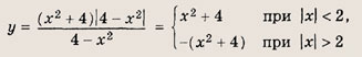
Модуль величины. Графики выражений, содержащих модули • Модулем числа а называется величина, обозначаемая |а| и такая, что Полезно также напомнить следующее. Пусть заданы функция у - f(x) и ее график. Тогда выражения у = |f(x)|, у = f(|x|) и |у| = f(x) определяются следующим образом:
Графики функции у = f(x) и этих выражений приведены ниже.
Графики соотношений, содержащих большее число знаков модуля, строим, последовательно выполняя приведенные выше построения. В заданиях 1—6 постройте графики следующих функций и уравнений: а) у = f(x); б) у = |f(x)|; в) у = f(|x|); г) |у| = f(x); д) у = |f(|х|)|; е) |у| = f(|х|); ж) |у| = |f(x)| з) |у| = |f(|x|)| Задание 1. у = 2х-3 Ответ:
Задание 2. у = 3-х Задание З. у = х2- 4х + 3 Ответ:
Задание 4. у = 3х- х2 Задание 5.
Ответ:
Задание 6.
Ответ:
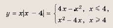
Постройте графики следующих функций и уравнений (7-26): Задание 7. у = |х|(х - 2) Ответ:
Задание 8. у = х|х - 3| Ответ:
Задание 9. у = 2|х + 2| - х - 3| - х Ответ:
Задание 10. у = -|х + 2| + 2|х - 1| + х Ответ:
Задание 11.
Ответ:
Задание 12.
Ответ:
Задание 13.
Ответ:
Задание 14.
Ответ:
Задание 15.
Ответ:
Задание 16.
Ответ:
Задание 17. |x| + 2|y| = 4 Ответ:
Задание 18. |x - 2| + 2| у + 1| = 4 Ответ:
Задание 19. |x + 2| - |y + 1| = 2 Ответ:
Задание 20. 2|x - 2| - |y + 1| = 3 Ответ:
Задание 21. |x + у| + |x - y| = 6 Ответ:
Задание 22. |x + 2y| + |2x -y| = 6 Ответ:
Задание 23. |2x + y| + |x - у - 3| = 1 Ответ:
Задание 24. |x - 2y + 1| + |y + 2x - 3| = 5 Ответ:
Задание 25. (|х| - 1)2+ (у - 2)2 = 4 Ответ:
Задание 26. (Iх| -2)2+ (|у| -1)2= 4 Ответ:
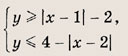
На координатной плоскости отметьте штриховкой множество точек, координаты которых удовлетворяют следующим неравенствам (27—40): Задание 27.
Ответ:
Задание 28.
Указание: Выполните параллельный перенос фигуры, построенной в задании 27. Задание 29.
Ответ:
Задание 30.
Указание: Выполните параллельный перенос фигуры, построенной в задании 29. Задание 31.
Ответ:
Задание 32.
Ответ:
Задание 33.
Ответ:
Задание 34.
Ответ:
Задание 35.
Ответ:
Задание 36.
Ответ:
Задание 37.
Ответ:
Задание 38.
Ответ:
Задание 39.
Ответ:
Задание 40.
Указание: Выполните параллельный перенос фигуры, построенной в задании 39.
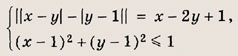
Найдите площадь фигуры, которая задается на координатной плоскости следующими соотношениями (41—46). Задание 41.
Ответ: SABCD = 6
Задание 42.
Решение: Фигура, определяемая заданными неравенствами, — прямоугольник ABCD
Стороны прямоугольника лежат
на следующих прямых: (АB) на у = х + 2; (ВС) на у = 6 - х; (DC)
В (2; 4),
Тогда
откуда:
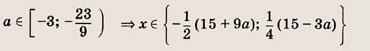
Ответ:
Задание 43.
Указание:
Ответ:
Задание 44.
Ответ:
Задание 45.
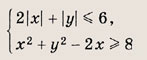
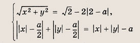
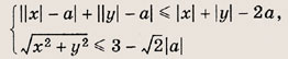
Решение: Запишем данное равенство в виде ||у - х - |у + 1|| = (у - х) + (у + 1) Это равенство справедливо только в том случае, если пара чисел (х; у) удовлетворяет одной из следующих систем неравенств:
Отметим штриховкой в плоскости (х ; у) множество точек, координаты которых удовлетворяют этим неравенствам, а также неравенству (х + 1)2 + (у + 1)2< 2
Мы видим, что площадь заштрихованной области равна
площади круга радиуса
Следовательно, искомая площадь равна
Ответ:
Задание 46.
