Планиметрия
периметр Справедливы следующие равенства:
В частности, если
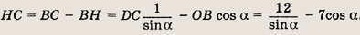
то а2 + b2 = с2. При проведении вычислений в треугольнике следует смелее использовать тригонометрию. Применение тригонометрических формул к решению геометрических задач основано на следующих В соотношениях в прямоугольном треугольнике:
если
то
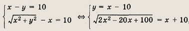
Решите следующие задачи (1—121): Задание 1. Длина одного из катетов прямоугольного треугольника больше длины другого катета на 10 см, но меньше длины гипотенузы на 10 см. Найдите длину гипотенузы. Решение. Пусть х см и у см — длины катетов треугольника (х > у). Согласно теореме Пифагора длина гипотенузы равна
По условию
Ответ: 50 см. Задание 2. Сумма длин катетов прямоугольного треугольника равна 34 см, а разность их длин равна 14 см. Найдите длину гипотенузы. Ответ: 26 см. Задание 3. Найдите отношение длины гипотенузы прямоугольного треугольника к длине большого катета, если: а) длины катетов относятся
как 3 : 7;
в) длина гипотенузы относится к длине меньшего катета как 3:1. Решение. а) Обозначим катеты через а = Зx и b = 7х. По теореме Пифагора гипотенуза Отношение гипотенузы к большему катету
Ответ: a)
Задание 4. В прямоугольном треугольнике один из углов равен 30°, а сумма длин гипотенузы и меньшего катета равна 9 см. Найдите длины гипотенузы и катетов. Указание. Гипотенуза в 2 раза больше меньшего катета. Ответ:
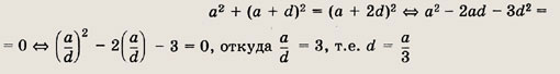
Задание 5. Длины сторон прямоугольного треугольника образуют арифметическую прогрессию. Найдите величины острых углов треугольника. Решение. Пусть а — первый член ее прогрессии, a d — ее разность. Тогда катеты и гипотенуза треугольника равны а, а + d и а + 2d.
По теореме Пифагора
Таким образом,
Косинус острого угла в
прямоугольном треугольнике равен отношению прилежащего катета к гипотенузе,
Ответ:
Задание 6. Меньший катет прямоугольного треугольника равен а, длины его сторон образуют арифметическую прогрессию. Найдите площадь треугольника. Ответ:
Задание 7. В прямоугольном треугольнике длины медиан, проведенных к катетам, равны 4 см и 5 см. Найдите длину гипотенузы. Ответ:
Задание 8. Найдите длину высоты прямоугольного треугольника, если он делит гипотенузу на отрезки 32 см и 18 см. Указание. Пусть h — высота. Тогда квадраты катетов равны h2 + 322 и h2 + 182, квадрат гипотенузы равен 502. Ответ: 24 см. Задание 9. Найдите острые углы прямоугольного треугольника, если медиана, проведенная к гипотенузе, делит прямой угол в отношении 1 : 2. Ответ: 30°; 60° Задание 10. На гипотенузе прямоугольного треугольника взята точка, равноудаленная от обоих катетов. Эта точка делит гипотенузу на отрезки 30 см и 40 см. Найдите длины катетов. Решение. Пусть
Положим < BAC = < BDM = а. Так как
т.е
Ответ: 42см.; 56 см. Задание 11. В равнобедренный прямоугольный треугольник вписан квадрат так, что две его вершины лежат на гипотенузе, а две другие — на катетах. Найдите длину стороны квадрата, если длина гипотенузы равна 6 см. Ответ: 2 см. Задание 12. В прямоугольном треугольнике один катет вдвое длиннее другого, в длина гипотенузы равна
Найдите длину биссектрисы прямого угла. Ответ: 4 см. Задание 13. В Ответ: 72°; 75°; 33° Задание 14. В Ответ: 85° Задание 15. В Ответ: 105°; 45°; 30° Задание 16. В а) угол между высотами
РК и QL; Решение. а) Пусть N — точка пересечения высот QL и РК.
Требуется найти угол <
PNL. Треугольник PKR — прямоугольный, значит, сумма его острых углов равна <
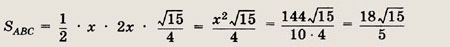
KPR + < KRP = 90°. Но < KRP = 40°, поэтому < KPR = 50°. Аналогично,
из прямоугольного треугольника PLH находим угол < PNL = 90° - < LNPL =
90° - < KPR = = 40°. Ответ: a) 40° Задание 17. В Решение. Пусть KL и РМ — биссектрисы,
Тогда
Кроме того,
Запишем сумму углов
Ответ: 20°; 40°; 60° Задание 18. В Ответ: 44°; 72°; 60° Задание 19. В равнобедренном треугольнике основание равно 30 см, а высота, опущенная на это основание, равна 20 см. Найдите длину высоты, опущенной на боковую сторону. Ответ: 24 см. Задание 20. Найдите площадь равнобедренного треугольника, если высота, опущенная на основание, равна 10 см, а высота, опущенная на боковую сторону, равна 12 см. Решение. Пусть АВ = ВС, BD = 10 см, АH = 12 см.
Тогда площадь треугольника
С другой стороны,
Таким образом,
Полагая АС = 6x и ВС = 5х, найдем
По теореме Пифагора из прямоугольного треугольника BDС высота
откуда
Ответ: 75 см2. Задание 21. Основание равнобедренного треугольника равно
а медиана боковой стороны равна 5 см. Найдите длину боковой стороны. Решение. Пусть АВ = ВС, AM — медиана, О — точка пересечения медиан.
Так как
Аналогично,
откуда по теореме Пифагора
Сторону АВ находим по теореме Пифагора из прямоугольного треугольника ADB. Ответ: 6 см. Задание 22. В треугольнике длина основания на 4 см меньше длины высоты, опущенной на это основание. Площадь треугольника равна 96 см2. Найдите длину основания. Ответ: 12см. Задание 23. Площадь равнобедренного треугольника АBС (АB = BС) равна 36 см2, BD — высота. Найдите длину стороны
Решение. б) Пусть DC = х.
По теореме Пифагора
Тогда площадь
Решив это уравнение, находим
х1 = 9, х2 = 4. Так как х — половина искомой стороны,
то получаем, что длина АС равна либо 8 см, либо 18 см. Ответ: а) 6 см. Задание 24. В а) KL = 10 см, LM = б см,
КМ = 8 см; Ответ:
Задание 25. В Ответ: 4 см. Задание 26. Найдите косинусы углов а) АВ = 3 см, ВС = 4 см,
АС = 5 см; Решение. а) По теореме косинусов имеем АС2 = ВС2 + АВ2 -- 2АВ • ВС cos < AВС, т.е.
Аналогично,
Ответ: a)
Задание 27. В
Указание. Обозначьте сторону АС через
х и примените теорему косинусов. . Ответ: а) 12 см. Задание 28. В треугольнике длины сторон равны 11, 12 и 13 см. Найдите длину медианы, проведенной к большей стороне. Ответ: 9,5 см. Задание 29. В треугольнике величины
углов при вершинах относятся как 3 : 4 : 5, а длина стороны, лежащей против
Найдите длины сторон и площадь треугольника. Ответ:
Задание 30. В Решение. Пусть
(рис. а).
Тогда АВ = х + 2 и
По теореме синусов
т.е.
Корень x2
не подходит. Действительно,
используя теорему косинусов, найдем косинусы углов
Ho
Ответ: 4 см.; 5см.; 6 см. Задание 31. В равнобедренном треугольнике угол при основании равен
Найдите периметр треугольника, если его площадь равна S. Ответ:
Задание 32. В равнобедренном треугольнике
ABC на боковой стороне ВС взяты точки D и Е так, что DE = ЕС = 2 см.
Решение. Пусть
По теореме косинусов
Так как
то
Далее, снова по теореме косинусов АС2 = АE2 + ЕС2 - 2АЕ • ЕС cos ß = 25, т.е. АС = 5. Треугольник ЕАС — равнобедренный и, следовательно, < ACE = ß. Треугольники ABC и EАС подобны, причем коэффициент подобия равен
Отношение периметров подобных треугольников равно коэффициенту подобия, т.е.
Ответ: 30 см. Задание 33. Точка D лежит на боковой
стороне ВС равнобедренного треугольника ABC. Найдите площадь
Ответ:
• Напомним, что площадь параллелограмма находится по формуле
где BE -- высота, проведенная к стороне AD.
Площадь трапеции ABCD (AD || BC) вычисляется по формуле
Задание 34. Площадь прямоугольника равна
а величина одного из углов, образованного диагоналями, равна 120°. Найдите стороны прямоугольника. Ответ:
Задание 35. Найдите величину угла между диагоналями прямоугольника, если его периметр равен 2р, а площадь равна
Ответ: П - 2 arctg 3. Задание 36. Периметр прямоугольника равен 46 см, а его диагональ равна 17 см. Найдите площадь прямоугольника. Ответ: 120см2. Задание 37. Одна из сторон параллелограмма равна
его площадь равна 12 см2, а острый угол между сторонами равен 60°. Найдите длину другой стороны параллелограмма. Ответ: 2 см. Задание 38. Найдите площадь параллелограмма, если его диагонали равны 3 см и 5 см, а острый угол между ними равен 60°. Ответ:
Задание 39. Найдите площадь параллелограмма, если его диагонали равны 25 см и 15 см, а острый угол между сторонами равен 45°. Ответ: 100 см2 Задание 40. Периметр ромба равен 48 см, а сумма длин его диагоналей равна 26 см. Найдите площадь ромба. Решение. Пусть О — точка пересечения диагоналей ромба.
