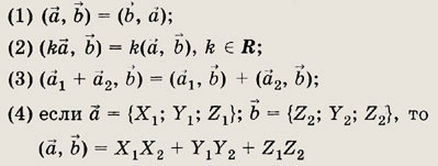
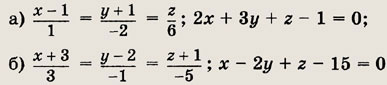
Векторы. Метод координат • Вектором называется направленный
отрезок. Длиной вектора называется длина этого отрезка. Два вектора называются
равными, если равны их длины и векторы одинаково направлены.
а его длина —
Пусть в фиксированной прямоугольной системе координат Охуz заданы координаты начала и конца вектора
Тогда числа X = х2 - x1 Y = у2 - y1, Z = z2 - z1 являются координатами вектора
в этой системе координат. Употребляется запись:
называются ортами координатных
осей: Ох (оси абсцисс), Оу (оси ординат) и Oz (оси аппликат).
то справедливо равенство
которое называется разложением вектора
по ортам координатных осей. Все равные между собой векторы имеют одинаковые координаты. Равные векторы отождествляются (т.е. считаются одним вектором, начало которого можно поместить в любую точку) и обозначаются одной буквой:
Если
Если же
называется нулевым вектором;
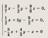
Для любой napы векторов
определены их сумма
Любой вектор
можно умножить на любое число
Сумму и разности векторов
можно найти по правилу параллелограмма
Вектор
он направлен одинаково с вектором
при k > О и противоположно — при k < О.
При этом
Наконец, если
Используя приведенные сведения, решите следующие задачи (1—14): Задание 1. Пусть заданы координаты точек А и Б. Найдите координаты и длину вектора
если:
Ответ:
Задание 2. Дан вектор
Найдите координаты и длины векторов:
Ответ:
Задание 3. Дан вектор
Найдите: а) координаты точки N, если
М(0; -1; 2);
Решение а): Обозначим координаты точки N через х, у и z, т.е. N(x, у, z). По определению координат вектора
имеем
Пусть L(x; у; z) — середина отрезка MN. 1 огда вектор
Следовательно,
Вектор
Ответ: a) (4; -2; 5) б) (1;-1;-2) в) г) (1; 5,5; -2,5) д) е) D(8; -3; 5) или D(-4; 0; -4) Задание 4. Даны векторы
Найдите координаты и длины векторов:
Ответ: {6; -10; 16}; {-2; -4: 4}; {4; -6; 12}; {-6; 8; -20}
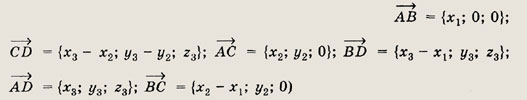
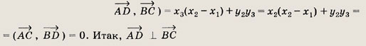
Задание 5. Даны три последовательные вершины параллелограммаАБСD: А(-3; -2; 0); B(3; -3; 1) и С(5; 0; 2). Найдите координаты его четвертой вершины D и длины сторон. Решение: Вычислим координаты векторов
и
Тогда вектор
Зная начало В(3; -3; 1)
этого вектора, найдем его конец D)(-1; 1; 1). Длины сторон параллелограмма
и
Ответ:
Задание 6. Найдите длины диагоналей АС и BD параллелограмма ABCD, если А(1; -3; 0); B(-2; 4; -1) и С(-3; 1; 1). Ответ:
Задание 7. Треугольник задан координатами своих вершин А(3; 0; -1); B(-1; 4; 1) и С(5; 2; 3). Найдите длину медианы AD. Ответ:
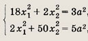
Задание 8. Известны координаты вершин треугольника: А(-2; -3; 8); B(2; 1; 7); С(1; 4; 5), Найдите координаты точки пересечения медиан этого треугольника. Решение: Пусть D — середина отрезка ВС. Эта точка имеет координаты D(1,5; 2,5; 6). Точка О пересечения медиан делит отрезок AD в отношении АО : OD = 2 : 1, т.е. вектор
Зная координаты точки А, находим координаты точки Ответ:
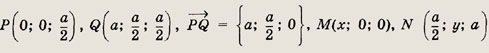
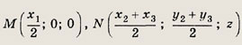
Задание 9. Известны две вершины треугольника А(2; -3; 5), В(-2; 1; -3) и точка О(1; 2; 3) пересечения его медиан. Найдите координаты вершины С этого треугольника. Указание: Пусть M — середина AB (рис.).