Указание: См. решение задания 45. Ответ:
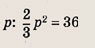
Задание 47. При каких значениях р площадь фигуры, заданной на координатной плоскости условием
Решение: Очевидно, что р > 0. Перепишем неравенство в виде
и найдем ее площадь
а его площадь
Фигура
Таким образом, и площадь фигуры, задаваемой неравенством
равна
поскольку она получается параллельным переносом из фигуры
Ответ: р = 6 Задание 48. Найдите площадь фигуры, которая задается на координатной плоскости системой неравенств
При каких значениях а эта площадь является наибольшей? Решение: Положим u = х - a; v = у - (а2 - 4а + 2), Тогда площадь исходной фигуры будет равна площади фигуры, задаваемой неравенствами
Эти неравенства задают непустое множество лишь при выполнении условия
т. е. при
При этих значениях а получаем квадрат с диагональю |ОА| = 12a - 2а2 - 2
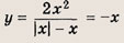
Его площадь S = 2(а2 - 6а + 1)2. Наибольшее значение площадь квадрата принимает при а = 3. Имеем Smax = S(3) = 128. Ответ: S(a) = = 2(a2 - 6a + 1)2, Smax = 128 при а = 3. Задание 49. При каких значениях а система
Ответ:
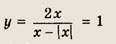
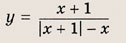
Задание 50. При каких значениях а система
Указание: Постройте графики данных уравнений и проследите, как меняется график первого уравнения при изменении параметра а. Ответ: Задание 51. |х-3| + 2|х+1| = 4 Ответ: {-1} Задание 52. |х + 5| + |х - 8| = 13 Ответ: [-5;8] Задание 53. 2|х-5| = 3|2х - 5| - 4|х - 1| + 1 Ответ:
Задание 54. |х| + |х - 2| + |2х - 1| = 4х - 1 Решение: Раскрывая знак модуля, получаем на каждом из указанных ниже интервалов: 1) при
откуда
откуда
откуда х = 1; 4) при
откуда получаем, что
Ответ: 1 Задание 55. 3||х - 1| = 3|х| - 2 Указание: См. решение задания 56. Ответ:
Задание 56. ||х2 - Зх| - 5| = х - 1 Решение: Данное уравнение равносильно совокупности двух систем:
Решив эти системы, получаем
Аналогично вторая система равносильна следующей совокупности:
Ответ:
Задание 57. х|х| + 2| х - 2| = 3 Ответ:
Задание 58. |х2 - 4х| = х2 + х - 5| - 3 Ответ:
Задание 59. |х2 - 2х -3| + 2|х -2| = 5 Решение: Запишем уравнение в виде |х - 3||х + 1| + 2|х - 2| = 5 Раскрывая знак модуля на каждом из указанных ниже интервалов, получаем: 1) х < -1 => х2 - 2х - 3 - 2х + 4 = 5, т. е. х2 - 4х - 4 = 0, откуда
Однако оба эти корня не удовлетворяют условию х < -1. 2)
т. е. х2 = 2, откуда
В ответ войдет только значение
т. е. х2 - 4х + 6 = 0. Это уравнение решений не имеет. 4) х > 3 => х2 - 2х - 3 + 2х - 4 = 5, т. е. х2 = 12. Учитывая условие х > 3, получаем
Ответ:
Задание 60. |х2 - х|+ |х2 - Зх + 2| = 2 Ответ: Задание 61.
Указание: х = 0 не входит в область допустимых значений. Ответ: {8} Задание 62.
Указание: х = 1 не входит в область допустимых значений. Ответ:
Ответ:
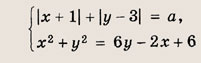
Задание 64.
Решение: Из второго уравнения имеем, что 2у — 4 = -х. Подставив это выражение в первое равенство, получим 3|х + 1| + х = 20, откуда
следует:
т.е.
тогда
не подходит; х > 0 ==> Зх + 3 + х = 20, т. е.
тогда
Ответ:
Задание 65.
Ответ:
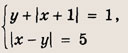
Задание 66.
Решение: Данная система равносильна совокупности
Первая из этих систем приводит к уравнению |х + 2| = - х - 3, которое не имеет решений. Решаем вторую систему. Подставляя у = х - 6 в первое уравнение, получаем |х + 2| = 9 - х, откуда
а тогда
Ответ:
Задание 67. Функция f(x) определена на всей числовой оси, является нечетной, периодической с периодом 4 и на отрезке [0; 2] ее значения вычисляются по формуле f(x) = 1 - |х - 1|. Решите уравнение 2f(x)f(x - 8) - 5f(x + 12) + 2 = 0 Решение: Используя перио- у личность f(x), записываем уравнение в виде 2(ƒ(х))2 - 5ƒ(x) + 2 = 0, откуда
График функции у = ƒ(x) на [-2, -2] изображен на рис.
