Задачи на составление уравнений. Прогрессии
Начнем с задач на проценты. Эта тема стала весьма популярной в текстовых задачах вступительных экзаменов в последние годы. При решении таких задач полезно помнить следующее: 1) процент величины — одна сотая часть этой величины; 2) если число а составляет р% от числа b, то эти числа связаны равенством
раз, а если уменьшено на q%, где
то оно уменьшено в
раз. При этом соответственно получаются числа
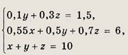
Выработка продукции предприятием за 1997 год увеличилась на 20%, а за 1998 год—еще на 10%. На сколько процентов увеличилась выработка продукции за два года? Решение: Пусть S — количество продукции, выработанное предприятием за 1996 год. Тогда
— количество продукции, произведенное предприятием за 1997 год;
Ответ: на 32% Себестоимость продукции сначала повысилась на 20%, а затем понизилась на 10%. На сколько процентов изменилась себестоимость продукции? Ответ: Повысилась на 8% Цена на товар была повышена на 25% . На сколько процентов теперь ее надо снизить, чтобы получить первоначальную цену товара? Ответ: 20% Первоначальную цену товара снизили на 10%, затем еще на 20% . После этого цену снова снизили на 25%. На сколько процентов всего снизили цену товара? Ответ: 46% Задание 5. Количество студентов в институте, увеличиваясь на одно и то же число процентов ежегодно, за три года возросло с 5000 до 6655 человек. На сколько процентов ежегодно увеличивалось число студентов? Ответ: 10% За некоторый период времени количество акций у гражданина Иванова увеличилось на 30%. На сколько процентов увеличилась общая стоимость акций гражданина Иванова, если цена каждой акции увеличилась на 20% ? Ответ: 56% За некоторый период времени количество акций гражданина Петрова увеличилось на 17%. На сколько процентов увеличилась цена каждой акции, если общая стоимость его акций увеличилась на 134%? Решение: Пусть: р — процент увеличения стоимости одной акции; TV — первоначальное число акций; х — первоначальная цена одной акции. Тогда: NX— первоначальная стоимость всех акций; 1,17N — новое число акций;
— новая цена одной акции;
— новая стоимость всех акций. По условию:
Отсюда р = 100%. Ответ: 100%. Магазин продал книгу со скидкой в 10% по сравнению с первоначально названной ценой и получил при этом 8% прибыли. Сколько процентов прибыли предполагал получить магазин первоначально? Ответ: 20% Магазин продал товар со скидкой в 20% по сравнению с первоначально названной ценой и понес при этом 4% убытка. Сколько процентов прибыли предполагал получить магазин первоначально? Решение: Пусть: х — первоначально названная цена; у — оптовая цена, т. е. цена товара, по которой ее приобрел магазин. Тогда по условию: 0,8х = 0,96у, откуда х = 1,2у, т. е. х составляет 120% от у. Следовательно, магазин предполагал получить 20% прибыли. Ответ: 20%. Собрали 42 кг свежих грибов, содержащих 95% воды по массе. Когда их подсушили, они стали весить 3 кг. Каков процент содержания воды по массе в сухих грибах? Ответ: Свежие грибы содержат по массе 90% воды, а сухие — 20%. Сколько (по массе) надо собрать свежих грибов, чтобы из них получить 4,5 кг сухих грибов? Ответ: 36 кг. Зарплата некоторой категории служащих повышалась дважды, причем процент повышения зарплаты во второй раз был вдвое больше, чем в первый. На сколько процентов была повышена зарплата в первый раз, если до первого повышения она была равна 700 р., а после второго повышения составила 924 р.? Ответ: 10% Выработка продукции за год работы предприятия возросла на р% , а за следующий год она возросла на 10% больше, чем за предыдущий. На сколько процентов увеличилась выработка продукции за первый год, если за два года она увеличилась в общей сложности на 48,59% ? Решение: Пусть S — количество продукции, выработанное предприятием за предыдущий год. Тогда для искомой величины р имеем следующее уравнение:
(р + 100)(р + 110) = 14859, р2+ 210р - 3859 = 0 Решив это уравнение, находим р = 17. Ответ: 17%
В результате переоборудования цехов производительность завода за год работы увеличилась на р%. На следующий год в результате улучшения системы управления — еще на (р + 50)%. На сколько процентов увеличилась производительность завода за первый год, если за два года она возросла в общей сложности втрое? Ответ: 50% В начале года на сберкнижку было положено 1640 р., а в конце года после начисления процентов, взято обратно 882 р. Еще через год на сберкнижке снова оказалось 882 р. Сколько процентов начисляет Сбербанк в год? Решение: Пусть р — процент начисления по вкладу Сбербанком за год. Тогда к началу второго года на сберкнижке оставалось
За второй год на эту сумму снова начислено р% годовых. Получаем уравнение
Тогда 1640х2 - 882х - 882 = 0. Решив это уравнение, находим х = 1,05. Таким образом, р = 5%. Ответ: 5% Население города в начале первого года составляло 150 000 человек. В конце года из других мест в город прибыло 12 000 человек. В результате естественного прироста и вновь прибывших, в конце второго года население города составило 171 495 человек. Определите процент естественного прироста населения за год. Ответ: 3% Два банка выплачивают доход по вкладам 16% и 20% годовых соответственно. Сколько денег положил вкладчик в каждый банк, если известно, что первоначальный общий вклад был равен 800 р., а спустя год он увеличился на 136 р.? Ответ: 600 р. и 200 р. Торговая фирма получила две партии товара. Если продавать весь товар по цене 360 р. за 1 кг, то выручка от продажи будет на 20% ниже той, которую фирма получила бы, продав первую партию товара по названной цене, а вторую — по цене, превышающей ее на 30%. Какую часть (по массе) составляет первая партия товара в общем количестве товара этих двух партий? Ответ:
В магазин завезли две партии товара и продали его по единой цене за 1 кг. Если бы товар первой партии продавали дешевле на 10% за 1 кг, а товар второй партии дороже на 20% за 1 кг, то общая выручка была бы выше полученной на 10%. Какую часть (по массе) составляет первая партия товара в общем количестве товара этих двух партий? Решение: Пусть: х, у — масса товара первой и второй партии соответственно; z — цена, по которой товар был продан. Из условия следует равенство (х + y)z • 1,1 = хz • 0,9 + уz • 1,2 откуда 0,2х = 0,1у, т. е. у = 2х. В задаче требуется найти отношение
Ответ:
Скорость автомобиля на шоссе на 12,5% больше скорости по грунтовой дороге, а время, за которое он проехал расстояние по грунтовой дороге, на 10% меньше, чем на шоссе. На сколько процентов расстояние по шоссе больше расстояния по грунтовой дороге? Ответ: 25% Задание 21. На фирме работает 50 человек. При этом 37 из них владеют акциями компании А, а 43 — акциями компании B. Сколько человек (в процентах) владеет акциями обеих компаний, если каждый работник фирмы является владельцем хотя бы одной акции? Решение: Число пакетов акций, которыми владеют 50 сотрудников фирмы, равно 37 + 43 = 80. Следовательно, 30 человек владеют акциями обеих компаний, что составляет 60% сотрудников фирмы. Ответ: 60% В школе 120 старшеклассников. Известно, что 78 из них играют в баскетбол, а 72 — в теннис. Какая часть старшеклассников (в процентах) играет и в баскетбол, и в теннис, если каждый из них занимается хотя бы одной из этих игр? Ответ: 25% Известно, что 26 сотрудников некоторой фирмы владеют акциями компании А, а 31 — акциями компании В. При этом 14% всех сотрудников фирмы владеет акциями обеих компаний. Сколько человек работает на фирме, если каждый сотрудник является обладателем хотя бы одной акции? Решение: Пусть n —число сотрудников данной фирмы, тогда (26 + 31) - n — число сотрудников, владеющих акциями компаний А и В. По условию (57 - n) составляет 14% от n. Получаем