Стороны ромба равны, т.е. АВ = ВС = CD = AD = 12см. Пусть ОВ = х; тогда ОС = 13 - х. По теореме Пифагора х2 + (13 - х)2 = 122, 2x2 - 26x + 25 = 0, т.е. 26x - 2x2 = 25. Так как
Ответ: 25 см2 Задание 41. Сумма длин диагоналей ромба равна 5 см, а его площадь равна 2 см2. Найдите длину стороны ромба. Ответ:
Задание 42. Найдите площадь ромба, если его высота равна 12 см, а меньшая диагональ равна 13 см. Ответ: 202,8 см. Задание 43. Найдите длину стороны ромба, если его площадь равна Q, а длины диагоналей относятся как m : n. Ответ:
Задание 44. Длины сторон параллелограмма относятся как 5 : 8, угол между ними равен 60°. Найдите периметр параллелограмма, если его площадь равна
Ответ: 52 см. Задание 45. В параллелограмме ABCD АВ = 2 см, ВС = 3 см, точка Е — середина стороны AD. Найдите площадь параллелограмма, если известно, что отрезки АС и BE перпендикулярны. Решение. Проведем DM и C/V параллельно jB? (точка М лежит на ВС, N — на продолжении AD).
Пусть Р и Q — точки пересечения BE и MD с АС. Треугольники ABE и MCD равны (АВ = CD, < ВАЕ = < МСD и < ABE = < CDM как углы со взаимно параллельными и противоположно направленными сторонами). Отсюда следует, что
По теореме Фалеса, примененной к углам
Обозначим эти отрезки через y. Треугольники АРE и BРС подобны по трем углам, причем коэффициент подобия равен
Пусть РЕ = х, тогда ВР
= 2x. Так как
Ответ:
Задание 46. В равнобочной трапеции высота равна 12 см, а средняя линия равна 16 см. Найдите длину диагонали трапеции. Решение. Пусть MN — средняя линия трапеции, ВР и CQ — высоты.
Треугольники АВР и QCD равны по гипотенузе (AS = CD) и катету (ВР = CQ). Следовательно, АР = QD. Кроме того, ВС = PQ. Сумма оснований трапеции ВС + AD = ZAP + 2PQ = 2AQ. Отсюда следует, что AQ = MN = 16 см. Диагональ АС находим из прямоугольного треугольника
Ответ: 20 см. Задание 47. В равнобочной трапеции длина боковой стороны равна длине средней линии. Найдите длину боковой стороны, если периметр трапеции равен 48 см. Ответ: 12 см. Задание 48. Средняя линия трапеции равна 10 см и делит ее площадь в отношении 3:5. Найдите длины оснований трапеции. Ответ: 5 см и 15 см. Задание 49. На боковых сторонах АВ и CD трапеции ABCD взяты точки М и N так, что отрезок MN параллелен основаниям и делит площадь трапеции пополам. Найдите MN, если ВС = a, AD = b. Решение. Пусть ВС = a, AD = b.
Продолжим АВ и CD до пересечения в точке S. Треугольники ASD, MSN, BSC подобны. Площади подобных треугольников относятся как квадраты соответствующих сторон. Обозначим площадь треугольника BSC через
Так как
Ответ:
Задание 50. Диагональ равнобочной трапеции делит ее тупой угол пополам. Меньшее основание трапеции равно 3 см, а периметр равен 42 см. Найдите площадь трапеции. Указание. Проведите диагональ и докажите, что отсекаемый остроугольный треугольник является равнобедренным. Ответ: 96 см2 Задание 51. Основания трапеции равны 4 см и 10 см. Одна из боковых сторон составляет с меньшим основанием угол 150°. Найдите эту боковую сторону, если площадь трапеции равна 21 см2. Ответ: 6см. Задание 52. Основание АВ трапеции ABCD вдвое длиннее основания CD и боковой стороны AD. Найдите площадь трапеции, если АС = а, ВС = b. Ответ:
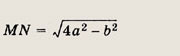
Задание 53. Длины основания KN, диагонали КМ и боковой стороны KL трапеции KLMN равны а, а длина диагонали LN равна b. Найдите длину боковой стороны MN. Решение. Пусть LH и МР — высоты трапеции и пусть НК = х
По теореме Пифагора
Из прямоугольного треугольника LHN получаем LH2 + HN2 = LN2<=> (а2 - х2) + (а + х)2 = b2 <=> 2ах = b2 - 2а2. Треугольники LHK и МРК равны как прямоугольные по катету и гипотенузе, поэтому КР = НК = х. В прямоугольном треугольнике MPN сторона
поэтому MN2 = МР2 + PN2 = а2 - х2 + (а - х)2 = 2а2 - 2ах = 2а2 - (b2 - 2а2) = 4а2 - b2, т.е.
Ответ:
Задание 54. Длина диагонали BD трапеции ABCD равна т, а длина боковой стороны AD равна n. Найдите длину основания CD, если известно, что длины основания, диагонали и боковой стороны трапеции, выходящих из вершины С, равны между собой. Ответ:
Задание 55. В выпуклом четырехугольнике ABCD диагонали АС и BD пересекаются в точке О. Найдите отношение площадей: а) Решение. а) Пусть Sboc = S.
Из того, что
Так как
Значит,
Ответ: a) 2 : 3 Задание 56. На сторонах выпуклого четырехугольника ABCD, площадь которого равна 1, взяты точки: К на АВ, L на ВС, М на CD и N на АD так, что АК : KB = 2; BL : LC = = 1 : 3; СМ : MD = 1; DN : NA = 1 : 5. Найдите площадь шестиугольника AKLCMN. Решение. Площади треугольников ABC и KBL
относятся как
т.е.
откуда
Аналогично,
Площадь
Ответ:
Задание 57. Диагонали выпуклого четырехугольника
ABCD пересекаются в точке Р. Известно, что площади Ответ:
Задание 58. Найдите площадь правильного двенадцатиугольника со стороной а. • Радиусы, r и R вписанной
в
Указание. Данный двенадцатиугольник можно разбить на 12 равнобедренных треугольников с боковой стороной а и углом 30° при вершине. Ответ: За2 Задание 59. Найдите радиусы вписанной
в
Ответ:
Задание 60. В равнобедренном треугольнике сторона основания равна а, а радиус вписанной окружности равен r. Найдите длину боковой стороны треугольника. Решение. Положим
Пусть О — центр вписанной окружности.
Так как
то
Ответ:
Задание 61. Гипотенуза прямоугольного треугольника равна 34 см, а длины катетов относятся как 8 : 15. Найдите радиус вписанной окружности. Ответ: 6 см. Задание 62. Периметр прямоугольного треугольника равен 2р (см), а его гипотенуза равна q (см). Найдите радиус вписанной окружности и площадь треугольника. Решение. Пусть вписанная окружность
касается сторон
Тогда СР = CR, AR = AQ,
BР = BQ как отрезки касательных, проведенных к окружности из одной точки. Положим
CR = х, AR = у, ВР = r. (Заметим, что BPOQ — квадрат и r — радиус вписанной
окружности.) Периметр Ответ: р - q ; р(р - q) Задание 63. Найдите радиусы вписанной
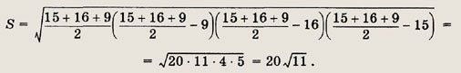
в Указание. Для нахождения площади треугольника примените формулу Герона. Ответ:
и
Напомним, что площадь круга радиуса R вычисляется по формуле S = ПR2. Задание 64. Найдите отношение площадей
описанного около Ответ:
Задание 65. Стороны треугольника пропорциональны числам 3, 4 и 5. Во сколько раз площадь описанного около треугольника круга больше площади вписанного в него круга? Ответ: 6 , 25 Задание 66. В прямоугольном треугольнике гипотенуза равна 13 см, а катет равен 12 см. На какие отрезки делит точка касания вписанной окружности этот катет? Ответ: 2 см и 10 см. Задание 67. В прямоугольный треугольник вписана окружность. Гипотенуза делится точкой касания в отношении 2:3. Найдите длину гипотенузы, если периметр треугольника равен 36 см. Решение. Пусть Р, Q, R — точки касания
вписанной окружности со сторонами
По условию,
Положим AR = 2х, RC = Зх, РВ = у. Так как АР = АR, СR = CQ, ВР = BQ, то АР = 2х, CQ = Зx, BQ = y. По теореме Пифагора АС2 = АВ2 + SC2, т.е.
Таким образом, периметр
Ответ: 15 см. Задание 68. В Указание. Искомое расстояние можно найти по теореме Пифагора из прямоугольного треугольника О1О2Р
в котором О1Р — сумма, а О2Р — разность радиусов окружностей. Ответ:
Задание 69. В прямоугольном треугольнике ABC известны длины катетов: ВС = 4 см, АС = 3 см. Найдите расстояние между центрами вписанной в него и описанной около него окружностей. Где лежит центр описанной окружности? Ответ:
на середине гипотенузы. Задание 70. Катеты прямоугольного треугольника равны 15 см и 20 см. Найдите расстояние от центра вписанной в треугольник окружности до высоты, опущенной из вершины прямого угла. Ответ: 1 см. Задание 71. В равнобедренном треугольнике основание равно 6 см, а боковая сторона равна 5 см. Найдите расстояние между центрами вписанной и описанной окружностей. Ответ:
Задание 72. В равнобедренном треугольнике центр вписанной окружности делит высоту треугольника в отношении 12 : 5. Найдите площадь этого треугольника, если длина боковой стороны равна 60 см. Ответ:
Задание 73. В прямоугольный треугольник
LMN вписана окружность радиуса а, касающаяся катета LN в точке Р. Длина катета
LN равна 6а. Найдите длины сторон Указание. Пусть Q — точка касания вписанной окружности катета LM. Положите QM = х и воспользуйтесь решением задачи 67. Ответ:
Задание 74. В остроугольном треугольнике AВС величина угла при вершине А относится к величине угла при вершине С как 7:6. Найдите углы данного треугольника, если отрезок, соединяющий центры его вписанной и описанной окружностей, виден из вершины В под углом 5°. Решение. Пусть в
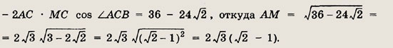
По условию отношение углов
Ответ: 50°; 60°; 70° Задание 75. В остроугольном треугольнике
ABC величина меньшего угла < ABC равна 40°, О -- центр описанной, К — центр
вписанной окружности. Найдите углы Ответ: 85°, 55°, 40° Задание 76. В остроугольном треугольнике ABC точка О — центр описанной окружности, длина наибольшей высоты BD равна 6 см, а величина наибольшего угла < BAC равна 80°. Найдите длину меньшей стороны треугольника, если < DBO = 10°. Ответ: 6(tg 10° + tg 20°) см. Задание 77. В треугольнике ABC известны длины сторон: АВ = 21, ВС = 10 и АС = 17 см, О — центр вписанной в треугольник окружности. Эта окружность касается боковых сторон АВ и АС в точках М и N соответственно. Найдите площадь четырехугольника AMON. Ответ: 49 см2.