Теперь решаем уравнения: 1 - [х - 1| = 2, откуда х € 0;
Эти решения будут повторяться с периодом, равным 4. Ответ:
Задание 68. Функция f(x) определена на всей числовой оси, является четной, периодической с периодом 4 и на отрезке [0; 2] ее значения вычисляются по формуле f(x) = |х - 1| - 1. Решите уравнение 2f(x + 4)f(x) + 5f(x + 16) + 2 = 0 Указание: См. решение задания 67. Ответ:
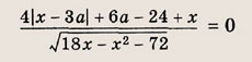
Задание 69. Найдите все значения а, при каждом из которых все решения уравнения 4 |х - За| + 6а - 24 + х = 0 принадлежат отрезку [6; 12]. Найдите эти решения. Решение: Данное уравнение равносильно совокупности двух следующих систем:
Решение первой системы дает:
при
Объединяя решения, получаем ответ. Ответ: при
при
при
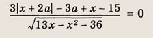
Задание 70. Найдите все значения а, при каждом из которых все решения уравнения 3|х + 2а| - За + х - 15 = 0 принадлежат отрезку [4; 9]. Найдите эти решения. Ответ:
при
Задание 71. При всех значениях а решите уравнение
Ответ: при
при
при
Указание: Должно выполняться неравенство 18х - х2 - 72 > О, откуда
Далее см. решение задачи 69.
Задание 72. При всех значениях а решите уравнение
Ответ: при
при
при
Подумайте, когда выполняются равенства?
Задание 73. Найдите все а, при которых среди решений уравнения 2 |х - а| + |2х - а - 6| = |6 - а| имеется ровно одно целое число. Решение: Положим u = 2х - 2а, v = 2х - а - 6. Тогда уравнение примет вид |u| + |v| = |u — v|, а также равенство выполняется только в том случае, если и и v имеют разные знаки. Следовательно, исходное уравнение равносильно совокупности систем неравенств:
Отметим в плоскости (а, х) штриховкой область, в которой выполняются эти неравенства.
Мы видим, что при а = б уравнение имеет в качестве целочисленного решения только число х = 6. Далее находим, что
Ответ:
Задание 74. Найдите все а, при которых среди решений неравенства
имеются ровно два натуральных числа. Указание: Неравенство выполнено только в том случае, если выражения (х - а - 3) и (х + 2а - 9) имеют разные знаки (в этом случае выполняется равенство). Далее см. решение задания 73. Ответ:
Задание 75. При каких а система уравнений
Решение: Для выполнения первого равенства необходимо, чтобы
При этих значениях а график первого уравнения — окружность с центром О(0; 0) и радиусом
Отметим в плоскости (х; у) штриховкой эту область.
Окружность
Это неравенство выполняется лишь при а = 2, поскольку
это число и является решением. Ответ: {2}. Задание 76. При каких а система неравенств
имеет хотя бы одно решение? Указание: Первое неравенство справедливо только в том случае, если
Далее рассмотрите отдельно случай
При а > 0 решение аналогично решению задания 75. Ответ:
• Использование графических методов (построение графиков, штриховка областей, отвечающих условиям задач) существенно облегчает решение приведенных ниже задач. Установите, сколько решений в зависимости от а имеют следующие уравнения (77—84): Задание 77. ||х - 1| - 2| = а Ответ: При
=> нет решений; при
два решения; при
четыре решения; при а = 2 => три решения.
Задание 78. 2 |х| + | х - 1| = а Ответ: При
нет решений, при а = 1 => одно решение; при
два решения. Задание 79. х|х - 4| = а Решение: Имеем
Ответ: при
одно решение; при
два решения; при
три решения. |х2 - 4х + 3| = а(х - 1) Решение: Запишем уравнение в виде |х - З||х - 1| = а(х - 1). Отметим, что х = 1 — решение этого уравнения при любом а. Теперь построим график функции.
Ответ:
два решения; при
одно решение; при
три решения. Задание 81. |х3 + 8| = а(х + 2) Ответ: При
два решения; при
одно решение; при
три решения. Задание 82. |х4 - 16| = а(4 - х2) Решение: Запишем уравнение в виде
Отметим, что числа х = ±2 - решения этого уравнения при любом а. Далее рассмотрим функцию
и запишем ответ. Ответ: при
четыре решения; при
два решения; при а = 4 => три решения; при
четыре решения; при
два решения. Задание 83.
Ответ: При
нет решений; при а = 2 => два решения; при
четыре решения. Задание 84.
Ответ: При
нет решений; при а = 0 => одно решение; при
два решения; при
три решения; при
четыре решения. Задание 85. При каких значениях а уравнение 3|х - 1| + 2 = ах имеет ровно два решения? Ответ: (2;3) Задание 86. При каких значениях а уравнение 2|х + 3| - 3|х + 4| + 3| х + 5| = ах имеет два различных решения? Решение: Построим график функции у = 2|х + 3| - 3|х + 4| + 3|х + 5|.