равенство 57 - n = 0,14л, откуда n = 50. Ответ: 50 человек Известно, что 18 сотрудников некоторой фирмы владеют акциями строительной компании, а 24 — акциями компании по производству моющих средств. При этом 40% сотрудников фирмы владеют акциями обеих компаний. Сколько человек работает на фирме, если каждый сотрудник является обладателем хотя бы одной акции? Ответ: 30 человек Суммарный доход двух фирм возрастет на 100% , если доход первой фирмы увеличится в 3 раза, а доход второй фирмы останется неизменным. На сколько процентов надо увеличить доход второй фирмы, оставляя первоначальным доход первой, чтобы их суммарный доход возрос в 3 раза? Ответ: 400% Банк запланировал провести торги в августе и сентябре. Если объем торгов в августе увеличить в 5 раз, а в сентябре оставить на запланированном уровне, то суммарный объем торгов возрастет на 300% . Во сколько раз нужно увеличить план торгов на сентябрь, оставив неизменным план на август, чтобы суммарный объем торгов за два месяца вырос на 400% ? Ответ: в 17 раз Число приватизированных квартир в доме составляет от 4,3% до 5,8% от общего числа квартир. Каково минимально возможное число квартир в таком доме? Решение:Пусть n — число квартир в доме, т — число приватизированных квартир. Тогда по условию
где n и m — натуральные числа, заключена между двумя положительными числами. Числитель дроби будет минимальным при минимально возможном знаменателе. Взяв m = 1, получаем n = 18. Ответ: 18 квартир
Число приватизированных квартир в доме заключено в пределах от 96,5% до 97,2% от общего числа квартир. Каково минимально возможное число квартир в таком доме? Ответ: 29 квартир Установлено, что на дискете число файлов, зараженных вирусом, находится в пределах от 3,89% до 4,44% от общего числа файлов на этой дискете. Чему равно минимально возможное число незараженных файлов на этой дискете? Ответ: 23 файла На сберегательный счет, который вкладчик имел в начале первого года, банк начислил в конце этого года р%, а на тот счет, который вкладчик имеет в начале второго года, начисляется в конце этого года p %, причем р + q = 70. Вкладчик положил на счет в начале первого года некоторую сумму и снял в конце того же года (после начисления процентов) половину положенной суммы. При каком значении q сберегательный счет вкладчика в конце второго года окажется максимально возможным? Ответ: 10% На сберегательный счет, который вкладчик имел в начале первого года, банк начисляет в конце этого года р%, а на тот счет, который вкладчик имеет в начале второго года, начисляется в конце этого года r%, причем р + r = 140. Вкладчик положил на счет в начале первого года некоторую сумму и снял со счета в конце того же года (после начисления процентов) пятую часть положенной суммы. При каком р сберегательный счет вкладчика в конце второго года окажется максимально возможным? Решение: Если N — первоначальная сумма вклада, то к началу второго года эта сумма составит
а к концу второго года (после начисления процентов по вкладу) эта сумма у(р) запишется следующим образом:
Таким образом, у(р) представляет собой квадратный трехчлен относительно переменной р. Его корни p1 = -80, р2 = 240, коэффициент при старшем члене
Значит, наибольшее значение у(р) достигается при
80% Банк планирует на один год вложить 30% имеющихся у него средств клиентов в проект А, а остальные 70% — в проект В. В зависимости от обстоятельств проект А может принести прибыль в размере от 32% до 37% годовых, а проект В — от 22% до 27% годовых. В конце года банк обязан вернуть деньги клиентам и выплатить им процент от дохода по заранее установленной ставке, уровень которой должен находиться от 10% до 20% годовых. Определите, какую наименьшую и наибольшую чистую прибыль в процентах годовых от суммарных вложений в проекты А и В может при этом получить банк. Ответ: 5% и 20% Банк планирует вложить на один год 40% имеющихся у него средств клиентов в проект X, а остальные 60% — в проект Y. В зависимости от обстоятельств проект X может принести прибыль в размере от 19% до 24% годовых, а проект Y — от 29% до 34% годовых. В конце года банк обязан вернуть деньги клиентам и выплатить им проценты по заранее установленной ставке. Определите наименьший и наибольший возможный уровень процентной ставки по вкладам, при которых чистая прибыль банка составит не менее 10% и не более 15% годовых от суммарных вложений в проекты X и Y. Решение: Найдем наименьший и наибольший доходы от вложений в проекты X и Y. Пусть N — сумма вложений; тогда: 1) 0,4/V • 1,19 + 0,6/V • 1,29 - N = 0,257N — наименьший доход (мы сложили наименьшие доходы по каждому проекту и вычли первоначально вложенную сумму); 2) 0,4 N • 1,24 + 0,6/V • 34 - N = 0,37N — наибольший доход (сложили наибольшие доходы по каждому проекту и снова вычли первоначально вложенную сумму). Наименьший возможный уровень процентной ставки по вкладам:
Наибольший возможный уровень процентной ставки по вкладам:
(банк из наибольшего дохода забрал наименьшую запланированную чистую прибыль 0,1N). Ответ: 10% и 20%
• К рассмотренным задачам на проценты тесно примыкают задачи на сплавы, растворы и смеси. Напомним, что если а (кг) некоторого вещества содержится в b (кг) смеси (сплава, раствора), то процентное содержание р (или процентная концентрация) этого вещества в этой смеси находится по формуле
Кусок сплава меди и цинка массой 36 кг содержит 45% меди. Какую массу меди следует добавить к этому куску, чтобы получить сплав, содержащий 60% меди? Ответ: 13,5 кг. К раствору, который содержит 40 г соли, добавили 200 г воды, после чего концентрация раствора изменилась на 10% . Сколько воды содержал раствор? Решение: Пусть исходный раствор содержал х (г) воды. Тогда концентрация исходного раствора равна
После добавления 200 г воды концентрация нового раствора стала равной
По условию,
Решив это уравнение, получаем х = 160 г. Ответ: 160 г. Сколько воды нужно выпарить из 500 кг целлюлозной массы, содержащей 90% воды, чтобы получить массу с содержанием воды 50% ? Ответ: 400 кг. Имеются два куска сплава серебра с медью. Один из них содержит 81% меди, другой — 95% . В каком отношении по массе нужно брать сплавы от обоих кусков, чтобы получить новый сплав, содержащий 87% меди? Ответ: 4 : 3 Имеются два сплава золота с серебром. В первом сплаве количество этих металлов находится в отношении 1 : 2, во втором — 2:3. Сколько граммов первого сплава нужно взять, чтобы получить 19 г сплава, в котором золото и серебро находятся в отношении 7 : 12? Ответ: 9 г. Имеются два разных сплава меди со свинцом. Если взять 1 кг первого сплава и 1 кг второго сплава и переплавить их, то получится сплав, содержащий 65% меди. Известно, что при переплавке обоих сплавов, имеющих суммарную массу 7 кг, получается сплав, содержащий 60% меди. Сколько меди будет содержать сплав, получающийся при переплавке куска первого сплава, равного по массе куску второго сплава, и куска второго сплава, равного по массе куску первого сплава? Ответ запишите в процентах. Решение: Пусть х (кг) — масса первого сплава, (7 - х) (кг) — масса второго сплава; р% и q% — процентные содержания меди в первом и втором сплавах. Тогда по условию
Умножая первое уравнение в системе на 7 и вычитая из результата второе, получаем (7 - х)р + хq = 490, т. е. искомая величина равна 70% (или 4,9 кг). Ответ: 70% Имеются два сплава, состоящие из цинка, меди и олова. Известно, что первый сплав содержит 40% олова, а второй — 26% меди. Процентное содержание цинка в первом и втором сплавах одинаково. Сплавив 150 кг первого сплава и 250 кг второго, получили новый сплав, в котором оказалось 30% цинка. Сколько олова (по массе) содержится в получившемся сплаве? Ответ: Имеются три сплава. Первый содержит 45% олова и 55% свинца, второй — 10% висмута, 40% олова и 50% свинца, третий — 30% висмута и 70% свинца. Из них нужно получить сплав, содержащий 15% висмута и 60% свинца общей массой 10 кг. Сколько килограммов каждого сплава нужно взять? Для удобства запишем данные в таблицу:
Ответ:
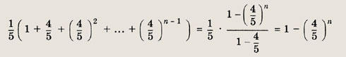
Имеются три куска сплава меди с никелем в отношениях 2:1,3:1и5:1по массе. Из них сплавлен кусок массой 12 кг с отношением содержания меди и никеля 4:1. Найдите массу каждого исходного куска, если масса первого из них вдвое больше массы второго. Ответ: 1,92; 0,96; 9,12 кг. Сплав состоит из олова, меди и цинка. Если от этого сплава отделить 20 г и сплавить с 2 г олова, то во вновь получившемся сплаве масса меди будет равна массе олова. Если же отделить от первоначального сплава 30 г и сплавить с 9 г цинка, то в этом новом сплаве масса олова будет равна массе цинка. Определите (в процентах) состав первоначального сплава. Ответ: 40%; 50% ; 10% Из колбы, в которой содержится 80 г 10%-ного раствора поваренной соли, отливают некоторую часть раствора в пробирку и выпаривают до тех пор, пока процентное содержание соли в пробирке не повысится втрое. После этого выпаренный раствор выливают обратно в колбу. В результате содержание соли в колбе повышается на 2% . Сколько граммов раствора отлили из колбы в пробирку? Ответ: 20 г. В лаборатории имеются растворы поваренной соли четырех различных концентраций. Если смешать первый, второй и третий растворы в весовом отношении 3 : 2 : 1, то получится 15%-ный раствор. Второй, третий и четвертый растворы, взятые в равной пропорции, дают при смешении 24%-ный раствор, а раствор, составленный из равных по массе частей первого и третьего растворов, имеет концентрацию 10% . Какая концентрация получится при смешении второго и четвертого растворов в пропорции 2:1? Ответ: 29 % Из сосуда, содержащего чистый спирт, отлили 1/3 часть и добавили такое же количество воды. Затем отделили 1/3 часть смеси и снова добавили такое же количество воды. Такую операцию проделали k раз. При каком наименьшем k процентное содержание спирта в сосуде станет менее 10% ? Ответ: 6 Из сосуда, содержащего чистую воду, отлили 1/5 часть и добавили такое же количество чистого спирта. Затем отлили 1/5 часть смеси и снова добавили такое же количество чистого спирта. Такую операцию проделали n раз. При каком наименьшем п процентное содержание спирта в сосуде станет больше 80%? Решение: Пусть объем сосуда равен 1 л. Найдем объем чистого спирта в сосуде на каждом шаге. Имеем:
на 1-м шаге;
на 2-м шаге;
на 3-м и т. д. На n-м шаге получаем, что в сосуде
литров чистого спирта. Следовательно, нужно указать минимальное целое п, при котором
Ответ: 8
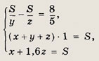
Имеются два сосуда с растворами поваренной соли: в первом сосуде 3 кг 10% -ного по массе раствора, а во втором 2 кг 20%-ного раствора. Из первого сосуда выпаривают некоторое количество воды, а затем все содержимое второго сосуда переливают в первый. Какое количество воды нужно выпарить, чтобы после переливания в первом сосуде получился r% -ный раствор соли? Найдите все r, при которых задача имеет решения. Ответ:
В сосуд вместимостью 6л налито 4л 70%-ного (по объему) раствора серной кислоты, во второй сосуд той же вместимости налито 3 л раствора серной кислоты. Сколько литров раствора нужно перелить из второго сосуда в первый, чтобы в нем получился 7 %-ный раствор серной кислоты? Найдите все r, при которых задача имеет решение. Решение: Пусть из второго сосуда перелито в первый х литров раствора. Сразу отметим, что по условию
Для нахождения чистой кислоты в новом растворе получаем равенство
Теперь, учитывая, что х е [0; 2], заключаем, что х € [0 ;- 2], заключаем, что задача имеет решение лишь при
Даны три сплава. Первый сплав содержит 70% олова и 30% свинца, второй — 80% олова и 20% цинка, третий — 50% олова, 10% свинца и 40% цинка. Из них получили сплав, содержащий 15% свинца. Какое наибольшее и какое наименьшее процентное содержание олова может быть в этом сплаве? Ответ: Имеются три сплава. Первый сплав содержит 30% никеля и 70% меди, второй — 10% меди и 90% марганца, третий — 15% никеля, 25% меди и 60% марганца. Из них необходимо приготовить новый сплав, содержащий 40% марганца. Какое наименьшее и какое наибольшее процентное содержание меди может быть в этом новом сплаве? Решение: Пусть взяты массы (в кг) первого, второго и третьего сплавов соответственно х, у и z. Новый сплав будет содержать (0,9y + 0,6z) марганца. По условию 0,9y + 0,6z = 0,4(x + у + z), т. е. 4x = 5у + 2z. Найдем процентное содержание меди в новом сплаве. Имеем
Подставляя в это соотношение
Таким образом, наименьшее
значение р равно 40 и достигается при у = 0. Если у # 0, то, записав
заключаем, что наибольшее значение р получается при z = 0 и оно равно
Ответ: 40% и 43 %
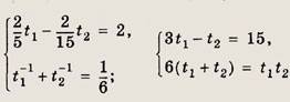
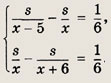
На некотором участке средняя скорость поезда была ниже на 20%, чем предусмотрено расписанием. На сколько процентов увеличилось время прохождения этого участка пути? Ответ: 25% Выйдя со станции с опозданием на 20 мин, поезд прошел перегон в 160 км со скоростью, превышающей скорость по расписанию на 16 км/ч, и пришел к концу перегона вовремя. Какова по расписанию скорость поезда на этом перегоне? Ответ: 80 км/ч. Автомобиль проходит расстояние от пункта А до пункта В с постоянной скоростью. Если бы он увеличил скорость на 6 км/ч, то на прохождение пути затратил бы на 4 ч меньше. При езде со скоростью на 6 км/ч меньше начальной он потратил бы на б ч больше. Найдите расстояние между пунктами А и В. Ответ: 720 км. Две автомашины, выехав одновременно из городов А и В навстречу друг другу, встретились через 6 ч. Первой машине, чтобы пройти 2/5 пути от А до В, требуется на 2 ч больше, чем второй для того, чтобы пройти 2/15 пути от В до А. За сколько часов проходит расстояние между городами А и В каждая машина? Решение: Пусть s — расстояние между городами А и В; х, у — скорости (км/ч) первого и второго автомобилей соответственно. Тогда по условию
t1 = s/x и t2 = s/y. Запишем систему уравнений относительно неизвестных t1 и t2:
Ответ: за 10 и 15 ч.
Пассажир, следующий из города А в город В, половину затраченного на весь путь времени ехал на автобусе, а половину времени на автомобиле. Если бы весь путь от А до В он проехал на автобусе, то это заняло бы у него в полтора раза больше времени. Во сколько раз автомобиль быстрее проезжает путь от А до В, чем автобус? Ответ: В 2 раза Два туриста вышли из А в В одновременно, причем первый турист каждый километр пути проходил на 5 мин быстрее второго. Первый, пройдя пятую часть пути, вернулся в A и, пробыв там 10 мин, снова пошел в Б. При этом оба туриста в В пришли одновременно. Каково расстояние от А до В, если второй турист прошел его за 2,5 ч? Ответ: 10 км. Из А в В в разное время выехали по одному и тому же маршруту грузовик и автобус. Скорость автобуса на 12 км/ч больше скорости грузовика. Они прибыли в В одновременно. За 2,5 ч до их прибытия в В навстречу им из В выехал мотоцикл, который встретил грузовик на 10 мин раньше, чем автобус. Найдите скорость грузовика, если она вдвое меньше скорости мотоцикла. Ответ: 36 км/ч. Из города А в город В с интервалом в 10 мин отправились три рейсовых автобуса. Первый автобус шел со скоростью на 5 км/ч меньше положенной, второй сохранял положенную скорость, а третий превышал ее на 6 км/ч. В результате все три автобуса пришли в Б одновременно. Определите расстояние между городами A и B. Решение: Пусть s — искомое расстояние от А до В, х (км/ч) — первоначально предполагаемая скорость рейсовых автобусов. Тогда по условию имеем систему .
Ответ: 110 км.