• В более сложных геометрических задачах часто бывает необходимо провести обоснование используемых соотношений между элементами фигур. Такое обоснование проводится с помощью теорем планиметрии. Приведем признаки подобия треугольников и некоторые следствия этих признаков, на которых основано решение многих последующих задач. Два треугольника подобны, если выполнено хотя бы одно из следующих условий: 1) два угла одного треугольника
соответственно равны двум углам другого треугольника; В частности: 1) прямая, параллельная
какой-либо стороне треугольника и пересекающая две другие его стороны, отсекает
треугольник, подобный данному; Наконец, в подобных треугольниках все соответствующие линейные элементы, (высоты, медианы, биссектрисы, радиусы вписанной и описанной окружностей, периметры и т.д.) относятся как сходственные стороны, a площади подобных треугольников относятся как квадраты сходственных сторон. Задание 78. В а) ВС', если А'С' = 7; Решение. а) Треугольник А'ВС' подобен треугольнику ABC
коэффициент подобия
Таким образом,
Ответ: a)
Задание 79. Катеты прямоугольного треугольника равны 7 см и 24 см. Найдите гипотенузу треугольника, подобного данному, если: а) один из катетов равен
10 см; Ответ:
Задание 80. В Ответ: 4 Задание 81. В Решение. Площадь
Пусть О — точка пересечения
медиан Проведем MN, PQ и RS параллельно сторонам. Требуется найти площади треугольников OQN, OPS, ORM. Треугольники ABC и PQC подобны. Определим коэффициент подобия. По теореме Фалеса
значит, коэффициент подобия равен
Так как ON — средняя линия
Окончательно получаем
Ответ:
Задание 82. В прямоугольном треугольнике
ABC из вершины прямого угла С проведена высота CD. Периметры Ответ:
Задание 83. В прямоугольном треугольнике
ABC из вершины прямого угла С проведена высота CD. Радиусы окружностей, вписанных
в Ответ:
Задание 84. В Решение. Пусть М — середина BD.
Прямая AM пересекает ВС в точке N. Требуется найти отношение BN : NC. Проведем DK параллельно AN. Применив теорему Фалеса к углу DBC, получим
т.е. BN = NK. По той же теореме, применной к углу АСВ, имеем
т.е. NK = КС. Значит,
Ответ: 1 : 2 Задание 85. В Решение. Пусть N — середина ВМ, К — точка пересечения АВ и DN.
Требуется найти АК : КВ. Проведем СР и MQ параллельно KD и обозначим через R точку пересечения СР с ВМ. Применив теорему Фалеса к углу ABC (при параллельных KD и PC), получаем
Положим KB = Зх и КР = 2х. Аналогично находим
Пусть BN = Зу, NR = 2у. Так как ВМ = 2BN, то ВМ = 6y и AМ = у. По теореме Фалеса
откуда PQ = х. Отрезок
QM — средняя линия Ответ: 4:3 Задание 86. В Решение. Требуется найти отношение AD : DM.
Используя условие, положим СК = х, КА = Зх, СМ = 2у, MB = 5y. Проведем MN параллельно ВК. По теореме Фалеса KN : NC = ВМ : МС = 5 : 2. Так как СК = х, то
Применив теорему Фалеса к углу MAC, получаем
Ответ: 21 : 5 Задание 87. В &RPQ точка ./V делит сторону RQ в отношении RN : NQ = 2 : 7. Точка F делит RP в отношении RF : FP = 3:1. Прямые QF и PN пересекаются в точке М. Найдите длину MN, если РМ = 12. Ответ: 28 Задание 88. В Указание. Воспользуемся тем, что у треугольников ABD и DBC общая высота. Ответ: 3 : 5 Задание 89. В Ответ: 28 : 5 Задание 90. Точки F и N делят сторону
Ответ: 5 : 6 Задание 91. В
Найдите отношение площадей
Указание. Докажите, что
Ответ: 12 : 5 Задание 92. В Указание. Воспользуйтесь решением задачи 86 и найдите
Далее найдите длины отрезков ОВ и ОА и примените теорему косинусов. Ответ:
Задание 93. В Ответ:
На свойстве биссектрисы, приведенном в задаче 94, основано решение следующих задач (94—109): Задание 94. В Решение. Проведем высоту ВН
Это общая высота для треугольников ABD и DBC. Отношение
С другой стороны,
Таким образом,
что и требовалось доказать. Задание 95. В Ответ:
Задание 96. В Ответ:
Задание 97. В прямоугольном треугольнике
ABC с прямым углом В биссектриса угла А пересекает сторону ВС в точке D. Известно,
что BD = 4, DC = 6. Найдите площадь Решение. Используя результат задачи 94, получаем
Положим АВ = 2х, АС = Зx. По теореме Пифагора
т.е.
Площадь
то
Ответ:
Задание 98. В Ответ: 7,5 Задание 99. В Решение. Пусть АС = х.
Тогда АВ = ВС = 2х. Значит,
Поскольку
Применив теорему косинусов
к
окончательно находим
Ответ:
Задание 100. В
Найдите плошадь Ответ:
Задание 101. Найдите косинус угла при вершине равнобедренного треутольника, если биссектриса угла при основании делит боковую сторону в отношении 3 : 2, считая от вершины. Ответ:
Задание 102. В
Медиана, проведенная к стороне АВ, меньше ее половины. Найдите длины отрезков, на которые сторона АВ делится биссектрисой. Указание. Медиана меньше половины стороны, к которой проведена, если треугольник тупоугольный. Это означает, что cos < АСВ < 0. Ответ:
Задание 103. Длина основания АС равнобедренного треугольника ABC равна 5 см, а длина биссектрисы АD равна 6 см. Найдите длину боковой стороны АВ. Решение. Пусть АВ = ВС = х.
Тогда
то
Применив теорему косинусов
к
Ответ: 20 см. Задание 104. В Ответ:
Задание 105. Высота и биссектриса прямоугольного треугольника, опущенные из вершины прямого угла, равны 3 см и 4 см. Найдите площадь треугольника. Решение. Пусть BL и BD — биссектриса и высота прямоугольного треугольника ABC.
Опустим из точки L перпендикуляры LK и LE на АВ и BC. Так как BL — биссектриса, то KL = LE и KBEL — квадрат. Отсюда следует, что
Пусть ВС = а, АВ = b. Тогда
Таким образом,
откуда
Кроме того,
Приравняв правые части равенств получим аb = 144, следовательно,
Ответ: 72 см2 Задание 106. Угол А параллелограмма ABCD равен 60°. Вычислите площадь параллелограмма, если известно, что биссектриса угла А делит диагональ BD на отрезки, длины которых равны 1 см и 3 см. Ответ:
Задание 107. В Ответ:
Задание 108. В
Решение. Пусть АС = х.
Применив теорему косинусов
к
откуда x1 = 12, Х2 = 18. 1-й случай: АС = 12. По свойству биссектрисы
Так как
то
2-й случай: AC = 18. Этот случай рассматривается аналогично 1-му. Ответ:
Задание 109. В Решение. Пусть О — центр описанной
около
Положим
Треугольник АОВ — равнобедренный, поэтому
Так как ВО — биссектриса угла АВК, то
Далее ВК — биссектриса угла ABC, т.е.
Значит,
угол
Сумма углов
откуда
По теореме синусов
и, поскольку sin 72° = 2 sin 36° cos 36°, sin 72° sin 72° sin36°, имеем
Ответ: 2cos 36° : 2cos 36° : 1
В задачах, связанных с высотами треугольника, часто используется свойство подобия треугольников, отсекаемых высотами, сформулированное в задаче 110. Задание 110. В остроугольном треугольнике АБС проведены высоты АЕ и CD. Докажите, что:
Решение. б) Построим окружность с центром в середине отрезка
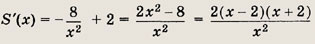
Эта окружность проходит через точки D и Е (углы < ADC и АЕС — прямые и опираются на диаметр). Углы < CDE и < LCAE равны как вписанные и опирающиеся на одну дугу. Эти углы дополняют до 90° углы < BDE и < ACE соответственно, поэтому два последних угла также равны. Аналогично, < ВАС = < DEB и треугольники DBE и ABC подобны по трем углам. Коэффициент подобия равен отношению
(из прямоугольного треугольника BDC), что и требовалось доказать.
Используя утверждение задачи 110, решите следующие задачи (111—121): Задание 111. В остроугольном треугольнике АBС проведены высоты АЕ и CD. Найдите АВ, если BD = 18, BС = 30, АЕ = 20. Ответ: 25 Задание 112. В остроугольном треугольнике
АBС проведены высоты СС1 и AA1. Известно что плошадь
Найдите площадь Ответ:
Задание 113. В остроугольном треугольнике
АБС проведены высоты СН и АН1. Известно, что АС = 2 и площадь круга,
Найдите угол между высотой СН и стороной ВС. Решение. Пусть угол ABC = а.
