Варианты проверочных работ
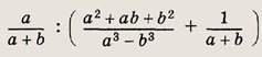
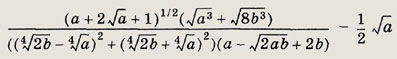
Вариант 1 Упростите выражения: Задание 1.
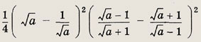
Задание 2.
Задание 3.
Задание 4.
Задание 5.
Задание 6. Постройте график функции
Задание 7. Сравните числа
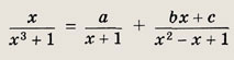
Задание 8. Найдите числа a и b и с такие, что
Вариант 2
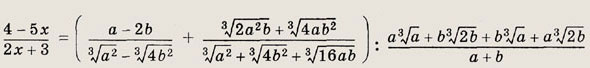
Задание 1.
Задание 2.
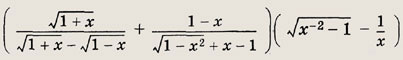
при условии х > 0. Задание 3.
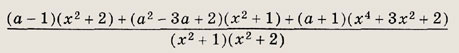
Задание 4.
Задание 5.
Задание 6. Упростив правую часть равенства, решите уравнение
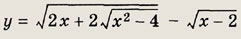
Задание 7. Постройте график функции
Задание 8. Разложите на множители выражение х4 + у4 - х2у2.
Вариант 3 Задание 1. Избавьтесь от иррациональности в знаменателе дроби
Задание 2. Упростив правую часть равенства, решите уравнение
Задание 3. При каких а выражение
не зависит от х? Задание 4. Проверьте, что число
является корнем уравнения х3 + 12х -8 = 0. Задание 5. Постройте график функции
Задание 6. Разложите на множители многочлен X4 + X3 + X2 + X + 1. Задание 7. Найдите все пары целых чисел х и у, удовлетворяющих уравнению Зху + 16х + 13у + 61 = 0. Задание 8. Найдите сумму коэффициентов многочлена (х4 - х + 1)1999 + (х5 + х - 1)1999, стоящих при нечетных степенях х. Поделитесь этой записью или добавьте в закладки |
Полезные публикации |












Главная