Из пункта А в пункт С, находящийся на расстоянии 80 км от А, выехал мотоциклист. Навстречу ему одновременно с ним из пункта Б, находящегося между А и С на расстоянии 5 км от С, выехал велосипедист, а из пункта С — автомобиль. Через какое время встретились мотоциклист и велосипедист, если известно, что это произошло через 20 мин после того, как автомобиль догнал велосипедиста, а мотоциклист до встречи с автомобилем провел в пути вдвое больше времени, чем велосипедист до того, как его догнал автомобиль? Ответ:
Расстояние между пристанями А и В по реке 50 км, а по шоссе 40 км. Пассажир опоздал к отплытию теплохода из А на 1,5 ч. Он в тот же момент сел в такси и прибыл в пункт Б одновременно с теплоходом. Выяснилось, что скорость такси была на 55 км/ч больше скорости теплохода. Какова скорость теплохода? Ответ: 25 км/ч. Если пароход и катер плывут по течению, то расстояние от А до Б пароход покрывает в 1,5 раза быстрее, чем катер. При этом катер за каждый час отстает от парохода на 8 км. Если же они плывут против течения реки, то пароход проходит путь от Б до А в 2 раза быстрее катера. Найдите скорость парохода в стоячей воде. Ответ: 20 км/ч. Из пункта А в пункт B против течения реки вышла моторная лодка. В пути мотор сломался, и пока его 20 мин чинили, лодку снесло вниз по течению реки. Определите, на сколько часов позже лодка прибыла в пункт B, если обычно путь из А в B лодка проходит в 1,5 раза быстрее, чем путь из B в А. Решение: Пусть s — расстояние между городами A и В, х — скорость моторной лодки в стоячей воде, у — скорость течения реки. Тогда
Искомая разность с учетом того, что х = 5у, составляет
на 45 мин. Из пункта А в пункт Б в 12 ч вышел пешеход, одновременно навстречу ему из Б в А выехал велосипедист. По дороге велосипед сломался и простоял 15 мин. Двигаясь дальше, велосипедист встретился с пешеходом в 13 ч 30 мин. Если бы велосипедист не останавливался, то встреча произошла бы на 10 мин раньше. Считая скорости пешехода и велосипедиста постоянными, определите время прибытия пешехода в пункт В и велосипедиста в пункт А. Ответ: 16 ч и 14 ч 15 мин. Из точек А и Б, расстояние между которыми равно 1 м, по прямой АВ начинают одновременно двигаться два тела. Первое тело начинает движение с постоянной скоростью из точки А по направлению к точке В, а второе — из точки В в том же направлении с начальной скоростью 16 м/с и с некоторым постоянным ускорением. Известно, что через 1 с после начала движения второе тело находилось от точки А на расстоянии не большем, чем 15 м, а еще через 1с — не меньшем, чем 25 м. Определите скорость первого тела, если через 3 е после начала движения расстояние между телами составляло 2 м. Решение: Рассмотрим числовую ось с началом в точке А и направлением от А к В; тогда получим A(0), В(1). Пусть v — скорость первого тела (v > 0), а — ускорение второго тела. Найдем координаты первого и второго тела в момент времени t:
Полагая t = 1 и t = 2, имеем
s(t) = |x1 (t) - x2 (t)| откуда при t = 3 согласно условию получим: |3v - 49 + 2 • 9| = 2,
|Зv - 21|= 2, т.е. Зv = 21 ± 2. Ответ:
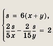
За определенное время необходимо было изготовить 150 изделий. После изготовления 40 изделий стали изготавливать в день на 15 изделий больше и к сроку изготовили на 50% изделий больше, чем требовалось. Сколько изделий было изготовлено в первый день? Ответ: 22 Бригаде грузчиков поручили перевезти 120 контейнеров. После перевозки 36 контейнеров автомашину заменили более вместительной, грузоподъемность которой на 10 контейнеров больше. В результате общее число рейсов по сравнению с первоначально запланированным сократилось вдвое. Сколько контейнеров перевозила за один рейс первая машина? Ответ: 4 4 Первый рабочий может выполнить задание за 8 ч, а второй за 6 ч. Они работали вместе 2 ч, а заканчивал задание один второй рабочий. Сколько времени потребовалось для выполнения этого задания? Ответ: 4,5ч. Двое рабочих, работая одновременно, выполнили задание за 5 дней. Если бы первый рабочий работал в 2 раза быстрее, а второй в 2 раза медленнее, то они выполнили бы задание за 4 дня. За сколько дней выполнил бы задание один первый рабочий? Решение: Пусть S — объем всего задания; х, у — производительность труда первого и второго рабочего соответственно (т. е. количество изделий, производимых рабочим за один день). Тогда по условию
Решив эту систему, получаем 30х = 3S, откуда
Ответ: за 10 дней. Одна первая труба наполняет бассейн на 3 ч быстрее, чем одна вторая. Чтобы наполнить бассейн, открыли сразу обе трубы, но через 10 ч первую трубу закрыли и после этого одна вторая труба наполнила бассейн через 5 ч 45 мин. За какое время наполнится бассейн, если будет открыта одна первая труба? Ответ: 24 ч. Бассейн наполняется водой из двух кранов. Сначала открыли первый кран на 1/3 часть того времени, за которое наполняет бассейн один второй кран. Затем был открыт один второй кран на 1/2 часть того времени, за которое наполняет бассейн первый кран. После этого оказалось, что уже заполнено 5/6 объема бассейна. За какое время наполняет бассейн каждый кран в отдельности, если открытые вместе они наполняют бассейн за 2,4 ч? Решение: Введем обозначения: S (м3) — объем бассейна; х, у (м3/ч) — производительность соответственно первого и второго кранов (т. е. количество воды в 1 м3, наливаемое краном в бассейн за 1 ч работы). Тогда по условию
Оба варианта подходят. за 4,8 ч каждый или за 4 и 6 ч.
Два насоса различной мощности, работая вместе, наполняют бассейн за 4 ч. Для наполнения бассейна наполовину первому насосу требуется на 4 ч больше, чем второму насосу для наполнения 3/4 бассейна. За какое время может наполнить бассейн один второй насос? Ответ: 5 ч 20 мин. Три тракторные бригады, работая вместе, вспахивают поле за 4 дня. Первая и вторая бригады вместе вспахали бы это поле за 6 дней, а вторая и третья — за 8 дней. Во сколько раз больше вспахивает за день вторая бригада, чем третья? Ответ: В 1,5 раза На предприятии работают три машинистки разной квалификации. Первая печатает в час на 2 страницы больше, чем вторая, а у третьей на печатание страницы уходит на 4 мин больше, чем у первой, и в 4/3 раза больше времени, чем у второй. Сколько страниц в час печатает первая машинистка? Ответ: 10 Каждому из трех экскаваторов для того чтобы вырыть котлован, требуется определенное время, причем третий экскаватор вырыл бы котлован на 1 ч 36 мин быстрее второго. Работая все вместе, они выполнят задание за 1 ч. Если первый экскаватор проработает 1 ч, а затем третий еще 1,6 ч, то они вместе также выроют весь котлован. За какое время может вырыть весь котлован каждый из экскаваторов, работая самостоятельно? Решение: Пусть S (м3) — объем котлована, х, у, z (м3/ч) — производительность каждого из экскаваторов. Из условия задачи вытекают следующие равенства:
в первое равенство, находим
Тогда из первого уравнения получаем
а из третьего
3 ч; 4 ч; 2,4 ч. Три цистерны одинакового объема начинают одновременно наполняться водой, причем в первую цистерну поступает 120 л воды в минуту, а во вторую — 40 л в минуту. Известно, что в начальный момент времени первая цистерна была пуста, а объем воды в третьей цистерне в 2 раза меньше, чем во второй, и что все три цистерны будут заполнены одновременно. Сколько литров воды поступает за одну минуту в третью цистерну? Ответ: 80 лет Три бригады, работая вместе, могут выполнить некоторое задание за а дней. Если сначала в течение двух дней будет работать одна первая бригада, а затем в течение одного дня вторая и третья бригады, то выполненной окажется 1/3 часть этого задания. За какое время может выполнить все задание одна первая бригада? Решение: Пусть S —объем всего задания, х, у, z — производительность труда каждой бригады. Тогда
Так как
то из второго равенства следует, что
Отсюда
Ответ:
Задание 78. Из пункта А в пункт В, расстояние между которыми равно 15 км, вышли одновременно два пешехода; в тот же момент из пункта В в пункт А выехал велосипедист. Проехав 1/k часть пути от В к А, велосипедист встретил первого пешехода, затем, проехав 2/3 всего пути, он встретил второго пешехода. На каком расстоянии s от них в момент встречи находился первый пешеход? Ответ:
s = 10 , если
Баржа отплыла от пристани вниз по течению реки; скорость течения равна и (км/ч). Когда баржа проплыла 3 км, от пристани вдогонку за ней отплыл катер, скорость которого в стоячей воде равна 9 км/ч. Катер догнал баржу и отбуксировал ее назад на пристань со скоростью 4 км/ч. Через какое время баржа была возвращена на пристань? При какой скорости и это время окажется наименьшим? Решение: Сначала найдем время, за которое катер догнал баржу. Получаем 3 + vt = (9 + u)t, т. е.