Как следует из решения задачи
110 б, треугольники НВН1 и ABC подобны и коэффициент подобия равен
cos Таким образом,
Радиус описанного около
Площадь круга равна
Искомый угол < HCB = 90° - а = 30°. Ответ: 30° Задание 114. В остроугольном треугольнике
ABC проведены высоты АР и CQ. Периметр Ответ:
Задание 115. В остроугольном треугольнике
ABC проведены высоты АР и CQ. Площадь
Найдите радиус описанной
около Ответ:
Задание 116. В остроугольном треугольнике
ABC проведены высоты АР и CQ. Найдите площадь четырехугольника AQPC, если АС
= 6, площадь
Ответ: 8 Задание 117. В Ответ:
Задание 118. В Ответ:
Задание 119. В Ответ: 45°; 60°; 75° Задание 120. В Указание. Площади Ответ:
Задание 121. Основания высот остроугольного
треугольника ABC служат вершинами другого треугольника, периметр которого равен
2р. Найдите площадь Указание. Пусть AM, BN и СК — высоты
Для этого покажите, что
< BAC = < BMK (см. задачу 110), а затем найдите < OMB (см. задачу 76
и близкие к ней задачи). Подсчет даст: < OMB = 90° -- < ABC. Аналогичный
результат получится и для двух других вершин. Теперь, соединяя точку О с вершинами
M4NK, найдите искомую площадь Ответ: pR
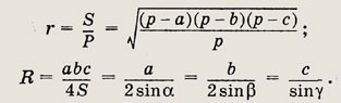
• Напомним: во всякий треугольник можно вписать окружность, вокруг всякого треугольника можно описать окружность. Центр вписанной окружности совпадает с точкой пересечения биссектрис данного треугольника, центр описанной окружности -- с точкой пересечения серединных перпендикуляров. Радиусы r и R вписанной и описанной окружностей находятся по формулам:
L = 2ПR, S = ПR2. Сформулируем в виде задач некоторые хорошо известные утверждения, на которые опирается решение широкого круга задач с окружностями (122—130): Задание 122. Докажите, что радиус окружности, проведенной в точку касания, перпендикулярен касательной. Задание 123. Окружность касается сторон угла. Докажите, что ее центр лежит на биссектрисе этого угла. Задание 124. Из точки вне окружности проведены к ней две касательные. Докажите, что длины этих касательных равны. Задание 125. Докажите, что угол между касательной и хордой окружности, проведенной из точки касания, измеряется половиной дуги, стягиваемой этой хордой. Задание 126. Докажите, что вписанный в окружность угол измеряется половиной дуги окружности, на которую он опирается. Задание 127. Из точки А, лежащей вне окружности, проведены к этой окружности касательная АВ и секущая, пересекающая окружность в точках С и D, считая от точки А. Докажите, что АВ2 = АС • AD. Решение. Согласно результату задач 125 и 126 < CBA = < BDA.
Значит, у треугольников ABD и ABC углы соответственно равны и эти треугольники подобны. Следовательно, равны и отношения сторон
что и требовалось доказать. Задание 128. Докажите, что в остроугольном треугольнике центр описанной окружности лежит внутри треугольника, в тупоугольном — вне треугольника, а в прямоугольном треугольнике — на середине гипотенузы этого треугольника.
Задание 129. Докажите, что около выпуклого четырехугольника можно описать окружность в том и только том случае, если сумма противоположных углов этого четырехугольника равна 180°. В частности: а) около параллелограмма
можно описать окружность в том и только том случае, если он прямоугольник; Задание 130. Докажите, что в выпуклый четырехугольник можно вписать окружность в том и только том случае, если суммы длин противоположных сторон этого многоугольника равны. В частности, в параллелограмм можно вписать окружность в том и только том случае, если он ромб. Указание.
Пусть ВР = х, PC = у, DQ = z, AR = t. Тогда BL = х, CQ = у, DR = z, AL = t. Выразите суммы длин ВС + AD и AB + CD через введенные неизвестные.
Решите следующие задачи (131—186): Задание 131. На хорду АВ из центра круга опущен перпендикуляр ОС. Найдите: а) радиус круга, если АВ
= 6 см, ОС = 4 см; Ответ: а) 5 см; б) 10 см. Задание 132. Из точки А к окружности проведены две касательные АВ и АС. Найдите длину хорды ВС, если АВ = 12 см, а радиус окружности равен 10 см. Ответ:
Задание 133. К окружности проведены касательная АВ и секущая, пересекающая окружность в точках С и D (АС > AD). Найдите длину CD, если: а) АВ = 12 см, АС = 18
см; Ответ: а) 10 см; б) 16 см. Задание 134. Найдите острый угол между касательной и хордой, проведенной из точки касания, если хорда делит окружность в отношении 2 : 7. Ответ: 40° Задание 135. Окружность разделена точками на три части, относящиеся как 5 : 6 : 7. Через тючки деления проведены касательные. Определите углы треугольника, образованного этими касательными. Ответ: 80°; 40°; 60° Задание 136. Концы диаметра окружности удалены от касательной на 12 см и 18 см. Найдите длину диаметра. Решение. Пусть A и В — концы диаметра, О — центр окружности и СQ — касательная.
Опустим из точек А и В перпендикуляры АР и BR на касательн yю CQ. Треугольники АРС и BRC подобны, причем коэффициент подобия равен
поэтому
Пусть радиус полукруга равен r. Тогда АВ = 2r, ВС = 2АВ = 4r, ОС = 5r. Треугольники OQC и ВRС подобны. Коэффициент подобия равен
т.е. Ответ: 15 см. Задание 137. Точка лежит внутри круга радиуса 6 см и делит проходящую через нее хорду на отрезки 5 см и 4 см. Найдите расстояние от этой точки до центра окружности. Указание. Через данную точку проведите диаметр. Обозначьте через х искомое расстояние и примените теорему о произведении отрезков пересекающихся хорд. Ответ: 2 см. Задание 138. Точка лежит вне круга на расстоянии диаметра от его цента. Найдите угол между касательными, проведенными из этой точки к данному кругу. Ответ: 60° Задание 139. Две окружности пересекаются в точках А и В. Прямая пересекает отрезок АВ, а также данные окружности последовательно в точках Р, Q, R и L. Величина
Найдите < PBL. Решение. Углы < BPR и < BAR равны как вписанные и опирающиеся на одну дугу.
Аналогично, < QAB = < QLB. Но < QAB + < EAR = а, поэтому < BPL + < PLB = а, а искомый угол дополняет эту сумму до 180°. Ответ:
Задание 140. Найдите угол между двумя хордами, если точка их пересечения удалена от центра окружности на
и делит одну из хорд пополам, а другую в отношении 4 : 9. Решение. Пусть АР = РВ и СР : PD = 4 : 9.
Треугольники АОР и ОРВ равны по трем сторонам, поэтому < АРО = < OPE = 90°. Согласно теореме Пифагора
Положим СР = 4x и PD = 9х. По теореме о произведении отрезков пересекающихся хорд
откyда
Ответ:
Задание 141. Точка Р удалена от центра окружности радиуса 11 на расстояние 7. Через эту точку проведена хорда длины 18. Найдите отношение длин отрезков, на которые точка Р делит хорду. Ответ: 2 Задание 142. Два кольца между тремя концентрическими окружностями равновелики. Радиус большей окружности равен 3 см, радиус меньшей окружности равен 1 см. Найдите радиус средней окружности. Ответ:
Задание 143. Из одной точки вне окружности проведены к этой окружности касательная и секущая наибольшей длины. Угол между ними равен arcsin 0,8. Найдите длину секущей, если радиус окружности равен 8 см. Решение. Секущая наибольшей длины проходит через центр круга. Докажем это. Пусть АС — секущая, проходящая через центр круга и AM — другая секущая.
Так как < AMC = <
CMD + < DMA = 90° + < DMA, то Пусть АВ — касательная.
Тогда
Ответ: 18 см. Задание 144. Из внешней точки проведены к окружности секущая длиной 12 см и касательная, составляющая
внутреннего отрезка секущей. Найдите длину касательной. Ответ: 6 см. Задание 145. В окружности радиуса R = 4 см проведены хорда АВ и диаметр АК, образующий с хордой угол величиной
Через точку B к окружности
проведена касательная, пересекающая продолжение АК в точке С. Найдите длину
медианы AM Решение. Так как
то
Угол АКB — вписанный и опирается на дугу АВ, следовательно,
Применив теорему косинусов
к
Ответ:
Задание 146. В окружности радиуса
проведены хорда АВ и диаметр
АК. Через точку В к окружности проведена касательная, пересекающая прямую АК
в точке С (АС < АК) под углом 60° к АК. Найдите длину медианы AM Ответ:
Задание 147. Расстояние между центрами окружностей радиусов 1 см и 2 см равно 5 см. Найдите длину той их общей касательной, от которой центры окружностей лежат по разные стороны. Решение. Пусть O1 и О2 — центры окружностей радиуса 2 см и 1 см., А и В — точки касания общей касательной
Через О2 проведем прямую, параллельную АВ, которая пересекает продолжение О1А в точке С. Треугольник О1СО2 — прямоугольный, причем O1O2 = 5 см и O1C = 3 см. По теореме Пифагора О2С = 4 см; так как АВО2С — прямоугольник, то АВ = О2С = 4 см. Ответ: 4 см. Задание 148. Окружности радиусов 1 см и 3 см касаются внешним образом. Найдите длину той их общей касательной, от которой центры окружности лежат по одну сторону. Ответ:
Задание 149. Две окружности касаются друг друга внешним образом в точке С. Радиусы окружностей равны 2 см и 7 см. Общая касательная к обеим окружностям, проведенная через точку С, пересекается с другой их общей касательной в точке D. Найдите расстояние от центра меньшей окружности до точки D. Решение. Докажем, что
Пусть А и В — точки касания. Треугольники DCO1 и DBO1 равны по гипотенузе и катету, поэтому < EDO1 = < CDO1 Аналогично, < AO2D = < DO2C. Так как углы < O2DC и < CDO1 являются половинами углов < АDC и < СDВ, которые в сумме составляют 180°, то < O2DC + < CDO1 = < О2DО1 = 90°. Отрезок CD — высота в прямоугольном треугольнике O2DO, значит, DC2 = О2С • СО1 = 14, откуда
Ответ:
Задание 150. Окружность радиуса 9 см касается внешним образом другой окружности в точке М. Общая касательная к обеим окружностям, проведенная через точку М, пересекается с другой их общей касательной в точке N. Найдите радиус второй окружности, если MN = 6 см. Ответ: 4 см. Задание 151. Две окружности радиуса 32 см с центрами в точках О1 и О2, пересекаясь, делят отрезов О1О1 на три равные части. Найдите радиус окружности, которая касается изнутри обеих окружностей и отрезка О1О1. Решение. Пусть третья окружность касается первых двух в точках А и В, а прямой O1O2 — в точке С; М и N — точки пересечения первых двух окружностей с окружностью О,О2.
