается активностью радионуклидов . Электромагнитный импульс — поражающий фактор, к-ый возд-ет на электронную и эл. аппаратуру. Это связано тем, что в результате яд. взрыва появляется эл. магн. импульс, к-ый охватывает весь диаппазон частот эл. колеб., в т.ч. диапазон связи, радиолакации и электроснабжения Для защиты от эл.магн. импулсов используют экранирование линий электроснабжения. Травмы при ударной волне делятся на: легкие (при избыточном давлении взрыва 20-40 кПа) средние и тяжелые (от 50 кПа и выше). Характер разрушений, объем спасательных работ, условия их выполнения в очаге поражения зависят от давления ударной волны, рельефа местности, метеоусловий, располодения населенных пунктов. Зона разрушений подразделяется: сильная, средняя (завалы), слабые. Зоны пожаров: сплошных, в завалах, отдельных пожаров.
ОГЛАВЛЕНИЕ Введение Содержание и цель изучения БЖД. Правовые и нормативно-технические основы обеспечения БЖД. Травматизм и профзаболевания Учет и расследование несчастных случаев Методы исследования причин травматизма Оздоровление воздушной среды Нормативные содержания вредных веществ и микроклимата. Методы и ср-ва контроля защиты воздушной среды Система очистки воздуха Электробезопасность Воздействие эл. тока на организм человека Причины поражения эл. током (напряж. прикосновения и шаговое напряж.): Классификация помещений по опасности поражения эл. током (ПУЭ-85). Методы и средства защиты: заземление, зануление, отключение и др. Производственное освещение Физиологические характеристики зрения Свето-технические величины Естественное освещение Искусственое освещение Звуковое восприятие человеком Нормирование шума Мероприятия по борьбе с шумом Опасность для человека Нормирование инфразвука Защитные мероприятия Приборы контроля Ультразвук Нормирование ультразвука Меры защиты Вибрация Основные характеристики Нормирование вибрации Методы снижения вибрации Спектр электромагнитного излучения Ультрафиолетовое излучение Нормирование УФ излучения Меры защиты Средства индивидуальной защиты Опасные и вредные факторы при эксплуатации лазеров. Вредные воздействия лазерного излучения. Нормирование лазерного излучения. Меры защиты от воздействия лазерного излучения Инфракрасное излучение. Нормирование ИФ излучения. Защита от воздействия ИФ излучения. Приборы контроля ИФ Электромагнитное поле Характеристики эл.магнитного поля: Вредное воздействие эл. магнитных полей Нормирование эл. магн. полей Мероприятия по защите от воздействия электромагнитных полей. Ионизирующее излучение Характеристики ионизирующего излучения Виды и источники ИИ в бытовой, произв. и окружающей среде: Биологическое действие геонизир. изл. Нормирование ИИ Методы защиты от ионизирующих излучений Приборы радиационново контроля. Классификация помещений и зданий по степени взрывопожарноопасности. Причины возникновения пожаров, связанные со специальностью студентов Классификация взрыво- и пожароопасных зон помещения в соотв-вии с ПУЭ Меры по пожарной профилактики Способы и средства тушения пожаров Безопасность оборудования и производственные процессы Требования безопасности при проектировании машин и механизмов Опасные зоны оборудования и средства защиты от них Средства специальной защиты, которые обеспечивают защиту систем вентиляции, отопления, освещения в опасных зонах оборудования. Защита гидросферы Нормирование содержания вредных веществ в сточных водах Методы очистки сточ. вод от загрязнений Контроль качества воды Защита литосферы Отрицательное воздействие на природу Загрязнение литосферы комп. ломом Зарубежные нормативы по экологии ПК Экологический мониторинг Задачи системы Нормативы Экологический паспорт предприятия Экологическая экспертиза проектов Осн. положения теории ЧС Аксиома о потенциальной опасности деятельности человека Классификация и общие характеристики чрезвычайных ситуаций Гражданская оборона. Поделитесь этой записью или добавьте в закладки |
Полезные публикации | ||||||||||||||||||||||||||||||||||||||||||||||||||||||||||||||||||||||||||||||||||||||||||||||||||||||||||||||||||||||||||||||||||||||||||||||||||||||||||||||||||||||||||||||||||||||||||||||||||||||||||||||||||||||||||||||||||||||||||||||||||||||||||||||||||||||||||||||||||||||||||||||||||||||||||||||||||||||||||||||||||||||||||||||||||||||||||||||||||||||||||
Главная