Таким образом, баржа шла по течению реки
и прошла
Обратный путь она проделала со скоростью 4 км/ч, затратив на него
Значит, баржа была возвращена на пристань через
Следовательно, наименьшее значение t(v) достигается при
Минимальное значение t(v) можно было найти, взяв производную этой функции. Задачи, решаемые с помощью применения производной, рассматриваются ниже. Ответ:
Задание 80. Турист идет из пункта А, находящегося на шоссе, в пункт В, расположенный в 8 км от шоссе. Расстояние от А до В по прямой равно 17 км. В каком месте туристу следует свернуть с шоссе, чтобы в кратчайшее время прийти в пункт В, если скорость туриста по шоссе 5 км/ч, а по бездорожью 3 км/ч? Ответ: В 9 км от А
Известно, что 10 кг картофеля, 15 кг свеклы, 10 кг моркови и 14 кг капусты стоят вместе 105,6 р., а 15 кг картофеля, 6 кг свеклы, 4 кг моркови и 21 кг капусты — 110 р. Какова общая стоимость 20 кг картофеля, 12 кг свеклы, 8 кг моркови и 28 кг капусты? Решение: Пусть х, у, z и t — цены в рублях за 1 кг картофеля, свеклы, моркови и капусты соответственно. Тогда по условию
20х + 12у + 8z + 28t = N Умножим первое уравнение системы на число второе — на число ß и сложим. Получим следующее равенство:
Подберем
так, чтобы получилась искомая комбинация. Для этого должны выполняться равенства
Итак, искомая цена составляет
158,4 р. Продаются пакеты акций акционерных обществ A, В, С и D. Пакет из 5 акций А, 1 акций В, 3 акций С и 4 акций D стоит 57 000 р., а пакет из 8 акций А, 2 акций B, 4 акций С и 3 акций D стоит 51 000 р. Сколько стоит пакет из 2 акций А, 12 акций Б, 2 акций С и 5 акций D? Ответ: 63000 р. Гвоздь, три винта и два шурупа весят 24 г, а два гвоздя, пять винтов и четыре шурупа весят 44 г. Сколько граммов весят вместе гвоздь, четыре винта и два шурупа? Ответ: 28 г. Имеются три типа станков разной производительности. При этом три станка первого типа, четыре второго и два третьего выполняют всю работу за 2 ч, два станка первого типа, пять второго и четыре третьего — за 3 ч. Объем работы увеличили в 3,5 раза и установили 21 станок первого типа, 42 второго и 24 третьего. За какое время будет выполнен этот объем работы? Ответ: За 1 ч.
В задачах 85—98 часть условий записывается в виде неравенств. Однако во всех этих задачах искомая величина является натуральным числом, что дает дополнительную информацию и позволяет однозначно установить ее значение.
Бригады, состоящие из одинакового
числа рабочих, получили на складе спецодежду. Каждый рабочий Решение: Пусть n — число бригад, m — число рабочих в каждой бригаде. Тогда условие задачи приводим к системе:
n(n + 20) < 12(n + 4), т.е. n2 + 8n - 48 < 0, откуда следует, что n € (-12; 4). Но величина n — натуральное число. Следовательно, n = 1, n = 2 или n = 3. Учитывая, что
Ответ: 44 комплекта Производительность первого автомобильного завода не превышает 950 машин в сутки. Производительность второго завода первоначально составляла 95% производительности первого завода. После ввода дополнительной линии второй завод увеличил производство машин в сутки на 23% от числа машин, производимых на первом заводе, и стал их выпускать более 1000 штук. Сколько автомобилей в сутки выпускал каждый завод до реконструкции второго завода? Ответ: 900 и 855 машин Бригада маляров белила потолки в двух комнатах. Площадь потолка в первой комнате в 3 раза больше, чем во второй, и в первой комнате работало на 6 человек больше. Когда побелка потолка в первой комнате была закончена, во второй комнате еще работали. Какое наибольшее число маляров могло быть в бригаде, если все они начали работать одновременно и работали с одинаковой производительностью? Ответ: 10 человек В двух бригадах более 27 человек рабочих. Число рабочих в первой бригаде более чем вдвое превышает число рабочих во второй бригаде, уменьшенное на 12. Число рабочих во второй бригаде более чем в 9 раз превышает число рабочих в первой бригаде, уменьшенное на 10. Сколько человек в каждой бригаде? Ответ: 11 и 17 человек В двух ящиках находится более 29 одинаковых деталей. Число деталей в первом ящике, уменьшенное на 2, более чем в 3 раза превышает число деталей во втором ящике. Утроенное число деталей в первом ящике превышает удвоенное число деталей во втором ящике, но это превышение меньше 60. Сколько деталей в каждом ящике? Решение: Пусть m и n — число деталей в первом и во втором ящиках соответственно. Тогда из условия задачи вытекает следующая система неравенств:
Ответ: 24 детали в первом ящике и 7 деталей во втором При отделке квартир в новом доме используются три типа оконных рам, поставляемых в комплектах (в каждом комплекте некоторое количество рам одного типа). На стройку привезли по одному комплекту рам первого и второго типа и четыре комплекта третьего типа. Оказалось, что количество окон в доме на 2 больше, чем общее количество рам в этих комплектах. Если бы завезли четыре комплекта рам первого типа и один третьего, то 85 окон оказалось бы без рам. Если же поставить четыре комплекта второго типа и один третьего, то не хватило бы 53 рамы. Известно, что какое-то количество окон останется без рам, если поставить по три комплекта рам каждого типа. Сколько окон в доме? Ответ:
В киоске продаются три вида наборов игрушек: деревянные, пластиковые и мягкие. Для детского сада купили по одному набору деревянных и пластиковых игрушек и четыре набора мягких. При этом каждый ребенок получил по одной игрушке. Если бы было куплено четыре набора деревянных игрушек и один набор мягких игрушек, то 57 детям игрушек не досталось бы, а если бы купили четыре набора пластиковых и один набор мягких игрушек, то 41 ребенок остался бы без игрушки. Сколько всего детей в детском саду, если, купив по три набора игрушек каждого вида, сад не обеспечил бы всех детей игрушками? Решение: Пусть m, n, k — числа деревянных, пластиковых и мягких игрушек в каждом из типов наборов, N — число детей в детском саду. Тогда условие задачи приводит к системе
откуда, в частности, следует, что число N нацело делится на 7. Теперь выражаем m и n:
нацело делится на 14. Подставив найденные для m, n и k выражения в последнее неравенство системы, получим:
Нужно найти целое число N, делящееся нацело на 14 и удовлетворяющее неравенствам
Такое число только одно: N = 84. Ответ: 84 ребенка Между городами А и В летают самолеты трех типов. Каждый самолет первого, второго и третьего типа может принять на борт соответственно 230, 110 и 40 пассажиров, а также 27, 12 и 5 контейнеров. Все самолеты этой линии могут принять на борт 760 пассажиров и 88 контейнеров. Найдите число самолетов каждого типа, если их общее число на этой линии не более восьми. Ответ: 2; 2; 2 Завод имеет сборочные линии трех типов. На каждой линии первого, второго и третьего типа ежедневно собираются 100, 400 и 30 приемников первого класса и 19, 69 и 5 приемников высшего класса соответственно. В сумме на всех линиях ежедневно собирается 1030 приемников первого класса и 181 приемник высшего класса. Сколько линий каждого типа на заводе, если их общее число не превосходит 10? Решение: Пусть m, n и k — число линий первого, второго и третьего типа. Тогда
Ответ: 2; 2; 1 В каждом классе средней школы одинаковое число парт. Во время ремонта парты со второго этажа увозили на грузовике по 5 штук, а в последний рейс осталось 2 парты. С третьего этажа парты увозили на другом грузовике по 7 штук, а в последний рейс осталось 4 парты. Второй грузовик сделал на один рейс больше, чем первый. Сколько парт было в каждом классе? Ответ: 41 На станцию привезли несколько одинаковых контейнеров, заполненных телевизорами. Телевизоры перегрузили в вагоны одинаковой вместимости. Получилось 7 полных вагонов и еще осталось 5 телевизоров. Через неделю привезли другое количество таких же контейнеров. При перегрузке получилось 11 полных вагонов, а в 12-м не хватало одного телевизора для полной загрузки. Сколько телевизоров вмещает контейнер, если это число больше единицы? Решение: Пусть m — число телевизоров, которое вмещает каждый вагон, а n — число телевизоров в каждом контейнере. Тогда по условию задачи
— это целые числа, равные числу контейнеров, пришедших на станцию в первый и во второй раз. Исключим из этих соотношений переменную т, умножая первое равенство на 12, второе на 7 и вычитая результаты друг из друга. Получим
— также целое число. Значит, n должно быть натуральным делителем числа 67. Отсюда либо n = 67, либо n = 1 (что не подходит по условию). Ответ: 67 телевизоров В упаковочном цехе конфеты из одинаковых контейнеров перекладывают в коробки одинаковой вместимости. Первый упаковщик разложил все конфеты из трех контейнеров, причем для заполнения последней коробки ему еще не хватило 5 конфет. Второй упаковщик перекладывал конфеты из шести контейнеров, 7 конфет отложил, а остальными без остатка заполнил некоторое количество коробок. Сколько конфет в каждой коробке, если это число больше 1? Ответ: 17 конфет Рота солдат прибыла на парад в полном составе прямоугольным строем по 24 человека в ряд. По прибытии оказалось, что не все солдаты могут участвовать в параде. Оставшийся для парада состав роты перестроили так, что число рядов стало на 2 меньше, а число солдат в каждом ряду стало на 26 больше числа новых рядов. Известно, что если бы все солдаты участвовали в параде, то роту можно было бы выстроить так, что число солдат в каждом ряду совпало бы с числом рядов. Сколько солдат было в роте? Ответ: 144 солдата Число деталей, изготовленных за смену первой бригадой, равно 115% от числа деталей, изготовленных за смену второй бригадой. Продукцию двух бригад упаковали в два ящика. В первом ящике оказалось 2/3 числа деталей, изготовленных первой бригадой, и 1/7 часть деталей, изготовленных второй бригадой. Сколько деталей в первом ящике изготовлено первой бригадой и сколько второй, если в первом ящике оказалось менее 1000 деталей, а во втором — более 1000 деталей? Ответ: 644 и 120 деталей
При решении задач на движение часто возникают системы, содержащие уравнения и неравенства (99—102).