Так как
Из равенства треугольников O1CO и О2СО (по гипотенузе и катету) следует, что O1C = = О2С = 24 см. Обозначим через r искомый
радиус. В Ответ: 7 см. Задание 152. Окружности радиусов R и г касаются друг друга внешним образом. Найдите радиус окружности, которая касается двух данных окружностей и их общей касательной. Ответ:
Задание 153. Три окружности одинакового радиуса 1 см касаются друг друга. Найдите радиус окружности, которой данные окружности касаются внутренним образом. Ответ:
Задание 154. В угол величины
вписаны две касающиеся друг друга и сторон угла окружности. Найдите отношение радиусов этих окружностей. Решение. Пусть O1 и О1 — центры окружностей, А, В, С, D — точки касания окружностей сторон угла.
Радиусы окружностей обозначим через r и R. Проведем отрезок АР параллельно O1O2. Так как ОО1 — биссектриса угла
В прямоугольном треугольнике АВР имеем АР = O1O2 = r + R и BР = О2В - О2Р = О2В - O1A - R - r. Следовательно,
откуда
Ответ:
Задание 155. Через концы дуги, содержащей 120°, проведены касательные и в фигуру, ограниченную этими касательными и данной дугой, вписана окружность радиуса 1 см. Найдите радиус исходной окружности. Ответ: 3 см. Задание 156. Две окружности касаются друг друга внутренним образом в точке К. Через точку К проведен диаметр KD большей окружности. Хорда BD большей окружности касается меньшей окружности в точке С. Найдите длину CD, если
Решение. Пусть О — центр меньшей окружности.
Треугольники BKD и ВОС подобны (они прямоугольные, так как < BDK — вписанный и опирается на диаметр, а ОС — радиус, проведенный в точку касания; кроме того, у этих треугольников общий острый угол). Отсюда следует, что
Радиус меньшей окружности обозначим через r. Поскольку
Искомый отрезок
Ответ:
Задание 157. На плоскости дан угол величиной
Окружность радиуса 2 см касается сторон этого угла. Найдите площадь фигуры, лежащей внутри угла, но вне окружности. Указание. Длина касательной равна
Ответ:
Задание 158. На плоскости дан угол, равный
Окружность радиуса
касается одной стороны угла, а центр ее лежит на другой стороне. Найдите площадь криволинейного треугольника, расположенного внутри угла, но вне окружности. Ответ:
Задание 159. Расстояние между центрами двух кругов радиуса
Найдите площадь общей части этих кругов. Ответ:
Задание 160. В ромб, сторона которого
равна 20 см, вписан круг. Найдите площадь круга, если одна диагональ ромба
Ответ: 92,16 П см2 Задание 161. Тупой угол ромба в 5 раз больше его острого угла. Во сколько раз сторона ромба больше радиуса вписанной окружности? Ответ: 4см. Задание 162. Площадь круга, вписанного в ромб, в два раза меньше площади ромба. Найдите величину острого угла ромба. Указание. Пусть
Выразите через эти величины площади круга и ромба. Ответ:
Задание 163. Найдите площадь ромба ABCD,
если радиусы окружностей, описанных около Решение. Пусть
учитывая, что
то
Пусть сторона ромба BС = а; тогда его диагонали
Ответ:
Задание 164. Сторона ромба ABCD равна
6. Расстояние между центрами окружностей, описанных около Ответ:
Задание 165. Три последовательные стороны описанного около круга четырехугольника относятся как 3 : 4 : 5, а периметр этого четырехугольника равен 48 см. Найдите длины его сторон. Ответ: 9 см; 12 см; 15 см; 12 см. Задание 166. В
Решение. Обозначим точки касания вписанной окружности со сторонами треугольника через D, Р и Q.
Пусть DC = х, тогда BD =
9 - х. Отрезки CD = CQ, АР = AQ и ВР = BD как касательные, проведенные к окружности
из одной точки. Опустим высоту DM в
Применив теорему косинусов
к
Ответ: 4 Задание 167. В
Ответ: 5 Задание 168. В равнобочную трапецию вписана окружность радиуса 2 см. Найдите площадь трапеции, если длина ее боковой стороны равна 10 см. Ответ: 40 см2 Задание 169. В равнобочную трапецию, основания которой равны 8 см и 2 см, вписана окружность. Найдите длину этой окружности. Ответ: 4П см Задание 170. Вершины прямоугольника, вписанного в окружность, делят ее на четыре дуги. Найдите расстояние от середины одной из больших дуг до ближайшей вершины прямоугольника, если его стороны равны 24 см и 7 см. Ответ: 15 см. Задание 171. Около прямоугольника ABCD описана окружность, на которой взята точка М, равноудаленная от вершин А и В. Отрезки МС и АВ пересекаются в точке Е. Найдите площадь четырехугольника АМВС, если ME — = 2 см и ЕС = 16 см. Решение. Проведем прямую МК перпендикулярно АВ, которая пересечет АВ и CD в точках Р и Q
Треугольники МРВ и МРА равны как прямоугольные по гипотенузе и катету, поэтому АР = РВ. Таким образом, МК перпендикулярна хорде АВ и проходит через ее середину, т.е. МК — диаметр окружности; AC — также диаметр, поскольку центр окружности, описанной около прямоугольника, лежит на его диагонали. Треугольники МЕР и ВСЕ подобны с коэффициентом подобия
Пусть МР = х, тогда ВС = PQ = 8x и МК = Юx. По теореме Пифагора
Искомая площадь
Ответ: 97,2 см2 Задание 172. Окружность с центром в точке Р касается диагонали АС прямоугольника ABCD и продолжений сторон ВС и AD. Прямая CD делит отрезок АР на части 6 см и 2 см, считая от вершины А; К — точка касания окружности и прямой AD. Найдите площадь четырехугольника АМВС. Ответ: 25,6 см2 Задание 173. Равнобедренный треугольник ABC (АВ = ВС) вписан в окружность с центром К. Из вершины А проведен диаметр АР. Отрезки ВР и АС пересекаются в точке Е, причем BE = 2,25 см, ЕР = 6,75 см. Найдите периметр четырехугольника АВСР. Ответ:
Задание 174. В Ответ:
Задание 175. В окружность вписан равнобедренный
треугольник ABC, где АВ = ВС и < ABC = ß. Средняя линия треугольника,
параллельная стороне АС, продолжена до пересечения с окружностью в точках D
и Е. Найдите отношение площадей Ответ:
Задание 176. Радиус окружности, вписанной
в Решение. Пусть Р, Q, R, К, N, M — точки касания.
Положим ВР = BQ = х, CQ = RC = у, АК = AM = u, CN = СМ = v, АР = AR = z. Точки О2, O1 В лежат на одной прямой. Треугольники О1Q В и O2NB подобны с коэффициентом подобия
поэтому 3BQ = BN => Зx = x + у + u <=> 2х - у + о. Аналогично, 2х = u + z. Сложив два последних равенства, получим 4x = u + z + y + v, т.е. 2х = АС. Периметр треугольника ABC равен АВ + ВС + АС = z + х + x + y + u + v = 6x = ЗАС. Ответ: 3 Задание 177. В Ответ: 230,4 Задание 178. Окружность радиуса 3 вписана
в Ответ:
Задание 179. Около прямоугольного треугольника описана окружность. Другая окружность того же радиуса касается катетов этого треугольника, причем одной из точек касания является вершина треугольника. Найдите отношение площади треугольника к площади общей части этих кругов. Ответ:
Задание 180. В прямоугольном треугольнике
ABC из вершины прямого угла С проведена медиана CD. Найдите расстояние между
центрами окружностей, вписанных в Указание. Найдите стороны треугольника ABC
где S — площадь треугольника, а р— полупериметр. Отрезки ВР и AQ можно вычислить по формулам
Искомый отрезок O1O2 определите по теореме Пифагора из прямоугольного треугольника O1RO2. Ответ:
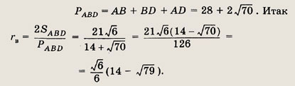
Задание 181. В острые углы прямоугольного треугольника вписаны две равные окружности, касающиеся друг друга. Известно, что сумма площадей соответствующих кругов равна площади вписанного в данный треугольник круга. Найдите острые углы треугольника. Ответ: 45° и 45° Задание 182. В прямоугольном треугольнике
ABC из вершины прямого угла проведена высота CD. Найдите радиус вписанного в
Ответ:
Задание 183. В Решение. Пусть r — радиус вписанной
в
Треугольники APQ и A'NR подобны по трем углам. Из равенства треугольников OLA и ОКА' следует равенство отрезков А'К и AL. Аналогично можно показать, что PL = KR и, следовательно, АР = A'R. Это означает, что треугольники APQ и A'NR равны. Треугольники ABC, APQ, MBN и CRT подобны, причем радиусы вписанных окружностей этих треугольников пропорциональны соответствующим сторонам, т.е
Обозначим эти отношения через t. Тогда r1 = t • PQ, r2 = t • BN; r3 = t • RC, t = t • ВС. Но PQ + BN + RC = ВС (так как PQ = NR), поэтому r1 + r2 + r3 = r. Ответ: r1 + r2 + r3 = r Задание 184. В Ответ:
Задание 185. Окружности радиусов R и r касаются друг друга внешним образом, AD (A # D) и ВС (В # С) — общие касательные к этим окружностям. Покажите, что в четырехугольник ABCD можно вписать окружность, и найдите ее радиус. Указание. Докажите, что OD, ОА, ОВ и ОС являются биссектрисами углов CDA, DAB, ABC и BCD
и, значит, точка О равноудалена от сторон трапеции ABCD. Ответ:
Задание 186. Найдите расстояние между
центрами вписанной в Ответ:
Используя различные приемы, решите следующие задачи (187—265): Задание 187. Периметр прямоугольного треугольника равен 70, а радиус описанной около него окружности равен 14,5. Найдите плошадь треугольника. Ответ: 210 Задание 188. В равнобедренном треугольнике боковая сторона равна 20, а диаметр описанной около треугольника окружности равен 25. Найдите радиус вписанной окружности. Ответ: 6 Задание 189. Около Ответ:
Задание 190. Сторона равностороннего треугольника ABC равна 14. Через его центр проведена прямая I, пересекающая сторону BС и проходящая на расстоянии
от середины стороны АВ. В каком отношении прямая L делит сторону BС? Решение. Пусть D — середина АВ, О
— центр
Так как CD — медиана, то
Таким образом,
По теореме синусов
откуда
Ответ: 3 : 2 Задание 191. В Указание. Примените теорему синусов
к Ответ: n : m Задание 192. В Ответ:
Задание 193. Через точку О, лежащую внутри
Решение. Треугольники ABC, RNO, OPQ и ТОМ
подобны, причем их площади
относятся как квадраты коэффициентов подобия. Пусть S — площадь
Ответ:
Задание 194. Через точку О, лежащую внутри
Решение. Площади треугольников АОЕ и АОВ, a также DOE и BOD
относятся как ОЕ : OB, т.е.