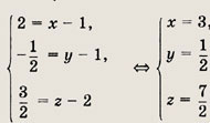
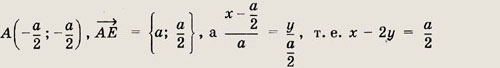
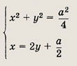
На продолжении ОМ возьмите точку D так, что ОМ = MD. Четырехугольник AOBD - параллелограмм. Вектор
Найдите координаты вектора
а затем, зная координаты точки О, — координаты точки С. Ответ: C(3; 8; 7) Задание 10. Даны точки А( -1; 2; -2) и B(3; -4; 12). Найдите расстояние от начала координат О до точки D, лежащей на отрезке АВ и делящей его в отношении AD : DB = = ОА : ОB. Чем является отрезок OD в треугольнике AОB? Указание: AD : DB = 3 : 13 Ответ:
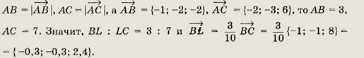
биссектриса. Задание 11. Даны вершины треугольника: А(4; 5; 0); Б(3; 3; -2) и С(2; 2; 6). Найдите точку пересечения стороны ВС и биссектрисы угла А. Решение: Пусть AL — биссектриса треугольника ABC. Согласно свойству биссектрисы, отношение BL : LC = АВ : АС. Так как,
Зная координаты точки В, находим С (2,7; 2,7; 0,4). Ответ: С (2,7; 2,7; 0,4) Задание 12. Точки М1 и М2 — середины отрезков A1В1 и А2В2. Найдите длину отрезка М1М2, если А1(0; 1; 2),А2(1; 2; 1), B1(-1;-1; 3) и В2(1; 0; 0). Ответ:
Задание 13. Найдите координаты точки С, лежащей на оси абсцисс и одинаково удаленной от точек А(1; 2; 3) и Б(2; 3; 4). Решение: Точка на оси абсцисс характеризуется
тем, что ее вторая и третья координаты равны нулю, т.е. С(х; 0; 0).
и
соответственно. Приравняв эти расстояния, получим х2 - 2х + 14 = х2 - 4х + 29 < =>2х = 15 <=> x = 7,5. Ответ:
Задание 14. Найдите координаты точки М, лежащей на оси абсцисс, если расстояние от М до точки А(1; 2; 1) втрое больше расстояния до точки B(-7; 1; 2). Ответ: М(-10; 0; 0) или М(-6; 0; 0)
• Ненулевые векторы называют коллинеарными, если они лежат на параллельных прямых, и компланарными, если они параллельны одной плоскости. Нулевой вектор считается коллинеарным любому вектору; любые три вектора, среди которых есть нулевой, считаются компланарными. Векторы
коллинеарны в том и только в том случае, если найдутся числа x, у (х2 + у2 # 0) такие, что
Три вектора
компланарны в том и только в том случае, если найдутся числа х, у, z (х2 + + у2 + z2 # 0) такие, что
Решите следующие задачи (15—38): Задание 15. На плоскости даны два вектора
Разложите вектор
по векторам р и q. Решение: Необходимо найти числа х и у такие, что
Запишем координаты векторов
в столбец
Таким образом, для нахождения х и у имеем систему линейных уравнений
Ответ:
Задание 16. Даны векторы
Запишите разложение вектора
векторам
Ответ:
Задание 17. Разложите вектор
по векторам
Ответ:
Задание 18. Разложите вектор
по векторам
Ответ:
Задание 19. Даны точки А(24; -1; -4);
В(-13; 1; -12); С(15; 20; 5); D(2; -1; 1). Разложите радиус-вектор точки, координаты
которой удовлетворяют уравнению 2х - Зу + 4z - 11 = О, по радиус-векторам точек,
координаты которых этому уравнению не удовлетворяют. (Радиусом-вектором точки
А Решение: Сначала найдем точку, координаты которой удовлетворяют уравнению 2х - Зу + 4z - 11 = 0. Непосредственной подстановкой убеждаемся, что это точка D: 2 • 2 - 3 • (-1) + 4-1-11 = 0. Таким образом, надо разложить вектор
по векторам
Чтобы найти числа х, у и z, для которых
как и при решении задачи 15, получаем систему
Ответ:
Задание 20. Даны точки А(35, -16; 20); B(-1; -24; 3); С(-20; 16; -4); D(-1; -4; 2). Разложите радиус-вектор точки, координаты которой удовлетворяют уравнению 15x + 23y - 17z - 43 = 0, по радиус-векторам точек, координаты которых этому уравнению не удовлетворяют. Ответ:
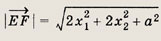
Задание 21. Вершины пирамиды имеют координаты А(3; 2; - 8); B(3; 5; 1); С(0; 4; 1); D(1; 2; 3). Разложите вектор
по векторам
Ответ:
Задание 22. Вершины пирамиды имеют координаты А(3; -2; 2); В(-1; 3; 1); С(2; -1; -3); D(0; 4; -1). Разложите вектор
по векторам
Ответ:
Задание 23. При каких значениях х и у векторы
и
коллинеарны? Решение: Векторы
коллинеарны, если существуют числа
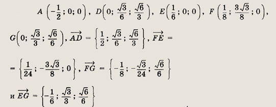
причем хотя бы одно из этих чисел не равно нулю. Записав координаты векторов в столбец, получаем
подставим это выражение в первые два уравнения:
Ответ:
Задание 24. Даны векторы
Найдите все значения х и у, при которых эти векторы коллинеарны, но не равны. Решение. Два вектора коллинеарны, если они лежат на параллельных прямых, т.е. один из векторов
равен другому, умноженному на какое-то число, т.е.