Пункты А и В расположены на реке так, что плот, плывущий из А в В со скоростью течения реки, проходит путь от А до В за 24 ч. Весь путь от А до В и обратно моторная лодка проходит не менее чем за 10 ч. Если бы собственная скорость моторной лодки увеличилась на 40%, то тот же путь (от А до В и обратно) занял бы у лодки не более 7 ч. Найдите время, за которое моторная лодка проходит путь от А до В. Решение: Пусть s (км) — расстояние между пунктами A и В, х (км/ч) — скорость течения реки, у (км/ч) — собственная скорость моторной лодки. Тогда согласно условию получаем систему
Ответ: 4 ч. Задание 100. Утром из пункта А в пункт В отправляется по течению реки моторная лодка. Одновременно из В в А выходит катер, собственная скорость которого в 1,4 раза больше собственной скорости моторной лодки. Известно, что лодка и катер встречаются в 12 ч дня, затем лодка прибывает в пункт В не позже 15 ч дня, а катер прибывает в А не раньше 15 ч дня. Найдите время отправления лодки из пункта А в пункт В, если известно, что на путь из В в А лодка затрачивает не более 9 ч, а катер на путь из А в В затрачивает не менее 4,5 ч. Ответ: 9 ч утра. В 9 ч утра из пункта А выезжает велосипедист, который едет до пункта В. Через 2 ч после отправления велосипедиста из А в В выезжает автомобилист, который догоняет велосипедиста не позже 12 ч дня. Продолжая движение, автомобилист прибывает в пункт В, в тот же момент поворачивает и едет из Б в А. На этом пути автомобилист снова встречает велосипедиста и потом прибывает в пункт А в 17 ч того же дня. Найдите время прибытия велосипедиста в пункт В, если известно, что между двумя встречами велосипедиста и автомобилиста прошло не более 3 ч. Ответ: 18 ч. Деревня расположена на берегу реки, а школа — на шоссе, пересекающем реку под прямым углом. Зимой школьник ходит из деревни в школу напрямик на лыжах и тратит на дорогу 40 мин. Весной, в распутицу, он идет берегом реки до шоссе, а дальше — по шоссе до школы, и тратит на дорогу 1 ч 10 мин. Наконец, осенью он проходит вдоль реки половину расстояния, отделяющего деревню от шоссе, а дальше идет напрямик. При этом он доходит до школы быстрее, чем за 57 мин. Установите, что дальше: деревня от шоссе или школа от реки, если известно, что пешком школьник ходит всегда с одной и той же скоростью, а на лыжах — со скоростью на 25% большей (реку и шоссе можно считать прямолинейными траекториями). Ответ: В задачах 103—109 для нахождения оптимального варианта снова нужно использовать тот факт, что искомые переменные величины — целые числа.
Завод должен прислать заказчику 1100 деталей. Детали для пересылки упаковываются в ящики. Имеются ящики трех типов. Один ящик первого типа вмещает 70 деталей, один ящик второго типа — 40 деталей, а один ящик третьего типа — 25 деталей. Стоимость пересылки одного ящика первого типа равна 200 р., стоимость пересылки одного ящика второго типа — 100 р., а третьего — 70 р. Сколько ящиков каждого типа должен использовать завод, чтобы стоимость пересылки была наименьшей (недогрузка ящиков не допускается)? Решение: Пусть m, n и k — требуемое число ящиков каждого типа. Тогда должно выполняться равенство 70m + 40n + 25k = 1100, а величина N = 200m + 100n + 70k должна быть минимально возможной. Найдем себестоимость пересылки одной детали в каждом из ящиков. Получаем
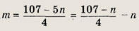
Ответ: 0, 25 и 4 Ученики второго, третьего и четвертого классов собирали макулатуру. Каждый второклассник работал по 3 дня, третьеклассник по 12 дней, четвероклассник — по 16 дней. При этом каждый второклассник собрал 30 кг макулатуры, каждый третьеклассник — 130 кг, а каждый четвероклассник — 170 кг. Все дети вместе отработали 95 дней. Сколько учеников каждого класса участвовало в работе, если общее количество собранной макулатуры оказалось максимальным? Ответ: 1; 5; 2 Для детского сада приобретают на сумму 1320 р. наборы конфет трех типов. Наборы из 50 конфет стоят 30 р., наборы из 190 конфет — 104 р., а наборы из 160 конфет — 90 р. Сколько наборов каждого типа можно купить для детского сада, чтобы общее количество купленных конфет было максимальным? Ответ: 2; 0; 14 Из лесного хозяйства в город нужно вывезти 1590 деревьев. Для перевозки деревьев имеются полуторатонные, трехтонные и пятитонные машины. На полуторатонке за один рейс можно вывезти 26 деревьев, на трехтонке — 45 деревьев, а на пятитонке — 75 деревьев. Стоимость одного рейса для полуторатонной машины равна 90 р., для трехтонной — 150 р., а для пятитонной — 240 р. Как лесное хозяйство должно распределить перевозки, чтобы их стоимость была наименьшей (недогрузка машин не допускается)? Ответ: 0; 2; 20 В контейнер упакованы изделия двух типов. Стоимость и масса одного изделия составляют 400 р. и 12 кг для первого типа и 600 р. и 15 кг для второго типа. Общая масса изделий равна 321 кг. Определите минимальную и максимальную возможные стоимости находящихся в контейнере изделий. Решение: Пусть m и n — число изделий первого и второго типа. По условию, 12m + 15n = 321, т. е. 4m + 5n = 107. Найдем стоимость такого контейнера: р = 400m + 600n = 100(4m + 6n) = 100(107 + n) Таким образом, величина р будет максимальной при максимально возможном n и минимальной при минимальном n. При этом число
должно быть натуральным. Отсюда следует, что n = 3 — минимальное, а n = 19 — максимально возможное число контейнеров. Итак,
Ответ: 11000 р. и 12600р.
