Степени и корни.
(а + b)2 = а2 + 2аb + b2; (а - b)2 = а2 -2аb + b2; (а + b)3 =a3 + 3a2b + 3ab2 + b3; (а - b)3 = а3 - За2b + Заb2 - b3; а2 - b22 = (а - b) (а + b); а3 - b3 = (а - b)(а2 + аb + b2); а3 + b3 = (а + b)(а2 - ab + b2). Принято считать, что все тождественные преобразования выполняются в области определения выражений, входящих в рассматриваемую задачу. При этом в ответе сама эта область, как правило, не указывается. Упростите следующие выражения (1—26): Задание 1.
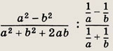
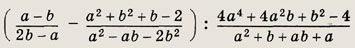
Ответ: 0 Задание 2.
Ответ: 0
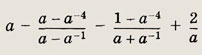
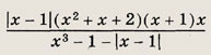
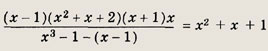
Ответ: -1 Задание 4.
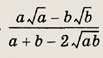
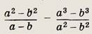
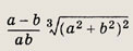
Ответ: а - b Задание 5.
Ответ:
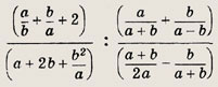
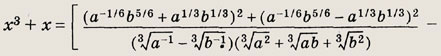
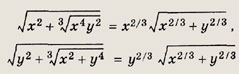
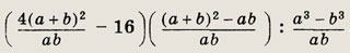
Задание 6.
Ответ:
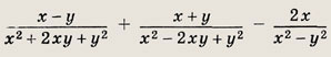
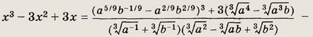
Задание 7.
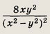
Ответ: Задание 8.
Ответ: 1 Задание 9.
Ответ:
Задание 10.
Ответ: 0 Задание 11.
Ответ: 1 Задание 12.
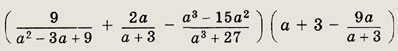
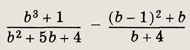
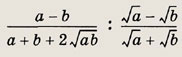
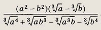
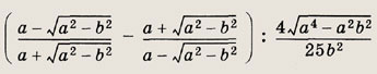
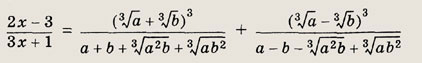
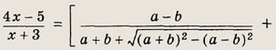
Ответ: а + 3 Задание 13.
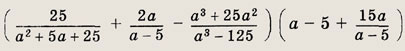
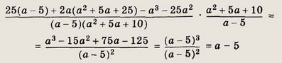
Решение: Учитывая, что а3 - 125 = (а - 5)(а2 + 5а + 25), и приводя дроби к общему знаменателю, получаем
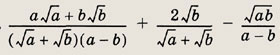
Ответ: а - 5 Задание 14.
Ответ:
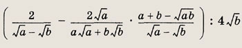
Ответ: 4 Задание 16.
Ответ: 0 Задание 17.
Ответ: а9 Задание 18.
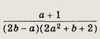
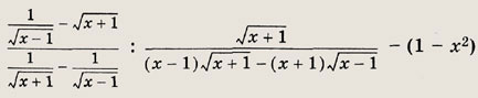
Ответ:
Задание 19.
Ответ: (2а + 1)2 Задание 20.
Ответ: 0 Задание 21.
Ответ: 0 Задание 22.
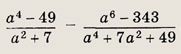
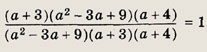
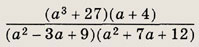
Решение: Заметим, что а3 + 27 = (а + 3)(а2 - За + 9), а2 + 7а = 12 = (а + 3)(а + 4). Теперь получаем
Ответ: 1 Задание 23.
Ответ:
Задание 24.
Ответ:
Задание 25.
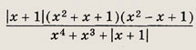
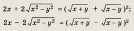
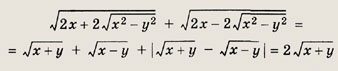
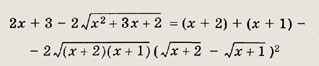
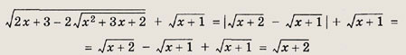
Решение: 1) Если х > 1, то |x - 1| = х - 1. Тогда
при х > -1 => х2 + х + 1; при х < 1 => -х2 - х. Задание 26.