У обоих векторов вторая координата зависит только от у. Рассмотрим два случая: 1) если у = 0, то векторы имеют вид
Данные векторы параллельны только когда х = 0; 2) если
(это вытекает из сравнения вторых координат этих векторов), откуда
Ответ: {(±1; -2); (+1; -1); (0; 0)} Задание 25. Даны векторы
Ответ: {(±1; + 1); (0; 0)} Проверьте, что векторы
Решение: Три вектора компланарны, если существуют одновременно не равные нулю числа х, у и z такие, что
т.е. система
имеет ненулевое решение. В качестве такого решения можно взять, например, х = 0, у = 3, z = 4. Таким образом, векторы компланарны. Задание 27. Проверьте, что точки А(1; 2; -1), В(0; 1; 5), С(-1; 2; 1), D(2; 1; 3) лежат в одной плоскости. Указание. Покажите, что векторы
компланарны. Задание 28. Найдите значение х, при котором вектор
разлагается по векторам
Решение. Будем искать числа
такие, что
Получим систему уравнений
а тогда из первого уравнения находим, что х = -11. Ответ: -11 Задание 29. Найдите значение у, при котором вектор
разлагается по векторам
Ответ: 6 Задание 30. При каком значении х векторы
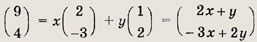
компланарны, если:
Ответ: а) 2; б) 3 Задание 31. Пусть К и М — середины сторон ВС и CD параллелограмма
Выразите векторы
Решение. Выражая векторы
через
получаем
откуда
Теперь легко находим:
Ответ:
Задание 32. В параллелограмме ABCD точка М лежит на стороне ВС, причем ВМ : МС = 1:2, точка N — на стороне
Выразите векторы
Ответ:
Пусть О — точка пересечения медиан треугольника
Разложите векторы АВ и ВС по векторам
Ответ:
Задание 34. Векторы
лежат в одной плоскости и образуют друг с другом углы
Разложите вектор
по векторам
Ответ:
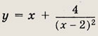
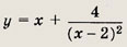
Задание 35. К графику функции
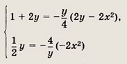
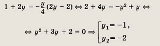
проведена касательная в точке А(х0 ; у0 ) с абсциссой х0 = 2. Эта касательная пересекает ось абсцисс в точке С, а ось ординат — в точке В. Разложите вектор
Решение. Ордината у0 точки А равна 8, т.е., записав уравнение касательной к кривой
в этой точке, получаем у = х + 6.
Теперь вычислим координаты точек В(0; 6), С(-6; 0) и нужных нам векторов:
и
Найдем числа х и у такие, что
откуда {6; 0} = x {-2; -2} + y {2; 8}. Решив полученную систему, находим х = -4 , у = -1. Ответ:
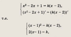
Задание 36. Из точки А(2; 0) к графику функции у = х2 - 2х + 1 проведены две касательные. Пусть B и С — точки касания, причем точка B лежит на оси абсцисс. Разложите вектор
Решение: Уравнение пучка прямых, проходящих через точку А(2; 0) (рис.)
имеет вид у = k(x - 2). В точках касания должны выполняться равенства
откуда х1 = 1, k1 = 0; Х2 = 3, k2 = 4. Следовательно,
Отсюда получаем, что
Ответ:
Задание 37. Парабола у = х2 - 4х + 2 пересекается с прямой у = х + 8 в точках А и B. Касательная к этой параболе в точке М(х0; у0), где х0 = 3, пересекается с той же прямой в точке С. Разложите вектор
если D — вершина данной параболы. Ответ:
Задание 38. Начало А(х0; y0) вектора АВ лежит на графике функции
где х0 — точка минимума этой функции. Конец В вектора
лежит на прямой 2х - у + + 2=0 так, что вектор
имеет наименьшую возможную длину. Найдите координаты вектора
если вектор
в 3 раза длиннее вектора
и коллинеарен ему. Решение. Найдем минимум функции
Имеем
При переходе через эту
точку знак производной меняется с минуса на плюс, т.е. х = 4 — минимум; зна-
Таким образом, началом вектора
является точка А(4; 5). Далее, точка на прямой 2х - у + 2 = О имеет координаты B(t; 2t + 2). Теперь запишем квадрат длины вектора
служит точка В(2; 6), а вектор
Вектор, колли-неарный вектору
и по длине в 3 раза больший, чем
имеет вид
Ответ:
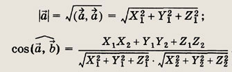
• Рассмотрим понятие скалярного произведения векторов. Отложим от произвольной точки О векторы
Углом между ненулевыми векторами
называется угол между лучами ОА и ОB. Обозначение:
Скалярное произведение векторов
определяется равенством
Скалярное произведение обладает следующими свойствами:
Задание 39. Найдите скалярное произведение векторов
если:
Задание 40. Найдите угол между векторами
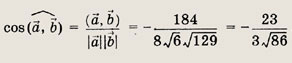
если:
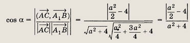
Решение в). Имеем
откуда
Ответ:
в) Задание 41. Вычислите внутренние углы треугольника ABC, где А(1; 2; 1), В(3; -1; 7), С(7; 4; -2). Является ли этот треугольник равнобедренным? Ответ:
Треугольник равнобедренный. Задание 42. При каком значении а векторы
перпендикулярны? Ответ: a = -6 Задание 43. Покажите, что точки А(1; -1; 1), В(1; 3; 1), С(4; 3; 1), .0(4; -1; 1) являются вершинами прямоугольника. Решение. Находим векторы:
и
Так как
то ABCD — прямоугольник. Задание 44. Векторы
являются смежными сторонами параллелограмма. Определите угол между его диагоналями. Указание. Диагоналями параллелограмма служат векторы:
Найдите эти векторы и угол между ними. Ответ:
Задание 45. Заданы три вершины параллелограмма: А(2; 1; 3), В(5; 2; -1), С(-3; 3; -3). Найдите угол между его диагоналями АС и BD. Ответ:
Задание 46. Известны вершины тр. АВС: А(2; -3; 0), В(2; -1; 1), С(0; 1; 4). Найдите угол между медианой BD и основанием АС. Ответ:
Задание 47. Найдите вектор
коллинеарный вектору
и удовлетворяющий условию
где
Решение. Будем искать вектор
Для нахождения t имеем уравнение
т.е.
