Варианты проверочных работ
Задание 1. Найдите модуль и аргумент комплексного числа Задание 2. Решите уравнение z3 - 6z - 9 = 0. Задание 3. Какое множество точек комплексной плоскости задается условием |z + 1| =| z - i| ? Задание 4. Для каждого а > 1 найдите все комплексные числа г, удовлетворяющие равенству z + а |z + 1| + i = 0. Задание 5. Сколько различных десятизначных чисел можно написать, используя цифры 1 и 2? Задание 6. Сколькими способами можно расставить на 32 черных полях шахматной доски 12 белых и 12 черных шашек? Задание 7. Найдите члены разложения
являющиеся целыми числами. Задание 8. Из десяти билетов выигрышными являются два. Определите вероятность того, что среди наудачу взятых пяти билетов один выигрышный. Задание 9. Сколько чисел, меньших 1000, можно составить из цифр 5, 7, 3? Задание 10. В шар вписан куб. Точка бросается наугад в шар. Какова вероятность того, что она попадет в куб?
Задание 1. Представьте число z = (tg 1I - i)4 в тригонометрической форме. Задание 2. Решите уравнение (а € R) |z|2 + 2iz + 2a(1 + i) = 0. Задание 3. Среди комплексных чисел z, удовлетворяющих условию
найдите число, имеющее наименьший положительный аргумент. Задание 4. Найдите множество точек комплексной плоскости, удовлетворяющих условию |z - 2|2 + |z + 2|2 = 26. Задание 5. Сколько четырехзначных чисел можно записать при помощи цифр 1 и 2, если каждая из них входит в изображение числа дважды. Задание 6. Сколькими способами 12 одинаковых монет можно разложить по пяти различным кошелькам так, чтобы ни один кошелек не остался пустым? Задание 7. Найдите коэффициент многочлена (1 + х2 - х3)9 при х8. Задание 8. Экзаменационная программа содержит 40 вопросов. На экзамене предлагается ответить на два из них. Ученик подготовил ответы на 30 вопросов. Какова вероятность того, что на экзамене ему предложат два вопроса, на которые он приготовил ответ? Задание 9. Чему равна сумма четырехзначных чисел, полученных при всевозможных перестановках цифр 8, 3,3, 4? Задание 10. В 25 см от центра шара, радиус которого 15 см, находится точечный источник света. Какова вероятность того, что наудачу взятая точка на поверхности шара окажется освещенной?
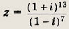
Вариант 3 Задание 1. Найдите модуль комплексного числа w = z3 + z5, если
Задание 2. Для каждого a € R найдите все комплексные числа z, удовлетворяющие уравнению z|z| + az + i = 0. Задание 3. Комплексное число z является корнем уравнения z3 - 3z2 + 6z - 4 = 0. Найдите
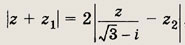
если известно, что
Задание 4. Изобразите множество точек г, удовлетворяющих соотношению
Задание 5. Сколькими способами можно расставить белые фигуры: 2 слона, 2 ладьи, 2 коня, 1 ферзя и 1 короля на первой линии шахматной доски? Задание 6. Сколько существует треугольников, длины сторон которых принимают значения 8, 10, 12, 14 см? Сколько среди них равносторонних, равнобедренных, разносторонних? Задание 7. Найдите наибольший коэффициент многочлена
Задание 8. В партии из n изделий k бракованных. Определите вероятность того, что среди выбранных наудачу для проверки m изделий равно l бракованных. Задание 9. В двух урнах находятся шары, отличающиеся только цветом, причем в 1-й урне 5 белых шаров, 11 черных и 8 красных, а во 2-й соответственно 10, 8, 6 шаров. Из обеих урн наудачу извлекается по одному шару. Какова вероятность того, что оба шара одного цвета? Задание 10. Какова вероятность того, что монета с радиусом
наудачу брошенная на координатную плоскость, не закроет ни одной точки, координаты которой удовлетворяют уравнению sin у = sin 2x? Поделитесь этой записью или добавьте в закладки |
Полезные публикации |


Главная