откуда
Обозначим площадь
Искомая площадь равна .
Ответ:
Задание 195. В равнобедренном остроугольном треугольнике АBС основание АС равно 24, а растояние от вершины B до точки пересечения высот равно 7. Найдите площадь треугольника. Решение. Пусть BD и АН — высоты
Положим
Отрезок
С другой стороны,
Получаем уравнение откуда
и
Ответ: 192 Задание 196. Основание равнобедренного
треугольника равно 12, а расстояние от вершины треугольника, лежащей на
Найдите периметр треугольника. Ответ: 32 Задание 197. В
Найдите расстояние от точки О до прямой АС. Указание. По теореме синусов найдите АВ. Затем найдите высоту ВН и воспользуйтесь тем, что искомое расстояние равно 1/3 высоты. Ответ:
Задание 198. На сторонах острого угла
с вершиной О взяты точки А и B. На луче (ОB) взята точка М на расстоянии 3 •
ОА от прямой (ОА), а на луче (ОА) — точка N на расстоянии 3 • ОB от прямой (ОB).
Радиус окружности, описанной около Решение. Пусть
Тогда
Треугольники АОВ и МОN подобны c коэффициентом подобия
Значит
Ответ: 18 Задание 199. Катеты прямоугольного треугольника равны 9 см и 12 см. Найдите расстояние между точкой пересечения биссектрис и точкой пересечения медиан треугольника. Ответ:
Задание 200. Центр окружности, касающийся
катетов АС и ВС прямоугольного треугольника ABC, лежит на гипотенузе АВ. Найдите
радиус окружности, если он в 6 раз меньше суммы катетов, а площадь Ответ: 3 Задание 201. В Ответ:
Задание 202. Прямая, проходящая через вершину А равнобедренного треугольника ABC (АВ = ВС) и центр О вписанной в этот треугольник окружности, пересекает сторону ВС в точке К. Известно, что АО : ОК = 1,4. Найдите < ВАС. Решение. Проведем КР перпендикулярно АС
Положим AD = 7x, DP = 5х, PC = DC - DP = AD - DP = 2x. По той же теореме
но АК — биссектриса, значит,
Теперь из прямоугольного треугольника ABD находим
Ответ:
Задание 203. В
Найдите синус < ACB, если длина стороны АС равна 2. Указание. Треугольники ANC и CNM подобны, поэтому
Ответ:
Задание 204. В равнобедренном треугольнике
ABC (АВ = ВС) биссектрисы AM и ВК пересекаются в точке О. Площади Ответ:
Задание 205. В
Найдите CD и площадь Ответ:
Задание 206. Около равнобедренного треугольника ABC (АВ = ВС) описана окружность. Биссектриса угла ВАС пересекает окружность в точке D. Касательная к окружности, проходящая через точку D, пересекает прямую АС в точке Е. Найдите длины отрезков CD и DE, если
Ответ:
Задание 207. Около Ответ:
Задание 208. Касательная, проведенная
через вершину М вписанного в окружность
Найдите длину касательной MN. Ответ:
Задание 209. Касательная, проведенная
через вершину С вписанного в окружность
Найдите длину секущей AD. Решение. Пусть
— соответственно углы при
вершинах А, В и С
По теореме синусов
откуда
Используя условие
получаем
Опустим из точки В перпендикуляр BE на CD. Так как
то четырехугольник ОВЕС — квадрат и BE = ОС = R. Из прямоугольного треугольника BED следует, что
По теореме синусов из
Теперь находим
С учетом того, что
имеем
Ответ:
Задание 210. Внутри Указание. Пусть О1 и О2 — центры окружностей, описанных около треугольников АОС и АОD соответственно,
По теореме синусов
Ответ:
Задание 211. Внутри
Ответ:
Задание 212. В Решение. Прямые OL и АВ перпендикулярны
(OL — часть диаметра окружности, описанной около
Таким образом, < ALO
= 90°. Значит, АО является диаметром окружности, описанной около
Ответ:
Задание 213. В Ответ:
Задание 214. В
Хорда KN окружности, описанной
около Решение. Треугольники ABC и CML
подобны по трем углам, причем коэффициент подобия равен
Следовательно, отношение
площадей
Далее, по известному углу
АСВ и хорде АВ вычислим радиус описанной около
Угол CMN измеряется полусуммой дуг
(он равен сумме двух углов
< KNA и < CAN как внешний угол
Но < CMN = < CBA по условию и угол СВА опирается на дугу
а это влечет равенство хорд
Следовательно, Высоту СТ можно найти из соотношения
Ответ:
Задание 215. В Хорда AD окружности, описанной
около Ответ: 2; 6 Задание 216. Окружность, вписанная в равнобедренный треугольник ABC, касается основания АС в точке D и боковой стороны АВ в точке Е. Точка F — середина стороны АВ, a G -- точка пересечения окружности и отрезка FD, отличная от D. Касательная к окружности, проходящая через точку G, пересекает сторону АВ в точке Н. Найдите < BCA, если известно, что FH : НЕ = 2 : 3. Указание. Пусть
— средняя линия
Ответ:
Задание 217. На отрезке АВ взята точка С, отрезки АВ и СВ служат диаметрами окружностей. Хорда AM касается меньшей окружности в точке D. Прямая BD пересекает большую окружность в точке
Найдите площадь четырехугольника ABMN. Указание. Площадь четырехугольника равна половине произведения диагоналей на синус угла между ними. Угол между диагоналями AM и BN выразите через а, заметив, что OD II ВМ, где OD — радиус окружности с диаметром СВ. Ответ:
Задание 218. Две окружности пересекаются в точках А и В. Хорда CD первой окружности имеет с хордой EF второй окружности общую точку М. Отрезок АВ втрое больше отрезка СМ, который, в свою очередь, вдвое меньше отрезка MD и в 6 раз меньше отрезка MF. Найдите длину отрезка AM, если ЕМ = 2, АВ = 9МЕ. Решение. Пусть ME = х
Тогда АВ = 9x, СМ = = 3x, MD = 6x, FM = 18х. Заметим, что FM • ME = 18x2 = СМ • MD. Покажем, что точки F, С, Е, D лежат на одной окружности. Действительно, проведем окружность и через точки F, С, Е. Она пересекает прямую CD в точке D'. Согласно свойству пересекающихся хорд должно выполняться соотношение FM • ME = СМ • MD'. Но тогда MD = MD', а это означает, что точка D — D' лежит на проведенной окружности. Окружность
пересекает данные в условии окружности
поочередно в точках
Следовательно, окружности
будут пересекаться как показано на рис., где следует учесть тот факт, что точки С к D можно поменять местами и то же самое можно сделать с точками E и F (это будет учтено ниже). Покажем теперь, что хорда АВ пересекает хорды CD и EF в их общей точке пересечения М. Проведем через А и М прямую. Отсюда следует, что МК = ML, а это возможно лишь если К = L = В, т.е. хорда АВ проходит через точку М. Значит, хорды АВ и CD пересекаются в точке М и, кроме того, они равны, поскольку CD = СМ + MD = 9х = АВ. Ответ: 1 или 4 Задание 219. Каждая из трех равных окружностей радиуса r касается двух других. Найдите площадь треугольника, образованного общими внешними касательными к этим окружностям. Ответ:
Задание 220. Две окружности касаются
друг друга внешним образом в точке А. Через точку В на их общей касательной
АВ проведены две прямые, одна из которых пересекает первую окружность в точках
N и М, а другая — вторую окружность в точках Р и Q. Известно что АВ = 6; ВМ
= 9, ВР = 5. Найдите отношение площадей Указание. Используя равенство АВ2 = ВМ • BN = BQ • ВР
найдите отрезки PQ, BN и MN. Докажите подобие треугольников BQN и РМВ. Отсюда будет вытекать равенство углов QPO и ONM и, как следствие, подобие треугольников QOP и MON. Ответ:
Задание 221. В некоторый угол В вписаны
две непересекающиеся окружности. Окружность большего радиуса касается сторон
этого угла в точках А и С, меньшего — в точках А1 и С1
(точки А, А1 и С, G1 лежат на разных сторонах угла B).