Ответ:
Задание 48. Даны векторы
Найдите вектор
если он перпендикулярен вектору
и удовлетворяет условиям
Указание. Вектор перпендикулярный вектору
Ответ: {2; -3; 0} Задание 49. Найдите вектор
зная, что он перпендикулярен векторам
и удовлетворяет условию
Ответ: {3; -3; -3} Задание 50. Найдите вектор
если известно, что векторы
компланарны,
Указание. Так как векторы
компланарны, то
Ответ:
Задание 51. Даны векторы
Найдите единичный вектор, лежащий в плоскости векторов
Ответ:
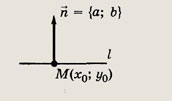
а также уравнение прямой, проходящей через данную точку М(х0 ; у0 ) в направлении данного вектора е = {m; n}.
Эти уравнения соответственно имеют вид
Вектор
называется нормальным вектором прямой l (или нормалью), а
— направляющим вектором прямой l. Уравнение плоскости, проходящей через точку М(х0; у0; z0), перпендикулярно вектору
(вектору нормали):
— это нормаль к плоскости (нормаль к прямой на плоскости). Уравнения прямой в пространстве, проходящей через точку М(х0 ;y0; z0) в направлении вектора
имеют вид
Задание 52. Запишите уравнение прямой на плоскости, если эта прямая проходит через: а) точку М( 1; -1) перпендикулярно вектору
б) точку М(3; -2) перпендикулярно вектору
где А(3; 2), В(-1; 5); в) точку М(0; 5) в направлении вектора
г) точки М(1; 3) и N(-2; 4); д) точку М(-1; 2) параллельно прямой x - 2y + 3 = 0; е) точку А(2; 1) параллельно прямой, проходящей через точки В(3; 1) и С(-4; 0); ж) точку пересечения прямых 2х + 5у -8 = 0, х - 3у - 4 = 0 и начало координат. Решение. г) Надо записать уравнение прямой, проходящей через точку М(1; 3), а направляющий вектор этой прямой
имеем
Указание. д) Нормальный вектор искомой прямой такой же, как и у данной прямой, т.е. n = {1; -2}. Ответ: а) - х + 2у + 3 = 0 Задание 53. Даны координаты вершин четырехугольника: А(2; -2), B(-3; 1), С(7; 7), D(7; 1). Запишите уравнения его сторон. Проверьте, что это трапеция. Решение. г) Найдем вектор
перпендикулярный векторам
(т.е. нормальный вектор искомой плоскости). Этот вектор должен удовлетворять системе уравнений
Таким ооразом, одним из решении системы является вектор
(координаты остальных решений пропорциональны данному). Искомое уравнение имеет вид 1 • (x - 3) + 4 • (х - 4) + 7 • (z + 5) = 0 <=> х + 4y + 7z + 16 = 0 Указание. д) Искомая плоскость параллельна нормальным векторам двух данных плоскостей, т.е. векторам,
Ответ: а) x + 2у + 3z = 0 Задание 54. Запишите уравнение плоскости, если она проходит через: а) начало координат перпендикулярно вектору
б) точку А(1; 2; 3) перпендикулярно вектору
где B(4; 6; 9); в) точку А(2; 1; 1) параллельно плоскости 2х + 2у --z + 4 = 0; г) точку М(3; 4; -5) параллельно двум векторам
д) начало координат перпендикулярно двум плоскостям 2x - y + 3z - 1 = 0 и x + 2y + 2=0 Указание. б) Направляющим вектором данной прямой является вектор АВ г) Направляющий вектор прямой перпендикулярен нормальным векторам двух данных плоскостей (см. решение задачи 53, г). Ответ:
Задание 55. Запишите уравнения прямой в пространстве, если она проходит через: а) точкуА(1; 2; 3) в направлении вектора
б) точки А(-1; 2; 3) и Б(2; -1; 1); в) точку А(2; 3; 0) перпендикулярно плоскости х - у + 2z - 1 = 0; г) начало координат параллельно линии пересечения плоскостей 2х - 5у + z - 3 = 0 и х + 2у -z + 2 = 0. Решение. Запишем уравнения прямой
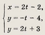
Если приравнять данные отношения числу t, то получим параметрические уравнения прямой:
2(5t - 3) + 2(-3 + 4) - t + 4 = 0 <=> 3t + 6 = 0 <=> t = -2 Теперь подставим это значение t в систему и получим координаты искомой точки:
Ответ: (-13; 10; -2) Задание 56. Найдите координаты точки пересечения плоскости 2х + 2у - z + 4 = 0 и прямой, проходящей через точки А(-3; 4; 0), В(2; 1; 1). Указание. Найдите значение параметра, при котором направляющий вектор прямой перпендикулярен нормальному вектору плоскости. Ответ: m = -3 Задание 57. При каком значении m прямая