Штриховкой отметим те углы, в которых прямая у = ах пересекает построенный график ровно в двух точках. Ответ:
Задание 87. При каких значениях а уравнение х|х + 2а| = а - 1 имеет единственное решение? Решение: Рассмотрим два случая. 1) Пусть а < 0. Построим график функции у = х|х + 2а|.
Тогда уравнение имеет единственное решение, если а - 1 < 0 или если а - 1 > а2. Второе неравенство решений не имеет. Получаем, что подходят все значения а < 0. Очевидно, также подходит а = 0. 2) Пусть а > 0.
Тогда уравнение имеет единственное решение при а - 1 > 0, т. е. а > 1, а также в случае, если а - 1 < -а2, т. е. а2 + а - 1 < 0. Решая последнее неравенство и учитывая, что а > 0, получаем
Объединяя все решения, записываем ответ: Ответ:
Задание 88. При каких значениях а уравнение |х2 - 2х| + |х2 - Зх + 2| = х2 - 4х + а имеет ровно три различных решения? Решение: Запишем уравнение в виде |х2 - 2х| + |х2 - Зх + 2| - |х - 2|2 = а - 4, т. е. |х - 2|(|х| + |х - 1| - |х - 2|) = а - 4 и построим график левой части этого уравнения.
Получаем кривую, состоящую из кусков парабол. Три решения получаются только в том случае, если а - 4 = 0 или
Значит, что
Ответ:
Задание 89. При каких а система уравнений
Решение:
эта функция не определена.
Графиком функции у = -(х + а)2 + 3 - а — является парабола с вершиной
Точка пересечения графиков будет единственной, если
либо у(-а) = 1. Неравенство
т. е.
дает а € [-2; 1]. Число а = -2 следует исключить, поскольку в этом случае парабола пересекает ось Оу левой ветвью в точке у = 1, т. е. система не имеет решений. Уравнение у(-а) = 1 имеет вид 3 - а = 1, откуда а = 2. Ответ:
Задание 90. При каких а система уравнении
Решение: Имеем
при х < 0; (х - а)2 + (у - За + 2)2 = 4 — окружность радиуса 2, центр которой М(а; За - 2) с изменением а движется по прямой у = Зх - 2.
Точкой пересечения прямой у = х (перпендикуляра к у = -х в точке О(0; 0)) и прямой у = Зх - 2 является точка М1(1; 1). Расстояние от М1 до О равно
Так как у = -х — касательная к окружности (х - а)2 + (у - За + 2)2 = 4, то уравнение (х- а)2 + (-х- За + 2)2=4 должно иметь единственное решение. Раскрывая скобки и приводя подобные члены, приравнивая дискриминант квадратного трехчлена нулю, получаем
Следует взять положительное значение а, т. е.
Легко видеть, что точка М2 получается при а = 0. Ответ: Задание 91. При каких а уравнение |х2 - 6х + 5| = ах - 1 имеет единственное решение? Ответ:
Решите следующие уравнения (92—98): Задание 92. |х - 1| + 2х = а Ответ: При
при
Задание 93. х|х - 4| = а Решение: Построим график функции у = х|х - 4| и найдем абсциссы точек пересечения этого графика с прямой у = а
Имеем: х1 и х2 — корни уравнения 4х - х2 = а, т. е. х2 - 4х + а = 0, откуда
х3 - больший корень уравнения х2 - 4х - а = 0, откуда
Ответ: при
при
при
при
при
Задание 94. |х+1 + а|х - 2| = 3 Ответ: при
при
при
х = 2 при
Задание 95. |х2 - 4х + 3| = а|х - 1| Указание: Запишите уравнение в виде |х - 3||х - 1| = а|х - 1|. Ответ: при
при
при
при
при
Задание 96. х2 + Зх = |а(х + 3)| Решение: Запишем уравнение в виде х(х + 3) = |а||х + 3|. Отметим, что х = -3 — решение уравнения при любом а. Если
то
Построим график этого уравнения.
Ответ: при
при
при
при
Задание 97. х2 + |х + а| - 2 = 0 Решение: Раскрывая модуль, получаем
Решим эти уравнения:
Строим график:
Ответ: при
при
при
при
при
при
Задание 98. а(х - 1)2 - х - 3| + 2 = 0 Ответ:
при
при
Поделитесь этой записью или добавьте в закладки |
Полезные публикации |


























































































































Главная