Ответ: При
при
Решите уравнения (27—34): Задание 27. (х - 1)3 = x(x + 2)2 - 9 Ответ:
Задание 28. (x + 2)3 =5 x(x - 1)2 + 62 Ответ:
Задание 29.
Ответ: 2 Задание 30.
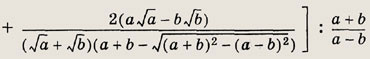
Указание: х = -1 не входит в область допустимых значений. Ответ: Задание 31.
Решение: Запишем уравнение в виде
Ответ: {-4} Задание 32.
Ответ: {-8} Задание 33.
Ответ:
Задание 34.
Ответ:
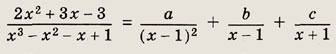
Найдите числа а, b, с, d такие, что выполняются заданные равенства (35—38): Задание 35.
Ответ: a = 1; b = 3; с = -1 Задание 36.
Ответ:
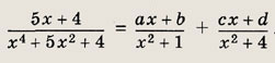
Задание 37.
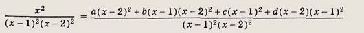
Решение: Отметим, что (х2 - Зх + 2)2 = (х - 1)2(х - 2)2. Заданное равенство есть равенство двух дробей, из которых одна представлена в виде суммы простейших дробей. Имеем
а(х - 2)2 + b(х - 1)(х - 2)2 + с(х - 1)2 + d(x - 2)(х - 1)2 = х2. Полагая в этом равенстве х = 1, находим а = 1, а, полагая х = 2, получим с = 4. При а = 1 и с = 4 перепишем равенство в виде (х - 2)2 + 4(х - 1)2 - х2 = (1 - х)(2 - х)2b + (2 - х)(1 - x)2d. Теперь положим в этом равенстве х = 0 и получим 4b + 2d = 8, т. е. 2b + d = 4; далее, при х = -1 имеем 18b + 12d = 24, т. е. Зb + 2d = 4. Решив полученную систему, найдем b = 4; d = -4. Ответ: а = 1; b = 4; с = 4; d = -4 Задание 38.
Решение: Поделив х3 + 1 на х3 - 5х + 6х с остатком, имеем
b(х - 2)(х - 3) + сх(х - 3) + dx(x - 2) = 5х2 - 6х + 1. Взяв х = 0, находим 6b = 1, т. е
Взяв х = 2, находим -2с = 9, откуда
Наконец, при х = 3, имеем 3d = 28, откуда
Ответ:
Постройте графики функций (39, 40): Задание 39.
Указание: Упростив правую часть равенства, получим
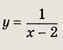
График — гипербола. Задание 40.
Указание: Упростив правую часть равенства, получим
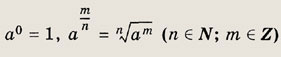
Ответ: • Напомним, что символом
обозначается арифметический корень из неотрицательного числа а, т. е. неотрицательное число b, такое, что b2 - а (соответственно b2n = а). Символ
обозначает любое число b, такое, что b2n + 1 - а. Справедливы равенства:
Далее, если
— рациональное число, а число а > 0, то по определению
а
— вообще для всех а € R. Упростите выражения (41—63): Задание 41. -(0,5)2 : (0,5)3 - 271/3 + 44 • 4-2 - (0,2)0 Ответ: 10 Задание 42.
Ответ:
Задание 43.
Ответ: 8 Задание 44.
Ответ: 10 Задание 45.
Ответ: -3 Задание 46.
Ответ:
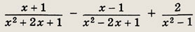
Задание 47.
Ответ: а-2 Задание 48.
Ответ: а4/5 Задание 49.
Ответ: 2аb-1 Задание 50.
Ответ:
Задание 51.
Ответ:
Задание 52.
Ответ:
Задание 53.
Ответ:
Задание 54.
Ответ: 1 Задание 55.
Ответ: 1 Задание 56.
Ответ: 1
Ответ:
Задание 58.
Ответ: а + b Задание 59.
Ответ: -3 Задание 60.
Ответ: 3 Задание 61.
Ответ: 0 Задание 62 .
Ответ: -25 Задание 63.
Ответ:
Упростив правые части равенств, решите уравнения (64—67): Задание 64.
Ответ:
Задание 65.
Ответ: 14 Задание 66.
Решение: Преобразуя правую часть равенства, имеем:
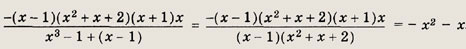
х3 + х - 2 = (х - 1)(х2 + х + 2) = 0, откуда х = 1. Ответ: 1 Задание 67.