Прямая АС1 пересекает окружности большего и меньшего радиусов в точках
Е и F соответственно. Найдите отношение площадей Ответ:
Задание 222. Диаметр АВ и хорда CD окружности
пересекаются в точке Е, причем СЕ = ED. Касательные к окружности в точках B
и С пересекаются в точке К, а отрезки АК и СЕ — в точке М. Найдите площадь Решение. Согласно свойству пересекающихся хорд СЕ • ED = = АЕ • ЕВ
откуда СЕ = 3. Пусть О — центр окружности, а
Прямоугольные треугольники СОК и ВОК равны. Поэтому
Треугольники AЕС и ОВК подобны, откуда
Так как
Ответ:
Задание 223. Точка М делит диагональ АС квадрата ABCD со стороной а в отношении AM : МС = 3 : 1 Точка N лежит на АВ, причем < NMD = 90°. Найдите длину AN. Решение. Проведем PQ перпендикулярно АВ
Треугольники АРМ и ABC подобны с коэффициентом подобия
Аналогично, из подобия треугольников MQC и ADC получаем
Прямоугольные треугольники NPM и MQD равны по катету и острому углу <QDM = < PNM как углы со взаимно перпендикулярными сторонами). Отсюда следует, что
Ответ:
Задание 224. Сторона квадрата ABCD равна 4. Через вершину D проведена прямая L, пересекающая сторону ВС и проходящая на расстоянии 2 от середины стороны АВ. В каком отношении прямая L делит сторону ВС? Ответ: 1 : 3 Задание 225. Основания трапеции равны а и b. Прямая пересекает боковые стороны трапеции так, что одну из них делит пополам, а другую в отношении 1 : 3. Определите, в каком отношении прямая делит площадь трапеции. Ответ:
Задание 226. Длина средней линии трапеции равна 5. Средняя линия делит трапецию на части, отношение площадей которых равно
Найдите высоту трапеции, если известно, что в нее можно вписать окружность. Ответ:
Задание 227. Найдите длину стороны квадрата, две вершины которого лежат на окружности радиуса
а две другие — на касательной к этой окружности. Ответ:
Задание 228. Из вершины острого угла ромба проведены перпендикуляры к прямым, содержащим стороны ромба, которым не принадлежит эта вершина. Длина каждого перпендикуляра равна 3, а расстояние между их основаниями
Вычислите длины диагоналей ромба. Ответ:
Задание 229. Около окружности описаны ромб со стороной 3 и треугольник, две стороны которого параллельны диагоналям ромба, а третья параллельна одной из сторон ромба и равна 7. Найдите радиус окружности. Решение. Пусть ABCD — ромб и NPM — прямоугольный треугольник, описанный около данной окружности
Поскольку АВ и MN — параллельные касательные к одной окружности, они лежат на одной прямой. Через а и b обозначим половины диагоналей ромба. Треугольники ВОС и NPM подобны с коэффициентом подобия
Кроме того, r — радиус вписанной
в
Ответ:
Задание 230. Основание AD трапеции ABCD является диаметром окружности радиуса 2. Прямая, содержащая среднюю линию трапеции, пересекает окружность в точках М и N. Известно, что АВ = ВС = CD = 2. Найдите длину отрезка MN. Ответ:
Задание 231. В равнобочную трапецию с периметром 100 см вписана окружность. Найдите радиус окружности, если расстояние между точками касания окружности и боковых сторон равно 16 см. Решение. Пусть М, L, N, К — точки касания вписанной окружности со сторонами АВ, ВС, CD, DA соответственно; r — ее радиус, а О — центр; Е — точка пересечения отрезков MN и KL; BF — высота трапеции
Положим АК = х, BL = у, ME = а. Отрезки касательных, проведенных к окружности из одной точки, равны, поэтому AM = АК = х, ВМ = BL = у. Так как К и L — середины оснований трапеции, то АК+АВ + ВЬ=АК + AM + MB + BL = 2(х + у) = 50. Поскольку в прямоугольных треугольниках BFA и MEO < BAF и < МОЕ равны как углы с соответственно перпендикулярными сторонами, эти треугольники подобны. Значит,
а так как по условию
С учетом равенства (*) получаем
Ответ: 10 см. Задание 232. Трапеция ABCD с основаниями ВС = 2 см и AD = 10 см такова, что в нее можно вписать и около нее можно описать окружность. Найдите отношение радиусов описанной и вписанной окружностей. Определите, находится ли центр описанной окружности внутри трапеции или вне ее. Решение. Так как около трапеции можно описать окружность, то она равнобочная (АВ = CD). Далее, так как в нее можно вписать окружность, то АВ + CD = ВС + AD =12 см, откуда АВ = CD — 6 см. Пусть СН — высота трапеции
Имеем
Полагая
Применив теорему косинусов
к
Окружность, описанная около
трапеции ABCD, описана и около
Чтобы ответить на второй
вопрос задачи, достаточно определить тип
то треугольник тупоугольный и центр описанной окружности лежит вне треугольника, ниже стороны AD, а следовательно, вне трапеции ABCD. Ответ:
вне трапеции. Задание 233. Центр окружности, вписанной в прямоугольную трапецию удален от концов боковой стороны на расстояния 8 см и 4 см. Найдите среднюю линию трапеции. Решение. Пусть О — центр вписанной окружности, АВ — боковая сторона, перпендикулярная основанию, ОС = 4 см, OD = 8 см
Углы OCD и ODC — половины
углов BCD и CDA, которые в сумме составляют 180°. Следовательно, < OCD +
< ODC = 90° и Таким образом,
Ответ:
Задание 234. Около трапеции с основаниями AD и ВС описана окружность радиуса 6 см. Центр описанной окружности лежит на AD, ВС = 4. Найдите площадь трапеции. Ответ:
Задание 235. Трапеция KLMN с основаниями LM и KN вписана в окружность, центр которой лежит на KN. Диагональ LN равна 4 см, < MNK = 60°. Найдите длину основания LM. Ответ:
Задание 236. В трапеции углы при одном из оснований равны 20° и 70°, а длина отрезка, соединяющего середины оснований, равна 2 см. Найдите меньшее основание трапеции, если длина ее средней линии 4 см. Ответ: 2 см. Задание 237. В трапеции ABCD основание
ВС = 1 см, основание AD = 2 см. Проведена прямая, параллельная основаниям и
пересекающая боковые стороны АВ и CD в точках Р и Q соответственно, а диагонали
АС и BD — в точках L и R. Отрезки АС и BD пересекаются в точке О. Найдите PQ,
если площадь Решение. Треугольники ВОС и LOR подобны
Поскольку отношение площадей
подобных треугольников равно квадрату коэффициента подобия, эти треугольники
равны. Отсюда следует, что LR = ВС = 1 см, ВО = OR и СО = ОL. В Значит
Аналогично,
Ответ:
Задание 238. В трапеции ABCD параллельно основаниям ВС = 1 см и AD = 2 см проведена прямая; пересекающая АВ в точке Р, АС — в точке L, BD — в точке R и CD — в точке Q. Найдите PQ, если LR = PL. Ответ:
Задание 239. В трапеции ABCD точка Е
лежит на боковой стороне CD. Отрезки BD и АЕ пересекаются в точке О. Найдите
площадь Решение. Продолжим АЕ до пересечения с продолжением ВС в точке K
Треугольник КЕС подобен треугольнику AED, причем коэффициент подобия равен
Так как
Отношение площадей
Треугольники подобны, причем коэффициент подобия равен
Ответ:
Задание 240. В трапеции ABCD точка М
лежит на боковой стороне АВ. Отрезки BD и СМ пересекаются в точке О. Известно,
что AM = ВМ, СО = 4 • ОМ, а площадь Ответ: 6 Задание 241. В трапеции ABCD основание AD = 12 см, основание ВС = 3 см. На продолжении ВС взята точка М так, что прямая AM отсекает от трапеции треугольник, площадь которого равна
площади трапеции. Найдите СМ. Ответ:
Задание 242. В трапеции ABCD известны основания:
и углы: < BAD = 30° и < ADC = 60°. Через точку D проходит прямая, делящая трапецию на две равновеликие фигуры. Найдите длину отрезка этой прямой, находящегося внутри трапеции. Решение. Сначала найдем стороны трапеции. Пусть ВР и CQ — высоты трапеции
Положим ВР = CQ = h. Треугольники АРВ и CQD —- прямоугольные с острым углом 30° В них отношение большего катета к меньшему равно
откуда
Пусть DK — искомый отрезок. Отношение площадей
Применив теорему косинусов, получим KD2 = АK2 + АD2 - 2АК • AD cos 30° = 169, т.е. KD = 13. Ответ: 13 см. Задание 243. В трапеции ABCD AD и ВС
-- основания, AD = 30 см, АВ = 3 см, ВС = 12 см, < BAD = 60°. Диагонали трапеции
пересекаются в точке Е. Найдите площадь Ответ:
Задание 244. В трапеции ABCD основание
диагонали АС и BD пересекаются в точке К, причем АК = 1 см, KD = 2 см, < ВАС = < DAC. Найдите площадь трапеции ABCD. Решение. Углы АСВ и CAD равны как внутренние накрест лежащие
значит,
Треугольники подобны, откуда
то АВ = ВС = AD, четырехугольник ABCD — ромб и тогда угол < AKD — прямой, что невозможно, поскольку
Таким образом,
Высоты трапеции
Ответ:
Задание 245. В прямоугольной трапеции ABCD АВ -- основание,
AD = 4 см. Найдите площадь трапеции ABCD. Ответ:
Задание 246. На сторонах АВ, ВС и АD
параллелограмма ABCD взяты точки К, М и L так, что АК : KB = 2 : 1, ВМ : МС
= 1 : 1, AL : LD = 1 :3. Найдите отношение площадей Ответ:
Задание 247. Внутри параллелограмма ABCD взята точка К, равноудаленная от сторон AD,AB и CD. Перпендикуляр, опущенный из вершины D на АВ, пересекает отрезок АК в точке М. Найдите площадь параллелограмма ABCD, если известно, что DK = 2 см, AM : МК = 8 : 1, a DC = ЗBС. Решение. Пусть DP — высота параллелограмма
Так как АК и DK — биссектрисы углов BAD и ADC соответственно, то
т.е. треугольники AKD иМКО — прямоугольные. Пусть МК = х. Тогда
Треугольники подобны с коэффициентом подобия
Таким образом,
Треугольники АРМ и MKD подобны как прямоугольные с равными острыми углами . Коэффициент подобия равен
Следовательно,
Отсюда
Ответ: 72 см2 Задание 248. Две параллельные прямые l1 и l2 пересекаются с третьей прямой l3 в точках М и К соответственно. Точка С равноудалена от прямых l1, l2 и l3. Перпендикуляр, опущенный из М на l2, делит отрезок КС в отношении 15:1, считая от вершины К, СМ = 4 см. Найдите расстояние между прямыми l1 и l2. Ответ:
