Варианты проверочных работ
Вариант 1 Решите следующие уравнения, неравенства и систему уравнений: Задание 1. 4x+1 + 7 • 2x - 2 = 0 Задание 2.
Задание 3. 3 • 16x + 2 • 81x = 5 • 36x Задание 4.
Задание 5.
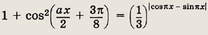
Задание 6.
Задание 7.
Задание 8. Упростите выражение
Задание 9. Постройте график функции
Задание 10. Найдите все значения а, при которых неравенство 16x < 126 • 4x - а не имеет ни одного целочисленного решения.
Задание 1. Упростите
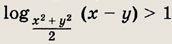
Задание 2. На координатной плоскости отметьте штриховкой точки, координаты которых удовлетворяют неравенству
Задание 3. Постройте график функции у = |log2 (x - 2)2|.
Решите уравнения и неравенства: Задание 4. Iog2(x + 2) + Iog2(x + 1) = 2 Задание 5.
Задание 6.
Задание 7.
Задание 8.
Задание 9. Найдите все значения х, которые удовлетворяют уравнению
При любых значениях параметра. Задание 10. Найдите все значения параметра а из интервала (5; 16), при каждом из которых существует хотя бы одно х € [1; 2], удовлетворяющее уравнению
Задание 1. Упростите
Задание 2. Постройте график функции
Задание 3.
Задание 4.
Задание 5.
Задание 6.
Задание 7.
Задание 8.
Задание 9. Найдите а, при которых уравнение
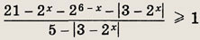
Задание 10. Найдите все х € (0,5; 2,5), удовлетворяющие неравенству
при любых значениях параметра а € (0; 2). Поделитесь этой записью или добавьте в закладки |
Полезные публикации |






Главная