Имеются три пакета акций. Общее суммарное количество акций первых двух пакетов совпадает с количеством акций в третьем пакете. Первый пакет в 4 раза дешевле второго, а суммарная стоимость первого и второго пакетов совпадает со стоимостью третьего пакета. Одна акция из второго пакета дороже одной акции из первого пакета на величину, заключенную в пределах от 16 до 20 долларов, а цена одной акции из третьего пакета не меньше 42 и не больше 60 долларов. Какой наименьший процент от общего количества акций может содержаться в первом пакете? какой наибольший? Ответ: 12,5% и 15% Имеются три партии товара. Общее количество единиц товара, в первых двух партиях совпадает с общим количеством единиц товара в третьей партии. Вторая партия в 9 раз дороже первой, а суммарная стоимость первой и второй партии совпадает со стоимостью третьей партии. Единица товара из первой партии дешевле единицы товара из второй партии на величину, заключенную в пределах от 35 до 40 р., а цена единицы товара из третьей партии не меньше 42 и не больше 56 р. Какой наименьший процент от общего количества единиц товара может содержаться в первой партии? какой наибольший? Ответ: 10% и 15% На биржу выставлены пакеты акций трех инвестиционных проектов. Один пакет акций первого проекта стоит 200 тыс. р. и предусматривает создание 30 новых рабочих мест. Один пакет акций второго проекта стоит 180 тыс. р. и предусматривает создание 24 новых рабочих мест. Аналогичные показатели третьего проекта — 300 тыс. р. и 28 рабочих мест. Определите максимальное и минимальное значения суммарной стоимости проданных пакетов акций, если известно, что вырученные от продажи деньги позволяют создать 1184 новых рабочих места. Ответ: 12300 тыс. р. и 8160 тыс. р. На биржу выставлены пакеты акций трех инвестиционных проектов. Один пакет акций первого проекта стоит 150 тыс. р. и предусматривает создание 14 новых рабочих мест. Один пакет акций второго проекта стоит 90 тыс. р. и предусматривает создание 12 новых рабочих мест. Аналогичные показатели третьего поректа — 100 тыс. р. и 15 рабочих мест. Определите максимальное и минимальное значения суммарной стоимости проданных пакетов акций, если известно, что вырученные от продажи деньги позволяют создать 599 новых рабочих мест. Ответ: 111. 6800 тыс. р. и 4050 тыс. р. На продажу выставлены земельные участки под кооперативные дома, коттеджи и садовые домики. Под один кооперативный дом на 60 семей выделяется участок стоимостью 100 тыс. р.; под один коттеджный кооператив на 48 семей — участок за 90 тыс. р.; под один садовый кооператив на 56 семей — участок за 150 тыс. р. Определите максимальное и минимальное значения суммарной стоимости проданных участков, если известно, что покупатели земли предполагают построить жилье для 2368 семей. Ответ: 6150 тыс. р. и 4080 тыс. р. На продажу выставлены земельные участки под кооперативные дома, коттеджи и садовые домики. Под один кооперативный дом на 70 семей выделяется участок площадью 520 соток; под один коттеджный кооператив на 40 семей — 320 соток; под один садовый кооператив на 52 семьи — 480 соток. Определите максимальное и минимальное значения суммарной площади проданных участков, если известно, что покупатели земли предполагают построить жилье для 1502 семей. Ответ: 13640 и 11320 соток Правительство решило закрыть нерентабельные шахты и построить новые фабрики и заводы. В результате закрытия одной шахты увольняется 180 человек, при этом на консервацию шахты и выплату пособий увольняемым выплачивается 52 млн р. Строительство одного нового завода с персоналом 170 человек стоит 43 млн р., а одной фабрики с персоналом 110 человек — 20 млн р. Чему равно максимально возможное увеличение суммарного числа новых рабочих мест, если известно, что сумма всех затрат правительства составила 714 млн р.? Ответ: 2530 чел. Правительство решило закрыть нерентабельные шахты и построить новые фабрики и заводы. В результате закрытия одной шахты увольняется 180 человек, при этом на консервацию шахты и выплату пособий увольняемым выплачивается 52 млн р. Строительство одного нового завода с персоналом 170 человек стоит 43 млн р., а одной фабрики с персоналом 110 человек — 20 млн р. Чему равно максимально возможное сокращение суммарного числа рабочих мест, если известно, что сумма всех затрат правительства составила 714 млн р.? Ответ: 400 чел. На двух шахтах добывается руда: на первой — 140 т в день, на второй — 160 т в день. Эта руда ежедневно перерабатывается на двух заводах, причем первый завод может перерабатывать в день не более 220 т руды, а второй — не более 180 т. Стоимость перевозок одной тонны руды от шахты до завода (в условных единицах) определяется из таблицы:
Сколько тонн руды нужно возить с каждой шахты на каждый завод, чтобы общая стоимость перевозок была наименьшей? Ответ: С первой шахты 60 т на первый завод и 80 т на второй завод, со второй — все 160 т на первый завод.
Для арифметической прогрессии справедливы формулы:
Если же последовательность b1 ..., bn, ... такова, что для любого n € N выполняется равенство bn + 1 = bn q, где q — фиксированное число, то такая последовательность называется геометрической прогрессией с первым членом b± и знаменателем q. Для геометрической прогрессии справедливы формулы:
При решении задач на прогрессии часто в качестве неизвестных выбираются первый член и разность (или знаменатель) этой прогрессии.
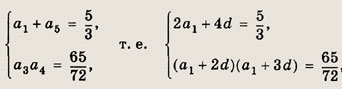
Сумма второго и шестого членов арифметической прогрессии равна 7,2, а сумма третьего и восьмого членов этой прогрессии равна 8,4. Найдите разность прогрессии. Ответ: 0,4 Сумма первого и пятого членов арифметической прогрессии равна 5/3, а произведение третьего и четвертого ее членов равно 65/72. Найдите сумму семнадцати первых членов прогрессии. Решение: Пусть а1 и d — первый член и разность прогрессии. Тогда по условию
Поэтому второе уравнение системы преобразуется к виду
Следовательно,
Ответ:
Первый и четвертый члены геометрической прогрессии равны соответственно 64 и 8. Найдите сумму первых пяти ее членов. Ответ: 124
Сумма второго и пятого членов
геометрической прогрессии равна 84, а сумма первого и третьего членов этой же
прогрессии больше второго его члена на 7. Найдите четвертый член прогрессии Пусть b1 и q — первый член и знаменатель прогрессии. Тогда по условию
откуда, разделив первое уравнение на второе, имеем q(q + 1) = 12. Следовательно, q = -4 или q = 3. Из первого уравнения получаем
Ответ:
Сумма первых трех членов геометрической прогрессии равна 26, а их произведение равно 216. Найдите первый член и знаменатель прогрессии. Ответ: 2 и 3 Три целых числа образуют геометрическую прогрессию. Найдите третий член этой прогрессии, если ее второй член на 1 больше первого и положителен. Ответ: 4 Найдите сумму первых 20 членов арифметической прогрессии, если известно, что сумма 3-го, 7-го, 14-го и 18-го членов этой прогрессии равна 10. Ответ: 50 Все члены арифметической прогрессии — натуральные числа. Сумма первых девяти ее членов больше 200, но меньше 220. Найдите первый член и разность прогрессии, если второй член равен 12. Ответ: 8 и 4 Турист, поднимаясь в гору, в первый час достиг высоты 800 м, а каждый следующий час поднимался на высоту, на 25 м меньшую, чем в предыдущий час. За сколько часов он достигнет высоты 5700 м? Ответ: За 8 ч. Периметр некоторого многоугольника равен 158 см, причем длины его сторон составляют арифметическую прогрессию, разность которой равна 3 см. Наибольшая сторона многоугольника равна 44 см. Сколько сторон имеет этот многоугольник? Решение: Стороны многоугольника образуют арифметическую прогрессию с первым членом a1 = 44 и разностью d = -3. Если такой многоугольник имеет п сторон, то его периметр равен
откуда для n получаем уравнение Зn2 - 91n + 316 = 0. Решаем его и находим n = 4. Ответ: 4 Найдите число членов арифметической прогрессии, у которой сумма всех ее членов равна 112, произведение второго члена на разность прогрессии равна 30, а сумма третьего и пятого членов равна 32. Ответ: 7 На собрании акционеров было решено увеличить прибыль предприятия за счет расширения ассортимента продукции. Экономический анализ показал, что: 1) дополнительные доходы, приходящиеся на каждый новый вид продукции, окажутся равными 64 тыс. р. в год; 2) дополнительные расходы
при освоении одного нового вида составляют 7 тыс. р. в год, а освоение каждого
последующего вида потребует на 8 тыс. р. в год больше расходов, чем освоение
предыдущего. Решение: Дополнительные расходы на освоение одного нового вида продукции образуют арифметическую прогрессию с первым членом а1 = 7 тыс. р. и разностью d = 8 тыс. р. Таким образом, расходы на освоение n-го вида составят 7 + (n - 1)8 = 8n - 1 (тыс. р.). Освоение будет приносить доход до тех пор, пока 8n - 1 < 64, т. е.