параллельна плоскости х - Зу + 6z + 7 = 0? Указание. Найдите точку пересечения плоскости и прямой, перпендикулярной плоскости и проходящей через точку Р. Ответ: (1; 4; -7) Задание 58. Найдите координаты проекции точки Р(5; 2; -1) на плоскость 2х - у + Зz + 23 = О. Ответ: Q(-5; 1; 0) Задание 59. Найдите координаты точки Q, симметричной точке Р(1; 3; -4) относительно плоскости Зx + у - 2z = 0. Замечание. Нуль в знаменателе означает, что третья координата любой точки прямой равна -2. Ответ:
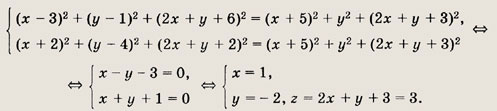
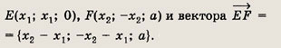
Задание 60. Даны вершины
и С(4; -7; -2). Запишите уравнение медианы, проведенной из вершины С. Указание. Пусть
Тогда
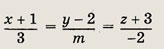
— направляющий вектор искомой биссектрисы. Ответ:
Задание 61. Даны вершины
С(-5; 14; -3). Запишите уравнение биссектрисы угла при вершине В. Решение. а) Угол между прямыми на плоскости равен либо углу между направляющими векторами данных прямых (рис. а)
либо дополняющему этот угол до 180° (рис. б). В обоих случаях
По условию,
Ответ: a) б)
• Углы между прямыми на плоскости и в пространстве, между плоскостями, а также между прямой и плоскостью находим, рассматривая соответствующие направляющие векторы прямых и нормальные векторы плоскостей. Задание 62. Найдите угол между прямыми на плоскости:
г) l1 и l2 , если l1 — высота
опущенная из вершины А, а l2 — медиана того же треугольника, проведенная из вершины В, где А(1; -1), В(-2; 1), С(3; 5). Указание. Косинус угла между плоскостями равен модулю косинуса угла между нормальными векторами. Ответ: m = -1 Задание 63. При каком значении m плоскость 2х + mу - Зz --1 = 0 перпендикулярна плоскости 5х + у + Зz + 1 = 0? Ответ:
Задание 64. Найдите угол между плоскостью Оху и плоскостью
Задание 65. Найдите угол между плоскостями
Задание 66. Чему равен двугранный угол, образованный плоскостями x + 2y - z - 1 = 0 и 2x + y - z - 2 = 0? Решение. Синус угла
между прямой и плоскостью (рис.)
равен модулю косинуса угла между направляющим вектором
прямой и нормальным вектором
плоскости, т.е.
откуда
Точку пересечения прямой и плоскости найдем так же, как и в задаче 55. Ответ: a)
Задание 67. Найдите угол между прямой и плоскостью, а также координаты точки пересечения этой прямой и плоскости:
Ответ:
Задание 68. Даны точки А(1; -1; 1) и В( - 3; 2; 1). Найдите угол между прямой, проходящей через точки А и B, и плоскостью 6х + 2у - Зz - 7 = 0. Решение. а) Найдем уравнения прямой, проходящей через точку М перпендикулярно плоскости. Ее направляющий вектор совпадает с нормальным вектором плоскости (2; -1; 2). Значит, уравнение прямой имеет вид
Приравняв эти отношения числу t, получим параметрические уравнения прямой
2(2t - 2) - (-t - 4) + 2(2t + 3) + 3 <=> t = -1. Подставив это значение t в систему, найдем точку пересечения прямой и плоскости (проекцию точки М на плоскость): М'(-4; - 3; 1). Расстояние от М до М' является искомым:
д) Запишем уравнение плоскости, проходящей через точку Р и перпендикулярной данной прямой: 3(х - 1) + 2(у + 1) - 2(z + 2) = 0 <=> Зх + 2у - 2z - 5 = 0. Найдем точку пересечения данной прямой и полученной плоскости: Р'(3; 2; 4). Искомое расстояние — это расстояние между точками Р и Р'. Указание. в) Найдите расстояние от плоскости х - 2у - 2z -- 12 = 0 до какой-нибудь точки плоскости х - 2у— 2z - 6 = 0 (например, до точки М(6; 0; 0)); Ответ: a) {3} д) {7} e) {21} Задание 69. Вычислите расстояние: а) от точки М(-2; -4; 3) до плоскости 2х - у + 2z + 3 = 0; б) от точки М(2; -1; -1) до плоскости 16x - 12у + 15z - 4 = 0; в) от плоскости х - 2у - 2z - 12 = 0 до параллельной ей плоскости х - 2у - 2z - 6 = 0; г) от середины отрезка М1 М2 до плоскости 5х - 2у + z - 1 = 0, где M1 (1; 4; -3), М2 (2; 5; 0);
Решение. Точка A'(3; -4; -7) симметрична точке А относительно плоскости Оху (рис.).