Ответ: 1 Упростите следующие числовые и алгебраические выражения (68—79): Задание 68.
Ответ:
Задание 69.
Указание: Найдите числа а и b такие, что a2 +b2 = 18,
Тогда под корнем окажется выражение (а + b)2. Ответ:
Задание 70.
Ответ: 2 Задание 71.
Указание:
Ответ: -2 Задание 72.
Решение: Положим
Тогда, используя формулу (а + b)3 = а3 + b3 + Заb(а + b), получим
Ответ: 1 Задание 73.
Ответ: 4 Задание 74.
Ответ: 3 Задание 75.
Ответ:
Задание 76.
Решение: Так как
Ответ:
Задание 77.
Указание: После извлечения квадратных корней выражение примет вид
Ответ:
если
1, если
Задание 78.
Решение: Так как
получаем
Ответ:
Задание 79.
Указание:
Ответ:
при
при
Постройте графики функций (80—83): Задание 80.
Ответ:
Задание 81.
Ответ:
Задание 82.
Ответ:
Задание 83.
Ответ:
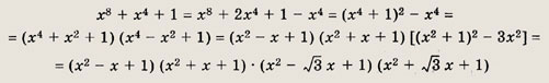
Разложите на множители многочлены (84—89): Задание 84. х4+ х2 + 1 Указание: х4 + х2 + 1 = х4 + 2х2 + 1 -- х2 = (х2 + 1)2 - х2. Ответ: (х2 - х + 1)(х2 + х + 1). Задание 85. х8 + х4 + 1 Решение: Имеем
Ответ:
Задание 86. 9х2 - 6х - у2 + 2у Ответ: (Зх - у)(3х + у - 2) Задание 87. х2 - 2х - 4у2 + 4yz + 1 - z2 Ответ: (х + 2у + z - 1)(х - 2у - z - 1) Задание 88. х4 + у4 Ответ:
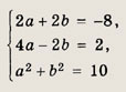
Задание 89. х4 + у4 + х2 у2 Решение: Получаем х4 + у4 + Х2у2 = х4 + у4 + 2х2у2 - х2у2 = (х2 + у2)2 - (ху)2 = (х2 + у2 + ху) (х2 + у2 - ху). Ответ: (х2 + у2 + ху) (х2 + у2 - ху). Задание 90. Найдите все пары чисел (х; у), удовлетворяющие уравнению: а) 2х2 + 5у2 + 2ху - 8х + 2у + 10 = 0 б) 10x2 - 10ху + 5у2 + 2х - 8у + 5 = 0 Решение а). Замечаем, что 2х2 + 5у2 + 2ху = (х + 2у)2 + (х - у)2. Теперь подберем числа а и b так, чтобы (х + 2у + а)2 + (х - у + b)2 = 2х2 + 5у2 + 2ху - 8х + 2у + 10. Приравнивая коэффициенты при подобных членах, имеем
Таким образом, исходное уравнение равносильно уравнению (х + 2у - 1)2 + (х - у - З)2 = 0, т. е.
Отметим, что это решение
можно также получить, решив уравнение относительно одной из
10х2 - 10ху +
5у2 = (3х - 2у)2 + (х + у)2. Ответ:
b)
Задание 91. Найдите все целочисленные решения уравнений: а) х3 - 6х2 - ху + 13х + Зу + 7 = 0 б) 2х3 - 9х2 - ху - 6х + 5у + 12 = 0 Решение b): Запишем уравнение в виде у(х - 5) = 2х3 - 9х2 - 6х + 12, откуда, поделив его правую часть на (х - 5) с остатком, получим
х - 5 = 1=>х = 6, у
=84; Ответ: а) {(4; 27); (2; -17); (22; 423); (-16; 307)} б) {(-2; 4), (4; 28), (6; 84), (12; 30)} Задание 92. Проверьте, что число
удовлетворяет уравнению х3 + 2bх - 2а = 0. Указание: Найдите х3, используя формулу (u - v)3 = u3 - u3 -- 3uv(u - v). Задание 93. Проверьте, что если
Решение: Имеем
Поделитесь этой записью или добавьте в закладки |
Полезные публикации |











































































Главная