Варианты проверочных работ
Вариант 1 Задание 1. Решите уравнение
Ответ
На координатной плоскости отметьте штриховкой множество точек, координаты которых удовлетворяют системе неравенств
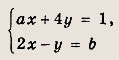
Задание 3. При каких значениях коэффициентов а и b решением системы
ОтветЗадание 4. Постройте график уравнения х2 + у2 + 4х - 6у - 3 = 0. Задание 5. При каких значениях а система уравнений Задание 6. При всех а решите неравенство
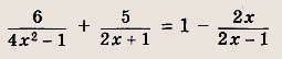
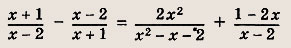
Задание 1. Решите уравнение
Задание 2. На координатной плоскости отметьте штриховкой множество точек, координаты которых удовлетворяют неравенству х2 - х < у - ху. Задание 3. При каких значениях коэффициентов а и b пары чисел (1; 1) и (-1; -2) являются решениями уравнения ах - 2у = b? Задание 4. При всех а решите неравенство
Задание 5. При каких а система уравнений
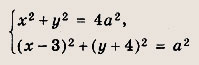
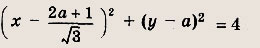
Задание 6. При каких а круг
лежит внутри круга
Задание 1. Решите уравнение
Задание 2. На координатной плоскости отметьте штриховкой множество точек, координаты которых удовлетворяют неравенству
Задание 3. При всех а укажите наименьший из корней уравнения (х + а- 1)(х - а)(х - 2а - 1) = 0 Задание 4. При каких а неравенство
выполнено для всех
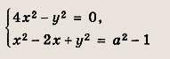
Ответ При каких а система
имеет решение? Задание 6. При каких а окружность
пересекается с лучом Поделитесь этой записью или добавьте в закладки |
Полезные публикации |










Главная