Уравнения прямой, проходящей через точки А'и В, имеют вид
которая и является искомой точкой (для нахождения ее координат достаточно в уравнениях прямой положить я = 0). Докажем, что эта точка удовлетворяет условию задачи. Возьмем на плоскости любую другую точку Р. Так как АР + ВР = А'Р + ВР = А'В, AQ + BQ = A'Q + BQ и A'Q + BQ > А' В (сумма двух сторон треугольника больше третьей стороны), то АР + ВР < AQ + BQ, что и требова лось доказать. Ответ:
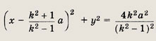
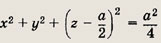
Задание 70. На плоскости Оху найдите такую точку Р, сумма расстояний от которой до точек А(3; -4; 7) и B(-5; -14; 17) была бы наименьшей. Ответ:Р(-2; -2; 5) Задание 71. На плоскости 2х - Зу + 3z = 17 найдите такую точку Р, сумма расстояний от которой до точек А(3; -4; 7) и В(-5; -14; 17) была бы наименьшей. Ответ:а) (х - 1)2 +
(у - 2)2 + (2 - З)2 = 16;
(X - Х0)2
+ (у - У0)2 + (z - z0)2 = R2. Задание 72. Запишите уравнение сферы: а) с центром в точке А(1;
2; 3) и радиусом R = 4; (х - З)2 + (у + 1)2 + (z - 1)2 = 21. Задание 73. Запишите уравнение сферы, если точки А(2; -3; 5) и B(4; 1; -3) являются концами одного из ее диаметров. Решение. а) Так как z2 - 6z = z2 - 6z + 9 - 9 = (z - З)2 - 9, то уравнение сферы запишется следующим образом: х2 + у2 + (2 - З)2 = 9. Ответ: a) (0; 0; 3); 3 Задание 74. Определите координаты центра сферы и ее радиус, если сфера задана уравнением: а) х2 + у2
+ z2 - 6z = 0; Решение. Координаты произвольной точки Q, лежащей в данной плоскости, имеют вид (х; у; 2х + у + 3). Неизвестные х и у можно найти, приравняв квадраты расстояний |QM1|2 = |QM3|2 и |QM2|2 = = |QM3|2, т.е.
Ответ: (х - 1)2 + (у + 2) + (z - З)2 = 49. Задание 75. Запишите уравнение сферы, если она проходит через точки M1 (3; 1; -3), М2(-2; 4; 1), М3(-5; 0; 0), а ее центр лежит в плоскости 2x + y - z + 3 = 0. Указание. Искомое расстояние равно разности расстояния от центра сферы до плоскости и радиуса сферы. Ответ: 2 Задание 76. Найдите расстояние от плоскости х + 2у - 2z - 15 = 0 до сферы х2 + у2 + z2 - 9 = 0. Решение. Введем систему координат Оху так, чтобы А(0; 0), В(0; За), D(a; 0), где а — длина стороны прямоугольника (рис.).
Пусть N(x; у). Тогда |АN|2 = -х2 + у2 = 2; |BN| = х2 + (у - За)2 = 32, |DN|2 = (х - а)2 + у2 = 4. Приходим к системе уравнений:
Подставляя v = 5u - 1 в первое уравнение, легко находим
то из уравнения х2 + у2 = 2 получим
Далее, поскольку
имеем
откуда
Ответ:
Введя подходящим образом систему координат, решите следующие задачи (77—108): Задание 77. В прямоугольнике ABCD сторона
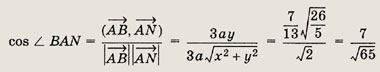
АВ втрое длиннее стороны БС. Внутри прямоугольника лежит точка N,
Найдите угол BAN и площадь прямоугольника ABCD. Ответ:
Задание 78. В прямоугольнике ABCD сторона
AD вдвое длиннее стороны АВ. Внутри прямоугольника расположена
Найдите угол АВМ и площадь прямоугольника ABCD. Ответ:
Задание 79. В прямоугольном треугольнике ABC длины катетов равны сооветственно 8 и 6. Прямая AD делит сторону ВС в отношении BD : DC = 4:5. Найдите угол между прямыми АВ и AD. Решение. Расположим систему координат так, чтобы А(-6; 0), С(6; 0), а точка В лежала на оси Оу (рис.).