Значит, получается максимально возможный прирост прибыли при освоении восьми новых видов продукции. Этот прирост равен
Ответ: 652 тыс. р. Сумма трех чисел, образующих арифметическую прогрессию, равна 30. Если вычесть из первого числа 5, из второго 4, а третье не менять, то полученные числа составят геометрическую прогрессию. Найдите эти числа. Ответ: 17, 10 и 3 или 8, 10 и 12. Сумма первых 13 членов арифметической прогрессии равна 130. Известно, что 4-й, 10-й и 7-й члены этой прогрессии, взятые в указанном порядке, представляют собой три последовательных члена геометрической прогрессии. Найдите первый член арифметической прогрессии. Ответ: 70 или 10 Три числа составляют геометрическую прогрессию. Если из третьего числа вычесть 4, то числа составят арифметическую прогрессию. Если же из второго и третьего членов полученной арифметической прогрессии вычесть по 1, то снова получится геометрическая прогрессия. Найдите эти числа. Ответ: 1, 3, 9 или
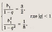
Сумма членов бесконечно убывающей геометрической прогрессии равна 3/2, а сумма квадратов ее членов равна 1/8. Найдите знаменатель прогрессии. Решение: Пусть b1
и q — первый член и знаменатель
прогрессии. Тогда последовательность, состоящая из квадратов членов данной геометрической
прогрессии, также является геометрической
Подставляя во второе уравнение
находим
Ответ:
Сумма кубов всех членов бесконечно убывающей геометрической прогрессии относится к сумме квадратов всех ее членов как 12:13. Сумма первых двух членов прогрессии равна 4/3. Найдите первый член и знаменатель прогрессии. Ответ:
Найдите сумму бесконечно убывающей геометрической прогрессии, второй член которой, удвоенное произведение первого члена на четвертый и третий член, взятые в указанном порядке, образуют арифметическую прогрессию с разностью 1/3. Ответ:
Представьте десятичную периодическую дробь 7,2(3) в виде обыкновенной дроби. Ответ:
Решите уравнение х3 + Зх2 - 6х + а = 0, зная, что оно имеет три различных действительных корня, образующих геометрическую прогрессию. Решение: Если
— три различных решения уравнения, то
решение этого уравнения. Подставляя вместо х значение
в уравнение, находим: a1 = -8; а2 = 0. Проверкой убеждаемся, что а = 0 не подходит. Решая уравнение при а = -8, т. е. х6 + Зх2 - 6x - 8 = 0, получаем корни х1 = -4, х2 = 2, х3 = -1, образующие геометрическую прогрессию. Ответ: -4; 2; -1 При каких значениях параметра а четыре корня уравнения х4 + (а - 3)х2 + (а + 10)2 = 0 являются последовательными членами арифметической прогрессии? Ответ:
Четырехзначное натуральное число А оканчивается цифрой 1. Двузначное число, образованное цифрами в разряде тысяч и сотен, цифра десятков и цифра единиц числа А в указанном порядке представляют собой три последовательных члена арифметической прогрессии. Из всех чисел А, удовлетворяющих указанным условиям, найдите то, у которого разность между цифрой десятков и цифрой сотен имеет наименьшее возможное значение. Ответ: 1791 Натуральные числа а, b и с, взятые в указанном порядке, образуют возрастающую геометрическую прогрессию, знаменатель которой является целым числом. Числа 2240 и 4312 делятся без остатка на b и с соответственно. Найдите числа а, b и с, если известно, что при указанных условиях сумма а + b + с максимально возможная. Ответ: 2; 56; 392
Двузначное натуральное число С в 3 раза меньше квадрата суммы своих цифр. Найдите число С. Решение: 1) Пусть х, у — цифры искомого числа С. Тогда С = 10х + у. По условию (х + у)2 = 3(10х + у), где х # 0, х, у -— целые числа от 0 до 9. Запишем полученное уравнение в виде (х + у)2 - 3(х + у) - 27х = 0 решим его относительно (х + у). Находим
2) Приведем еще другой способ решения задачи, основанный на делимости целых чисел нацело. Вместо решения уравнения относительно (х + у) перепишем его в виде
Отсюда либо х + у = = 18,
либо х + у = 9, либо х + у - 3 = 9.
27 и 48 Квадрат суммы цифр двузначного числа В относится к числу (B + 2) как 10 : 3. Найдите число В. Ответ: 28 Сумма трехзначного натурального числа А и числа, записанного теми же цифрами, но в обратном порядке, равна 1271. Из всех чисел А, удовлетворяющих указанным условиям, найдите наибольшее. Решение: Пусть искомое число А = 100х + 10у + z, где х # 0, у, z — цифры этого числа. Тогда число, записанное теми же цифрами, но в обратном порядке, имеет вид В = 100z +10y +х. По условию 101х + 20у+ 101z = 1271 Так как 1271 = 101 • 12 + 59, то это равенство можно переписать в виде
Отсюда следует, что у - 8, а тогда х + z = 11. Наибольшее число
получается при х = 9, у = 8, z = 2. Ответ: 982 Натуральное трехзначное число В сложили с трехзначным натуральным числом, у которого цифры единиц и сотен равны цифрам сотен и единиц числа В соответственно, а цифра десятков совпадает с цифрой десятков числа Б. В сумме получили 1049. Из всех чисел Б, удовлетворяющих указанным условиям, найдите наименьшее. Ответ: 871 Число C записывается теми же цифрами, что и четырехзначное натуральное число С, но взятыми в обратном порядке. Разность между С и С1равна 270. Из всех таких чисел С найдите наименьшее, если известно, что произведение его цифр сотен и десятков принимает наибольшее возможное значение. Решение: Пусть С = 1000х + 100у +10z + t, где х # О, у, z и t — цифры этого числа. Тогда C1 = 1000t + 100z + 10y + z. По условию С - С1 = 999(х - t) + 90(y - z) = 270 Сокращая это равенство на 9, получаем уравнение 111(х- t = 30- 10(y - z), откуда следует, что число 111(х - t) должно нацело делиться на 10. Так как х и t — цифры, то это возможно лишь при х - t = 0. Значит, х = t, а поскольку мы ищем наименьшее возможное число, должно быть х = t = 1. Далее получаем у - z = 3. Учитывая, что произведение уz принимает наибольшее возможное значение, находим у = 9, z = 6. Итак, искомое число С = 1961. Ответ: 1961 Натуральное трехзначное число B, уменьшенное на 18, делится без остатка на 6, причем частное от такого деления равно произведению цифр десятков и единиц числа B. Найдите число B, если известно, что при делении этого числа на произведение цифр десятков и сотен в частном получается 25 и в остатке 8, а при делении на произведение цифр сотен и единиц в частном получается 16 и в остатке 1. Ответ: 258 При делении натурального трехзначного числа А на произведение цифр сотен и десятков получили в частном 25 и в остатке 4, а при делении на произведение цифр десятков и единиц — в частном 12 и в остатке 14. Кроме того, известно, что число (А - 6) делится на 31 без остатка, причем частное от такого деления равно произведению цифр сотен и единиц числа А. Найдите число А. Решение: Пусть
Тогда согласно условию
Из первого уравнения заключаем, что число (z - 4) делится без остатка на 5, а из второго — что число z является четным. Так как z — цифра, то z = 4. Теперь система преобразуется к виду (берем два последних уравнения)
удовлетворяет также первому уравнению исходной системы. Ответ: 254 Из трех различных отличных от нуля цифр а, b и с составляют всевозможные различные трехзначные числа, причем каждая из указанных цифр встречается в записи числа один раз. Оказалось, что сумма всех этих чисел больше 2300, но не превосходит 2443. Найдите число
если известно, что оно
четное и наибольшее из всех трехзначных чисел, удовлетворяющих условию задачи.
Всего таких чисел шесть, причем в разряде сотен, десятков и единиц каждая цифра встречается по два раза. Следовательно, сумма всех таких чисел равна 2(а + b + с)100 + 2(а + b + с)10 + 2(а + b + с) = 222(а + b + с). По условию,
откуда целое число а + b + с равно 11. Теперь выбираем а, Ь, с так, чтобы они были различными, отличными от нуля, а число abc было четным и наибольшим из возможных. Получаем с = 2; b = 1; а = 8. Ответ: 812 Поделитесь этой записью или добавьте в закладки |
Полезные публикации |










































Главная