Задание 249. Окружность с центром в точке О касается сторон АВ, ВС и CD параллелограмма ABCD. Перпендикуляр, опущенный из вершины С на АВ, делит ВО на отрезки 5 см и 4 см, считая от вершины B. Найдите площадь параллелограмма ABCD, если АB = 2BС. Ответ: 216 см2 Задание 250. Окружность, проходящая через вершину D и касающаяся сторон АВ и ВС равнобочной трапеции ABCD, пересекает стороны AD и DC в точках М и N так, что AM : MD = 1 : 3, CN : ND = 4 : 3. Найдите длину стороны ВС, если АВ = 7 см, AD = 6 см. Ответ:
Задание 251. Стороны KN и LM трапеции
KLMN параллельны, причем KN = 3 см, < LMN = 120°. Прямые LM и MN являются
касательными к окружности, описанной около Ответ:
Задание 252. В трапеции ABCD с основаниями
AD и ВС диагонали АС и BD пересекаются в точке Е. Около Ответ:
Задание 253. В выпуклом четырехугольнике ABCD длина отрезка, соединяющего середины сторон АВ и CD, равна 1. Прямые ВС и AD перпендикулярны. Найдите длину отрезка, соединяющего середины диагоналей АС и BD. Решение. Пусть М и N — середины CD и АВ соответственно; Р и Q — середины BD u АС
Отрезки MQ и PN — средние линии треугольников ACD и ABD, поэтому MQ и PN параллельны и равный, следовательно, четырехугольникPMQN — параллелограмм. Стороны параллелограмма РМ и MQ параллельны соответственно ВС и AD, т.е. PMQN — прямоугольник. Диагонали прямоугольника равны, поэтому PQ = MN = 1 м. Ответ: 1 м. Задание 254. В выпуклом четырехугольнике ABCD диагонали АС и BD перпендикулярны. Длина отрезка, соединяющего середины сторон АВ и CD, равна 1 м. Найдите длину отрезка, соединяющего середины сторон ВС и AD. Ответ: 1 м. Задание 255. В выпуклом четырехугольнике ABCD длина стороны AD равна 4, длина стороны CD равна 7,
Найдите сторону ВС, если
известно, что окружность, описанная около Ответ:
Задание 256. В выпуклом пятиугольнике
ABCDE диагонали BE и СЕ являются биссектрисами углов при вершинах В и С соответственно,
< A = 35°, < D = 145°, а площадь Указание. Пусть А' — точка, симметричная точке А относительно серединного перпендикуляра к отрезку BE, a D' — точка, симметричная точке D относительно серединного перпендикуляра к отрезку СЕ. Четырехугольник A'BCD' — параллелограмм, точка ? лежит на A'D', а площадь его равна площади ABCDE. Ответ: 22 Задание 257. Диагонали вписанного в окружность четырехугольника ABCD пересекаются в точке Е, причем
Указание. Так как
поэтому Е — точка пересечения
биссектрисы угла ADC со стороной AC
На луче DC отложите отрезок СМ = AD. Треугольник ВСМ равен треугольнику ABD. Поэтому искомая площадь равна площади равнобедренного треугольника DBM. Ответ:
Задание 258. Окружность касается сторон AD, BC и AS трапеции ABCD. Через точку М, лежащую на основании AD и отстоящую от D на 10 см, проведена касательная к окружности, пересекающей основание ВС трапеции в точке К. Найдите отношение площадей четырехугольников АВКМ и MDCK, если AD = 40 см, АВ = CD = 10 см, <BAD = 60°. Ответ:
Задание 259. Окружность касается прямых
АВ и ВС в точках D и Е соответственно. Точка А лежит между точками D и В, а
точка С — между В и Е. Найдите площадь Ответ:
Задание 260. Окружность касается сторон
АВ и ВС Ответ:
Задание 261. Из точки С проведены две прямые, касающиеся заданной окружности в точках А и В. На большей из дуг АВ взята точка D так, что
Найдите расстояние от точки D до прямой АВ. Ответ:
Задание 262. Окружность касается сторон
угла в точках А и В, O — вершина угла. На этой окружности внутри Ответ:
Задание 263. На плоскости дан прямой угол. Окружность с центром внутри этого угла касается одной стороны угла, пересекает другую сторону в точках А и В, а биссектрису угла — в точках С и D. Найдите радиус окружности, если
Решение. Опустим из точки О перпендикуляры ОМ, ON и OL на стороны угла и на биссектрису
Обозначим радиус окружности через R. В прямоугольном треугольнике ONB имеем
Пусть Т — точка Пересечения ОМ и DC, a S — вершина прямого угла. Треугольник MST — прямоугольный и равнобедренный, поэтому
Треугольник TLO — также прямоугольный и равнобедренный, и, значит,
поэтому для нахождения R получаем уравнение
Ответ:
Задание 264. На плоскости дан прямой
угол. Окружность с центром вне этого угла пересекает одну из сторон в точках
Ответ:
Задание 265. На плоскости дан угол величиной
Окружность касается одной стороны угла, пересекает другую в точках А и B, а биссектрису угла — в точках С и D. Найдите площадь круга, если
Ответ: 3П см2
В следующих задачах требуется установить, какое наибольшее или наименьшее значение может принимать та или иная геометрическая величина (266—282): Задание 266. Равнобедренный треугольник вписан в окружность радиуса R. Найдите наибольшее значение длины высоты, опущенной на боковую сторону. Решение. Пусть а — угол при вершине
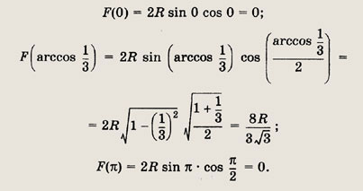
В в
тогда
Проведем высоту АН. Так как угол
то
Поэтому задача сводится к отысканию максимального значения функции
на отрезке [0; П]. Найдем производную функции F:
Вычислим значения функции
Ответ:
Задание 267. Высота прямоугольного треугольника, опущенная на гипотенузу, равна h. Найдите наименьшее значение длины медианы треугольника, проведенной к большему катету. Ответ:
Задание 268. В
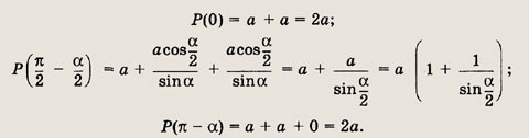
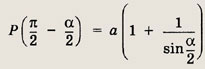
Найдите наибольшее значение периметра треугольника. Решение. Пусть < ABC = х,АВ = с,АС = b
тогда
Задача сводится к нахождению максимального значения функции Р(х) Производная
равна нулю, если
лежит только корень
Вычислим значения функции Р(х) в точках
Таким образом, максимальное значение функции р(х) равно
Ответ:
Задание 269. Середины высот Ответ: 25 Задание 270. Боковые стороны и меньшее основание трапеции равны по 10 см. Каким должно быть ее большее основание, чтобы площадь трапеции была наибольшей? Ответ: 20 см. Задание 271. При каком значении длины высоты прямоугольная трапеция с острым углом 45° и периметром 8 см имеет наибольшую площадь? Ответ:
Задание 272. Найдите наименьшее возможное значение периметра параллелограмма с острым углом 30° и площадью 4 см2. Ответ:
Задание 273. Диагонали выпуклого четырехугольника
пересекаются под прямым углом, сумма их длин равна 8 см. Ответ: 8 см2 Задание 274. Две вершины прямоугольника лежат на диаметре полуокружности, а две другие — на самой полуокружности радиуса 2 м. Найдите наибольшее значение площади прямоугольника. Ответ: 4 м2 Задание 275. Площадь трапеции, описанной около окружности, равна 8 см2. Найдите радиус окружности, если известно, что сумма длин боковых сторон и высоты трапеции принимает минимально возможное значение. Решение. Согласно свойству четырехугольника, описанного около окружности, АВ + CD = ВС + AD
Пусть 2х — высота трапеции. Тогда радиус вписанного круга равен х. Площадь трапеции равна
Сумма боковых сторон и высоты равна сумме оснований и высоты, т.е.
В задаче требуется найти значение х, при котором функция
принимает наименьшее значение. Так как
то производная обращается в нуль при х = 2, причем меняет в этой точке знак с минуса на плюс, т.е. х0 = 2 — минимум. Ответ: 2 см. Задание 276. В равнобедренный треугольник с длинами сторон 15, 15 и 18 см вписан параллелограмм наибольшей площади так, что угол при основании у них общий. Найдите периметр параллелограмма. Ответ: 33 см. Задание 277. В трапеции ABCD основания AD = 10 см, ВС = 6 см, боковая сторона АВ = 8 см и перпендикулярна основаниям. Внутри трапеции расположен прямоугольник, у которого одна из сторон лежит на большем основании трапеции. Найдите наибольшее значение площади прямоугольника. Ответ: 48 см2 Задание 278. Периметр кругового сектора равен L. Найдите величину центрального угла сектора, при котором его площадь является наибольшей. Решение. Пусть радиус сектора равен R, а угол АОВ равен а
тогда периметр сектора
Площадь сектора
Будем искать максимальное значение S(a) при a € [0; 2П]. Найдем производную
Следовательно,
Ответ: 2 рад. Задание 279. Из имеющихся досок можно построить забор длиной 200 м. Определите максимальную площадь двора прямоугольной формы, который можно огородить этими досками, если для одной стороны двора можно использовать стену близлежащего здания. Ответ: 5000 м2 Задание 280. На окружности радиуса r
дана точка А. На каком расстоянии от точки А нужно провести хорду ВС, параллельную
касательной к окружности в точке А, чтобы площадь Ответ:
Задание 281. Боковые стороны трапеции перпендикулярны. Какое наибольшее значение может принимать площадь треугольника, образованного диагоналями и средней линией трапеции, если известно, что длины оснований трапеции равны а и b? Ответ:
Задание 282. На координатной плоскости
рассматриваются всевозможные треугольники ABC, у каждого из которых < АСВ
= 90°, вершина А имеет координаты (1; 0), вершина С лежит на отрезке [0; 1]
оси Ох, а вершина В — на параболе у = х - х2. Какие координаты должна
иметь вершина В, чтобы площадь Решение. Пусть точка С имеет координаты (t; 0); тогда (t; t - t2) — координаты точки В
Длина ВС равна t - t2, длина АС равна 1 - t. Площадь
Производная
Далее имеем
Таким образом, максимальное значение функции достигается при
Ответ:
Поделитесь этой записью или добавьте в закладки |
Полезные публикации |
































































































































































































Главная