Варианты проверочных работ
Вариант 1
Разделите многочлен 2х4 + х3 - 5х2 - х + 1 на х2 - х. Укажите частное и остаток. Ответ:
2х3 + х2 - 4х - 2 = 0 Задание 4.
Задание 5.
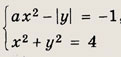
Если двузначное число разделить на число, записанное теми же цифрами, но в обратном порядке, то в частном получится 4, а в остатке 15. Если же из данного числа вычесть 9, то получится сумма квадратов цифр этого числа. Найдите это число. Задание 7. При каких значениях а и b многочлен Зх3 + 2ах2 -- bх + 4 делится на х2 + 1 без остатка? Задание 8. Найдите все а, при которых система
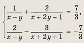
Задание 1. (х + 1)(х2 + 2) + (х + 2)(х2 + 1) = 2 Задание 2. (х - З)4 + (х - 5)4 = 82 Задание 3.
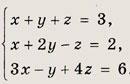
Задание 4.
Задание 5. Если двузначное число разделить на сумму его цифр, то получится в частном бив остатке 2. Если же это число разделить на произведение его цифр, то получится в частном 5, а в остатке 2. Найдите это число. Задание 6. При каких а и b многочлен х4 + ах3 + bх2 - 8х + 1 является точным квадратом другого многочлена? Задание 7. При каких а система уравнений
Задание 8. Сколько решений в зависимости от а имеет уравнение |х4 - 1| = а(х2 - 1)?
Задание 1. 4x3 - 24x2 + 21x - 5 = 0 Задание 2.
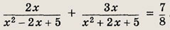
Задание 3.
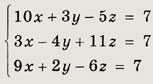
Задание 4.
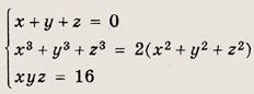
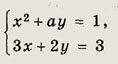
Задание 5. При каких значениях а система уравнений
Задание 6. Сколько решений в зависимости от а имеет уравнение |х4 - 16| = а(4 - х2)? Задание 7. При каких значениях а для любого b найдется хотя бы одно с такое, что система уравнений
Задание 8. При каких значениях а и b существуют два различных корня уравнения х3 - 5х2 + 7х = а, являющихся одновременно и корнями уравнения х3 - 8х + b = 0? Поделитесь этой записью или добавьте в закладки |
Полезные публикации |









Главная