Тогда
Теперь находим
Ответ:
Задание 80. В равнобедренном треугольнике ABC (|АВ| = |ВС| = 8) точка ? делит боковую сторону АВ в отношении 3:1, считая от вершины В. Найдите угол между прямыми СЕ и СА, если |СА| = 12. Решение. Выберем систему координат Оху так, чтобы ее центр совпал с центром вписанной в квадрат окружности, оси координат были параллельны сторонам квадрата, а точка Е лежала на оси Ох и имела координаты
— уравнение окружности;
Находим координаты точки F пересечения прямой АЕ и окружности. Получаем
откуда
Теперь найдем
Ответ:
Задание 81. В квадрат ABCD со стороной а вписана окружность, которая касается стороны CD в точке Е. Найдите длину хорды, соединяющей точки, в которых окружность пересекается с прямой АЕ. Ответ:
Задание 82. На плоскости лежит равнобедренный прямоугольный треугольник, у которого катет имеет длину а. Поворотом в этой плоскости данного треугольника вокруг вершины его прямого угла на угол 45° получается другой равнобедренный прямоугольный треугольник. Найдите площадь четырехугольника, являющегося общей частью этих двух треугольников. Решение. Выберем систему координат Оху так, чтобы вершина, вокруг которой производится поворот, совпала с началом координат, а стороны лежали на координатных осях (рис).
Пусть ОВСD - исходный квадрат, тогда В(0;а), С(а;а), D(а;0), а координаты точки D1 (образа точки D при повороте) таковы: D1 (a cos 30°; а sin 30°). т.е.
Уравнение прямой (OD1):
т.е.
Тогда
Следовательно, периметр четырехугольника
Ответ:
Задание 83. На плоскости лежит квадрат со стороной длины а. Поворотом в этой плоскости квадрата вокруг одной из его вершин на угол в 30° получается другой квадрат. Найдите периметр четырехугольника, являющегося общей частью этих двух квадратов. Ответ:
Задание 84. В вершинах квадрата расположены центры кругов радиуса
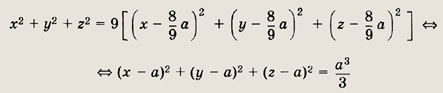
Найдите длину стороны квадрата, если площадь общей части всех кругов, лежащей внутри квадрата, равна
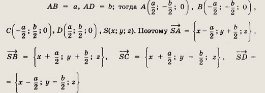
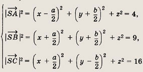
Решение. Расположим систему координат Охуz так, чтобы ос нование пирамиды лежало в плоскости Оху, оси Ох и Оу были параллельны сторонам основания, а вершина S лежала в верхнем полупространстве (рис.).
Пусть
Согласно условию имеем
а нужно найти
Мы видим, что
Такимобразом,
Ответ:
Задание 85. В четырехугольной пирамиде SABCD основание ABCD — прямоугольник, SA = 2, SB = 3, SC = 4. Найдите длину SD. Указание. Центр описанной около треугольника ABC окружности лежит на середине гипотенузы АС. Ответ:
Задание 86. В четырехугольной пирамиде SABCD угол BCD треугольника основания — прямой, SB = 4, SC = 5, SD = 6. Найдите расстояние от вершины S до центра описанной около треугольника BCD окружности, если длина гипотенузы
Решение. Выберем следующую систему координат (рис.):
Начало координат совпадает с точкой Р, ось Рх параллельна основаниям, ось Ру перпендикулярна Рх и лежит в плоскости трапеции, ось Р1 перпендикулярна плоскости трапеции. Обозначим высоту трапеции через А. Вычислим координаты точек P1(0; 0; 1), S1(4; 0; 1), Q1(1,5; h; 7), R1(2,5; А; 2), а затем, координаты точек
Расстояние между точками К1 и L1; равно
Ответ:
Задание 87. В равнобочной трапеции PQRS (QR || PS) известны длины сторон QR = 1, PS = 4. Точки Р1, Q1, R1 и S1 лежат по одну сторону от плоскости трапеции, причем прямые PP1, QQ1, RR1, SS1 перпендикулярны этой плоскости и РР1 = 1, QQ1 = 7, RR1 = 2, SS1 = 1. Точки К1 и L1 лежат на отрезках P1R1 и Q1S1 соответственно. Найдите длину отрезка К1L1, если Р1K1 : К1P1 = 3 : 2, Q1L1 : L1S1 = 2 : 3. Ответ:
Задание 88. В равнобочной трапеции ABCD (AD || BC) известны длины сторон AD = 10; ВС = 2. Точки А1, B1, С1 и D1 лежат по одну сторону от плоскости трапеции, причем прямые ААг, BBlt ССг и DD: перпендикулярны этой плоскости, AA1 = 1, ВВ1 = 2, СС1 = 2, DD1 = 4. Точки М1 и N1 лежат на отрезках А1С1 и B1D1 соответственно. Найдите длину отрезка М1N1, если А1М1 : М1С1 = 2 : 1, B1N1 : N1D1 = 1 : 2. Решение. Пусть начало координат совпадает с точкой А, отрезок АС лежит на оси Ах, ось Ау лежит в плоскости ABC и перпендикулярна оси Аx; точки А1 лежит на оси Az (рис.).
