Варианты проверочных работ
Вариант 1 Решите неравенства:
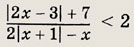
Задание 2.
Задание 3.
Задание 4. |x - 1| - 3 > x - |x - 2| Задание 5. Найдите все с € R, для каждого из которых числа х и у, удовлетворяющие системе
Задание 6. На координатной плоскости (х, у) отметьте штриховкой область, задаваемую неравенствами Задание 7. При каких а из неравенства х2 - (За + 1)x + а > 0 следует неравенство x > 1? Задание 8. Решите неравенство
Вариант 2 Решите неравенства и системы неравенств: Задание 1.
Задание 2.
Задание 3.
Задание 4.
Задание 5. На координатной плоскости отметьте штриховкой область, задаваемую неравенствами
Задание 6. Найдите все а, при которых неравенство
выполняется для всех пар (х; у) таких, что |х| = |у|. Задание 7. При каких а все решения неравенства ах2 - х + 2 -- 4а < 0 принадлежат интервалу (0; 2)? Задание 8. Решите неравенство ||х| - 1| < 2ах.
Вариант 3 Решите неравенства: Задание 1.
Задание 2.
Задание 3. Зх2(х - 4)2< 32 - 5(х - 2)2 Задание 4. Числа х и у удовлетворяют системе неравенств:
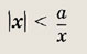
Задание 5. Найдите все значения х, при которых неравенство (2с - 6)х2 + (32 - 10с)х - (8 + с) < 0 выполняется для всех с € (2; 4). Задание 6. Решите неравенство |1 - |x|| < а - x. Задание 7. При каком а система неравенств
Задание 8. Найдите все значения параметра а, при каждом из которых число целочисленных решений неравенства
максимально. Поделитесь этой записью или добавьте в закладки |
Полезные публикации |





Главная