Обозначив сторону АВ основания призмы через а и учитывая, что высота АА1 = 2, найдем координаты точек
Далее имеем
Косинус угла между прямыми АС1 и А1В равен модулю косинуса угла между векторами
откуда
Раскрывая модуль, получаем
Ответ:
Задание 89. В правильной треугольной призме АВСА1В1С1 (АА1 || В1 || СС1) угол между прямыми АС1 и А1В равен АА1 = 2. Найдите АВ1. Решение. Расположим оси координат так, как показано на рис.
Имеем
Поскольку вектор
точка Р имеет координаты
Пусть х, у и z — координаты точки М. По условию
откуда
Так как куб вырезает из сферы
Ответ:
Задание 90. Дан куб ABCDA1B1C1D1 (АА1 II ВВ1 II СС1 II DD1) с ребром а. На диагонали А1:С взята точка Р так, что А1Р : A1C = 8 : 9. Внутри куба находится поверхность S, состоящая из точек М, для которых А1М : РМ = 3. Найдите площадь поверхности S. Ответ:
Задание 91. Дан куб ADCDA1B1C1D1 (AA1 || ВВ1 II СС1 II DD1) с ребром а. Точки N и Р -- середины ребер А1В1 и CD соответственно. На отрезке NP взята точка Q так, что NQ : NP = 2:3. Внутри куба находится тело G, состоящее из точек М, для которых
Найдите объем тела G. Решение. Введем систему координат (рис.)
так, чтобы начало координат совпало с вершиной A, ось Ох была направлена вдоль ребра (AD), Оу — вдоль ребра (АВ), а Оz — вдоль ребра (AA1). Тогда
— середина ребра
середина ребра (C1D1). Пусть центр сферы имеет координаты (х; у; z). Обозначив искомый радиус через R, имеем
Подставляя
во второе и третье равенства и вычитая извторого равенства третье, получим
Теперь, подставляя
в первое и третье уравнения, находим
Таким образом,
Ответ:
Задание 92. Ребро куба имеет длину а. Найдите радиус сферы, проходящей через точки A, D и середины ребер В1С1 и C1D1. Ответ:
Задание 93. Дан куб ABCDA1B1C1D1, длина ребра которого равна а. Найдите радиус сферы, проходящей через точки А, В1, Е и F, если точки Е и F лежат на ребре СС1 и СЕ = EF = FC1. Решение. Расположим систему координат Oxyz так, чтобы ее начало совпало с вершиной А, а координатные плоскости совпали с гранями куба (рис.).
Так как радиус сферы, проведенный в точку касания, перпендикулярен касательной плоскости, то из условия следует, что
— центр первой сферы радиуса
— центр второй сферы радиуса
|1 - z|. Точка касания сфер лежит на прямой, проходящей через их
Значит,
— радиусы сфер,
Пусть М - точка касания сфер. Тогда
координаты вектора
Следовательно,
Ответ:
Задание 94. Длина ребра куба ABCDA1B1C1D1 равна 1. Одна сфера радиуса
касается плоскости ABC в точке А, другая сфера касается плоскости А1B1С1 в точке E1 лежащей на отрезке В1С1, причем В1Е1 : Е1С1 = 2 :1. Известно, что сферы касаются друг друга внешним образом и точка их касания лежит внутри куба. Найдите расстояние от точки касания сфер до точки D. Ответ:
Задание 95. Длина ребра куба ABCDA1B1C1D1 равна 1. Одна сфера радиуса
касается плоскости ABC в точке В, другая сфера касается плоскости А1В1С1 в точке Е1, лежащей на отрезке С1D1 ,причем С1Е1 : Е1D1 = 1 :2 . Известно, что эти сферы касаются друг друга внешним образом и точка их касания лежит внутри куба. Найдите расстояние от точки касания сфер до точки С. Решение. Совместим начало координат с центром шара так, чтобы координатные оси были параллельны заданным: Ох || (AA1), Оy II (ВВ1), Оz II (СС1).
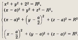
Запишем уравнения прямой (СС1): х = х0, у = y0, z = z0 и найдем координаты zc точек С и С1 пересечения этой прямой со сферой. Имеем 121 = х02 + y02 + z02 т.е.
так как х02 + y02 + z02 = 59 - z02 Решив последнее уравнение, получаем
Аналогично, записав уравнения прямой (BB1): х = х0, у = у0, z = z0, находим координаты
Ответ: 20 см. Задание 96. На сфере радиуса 11 см взяты точки А, А1, В, B1 С и С1, что прямые АА1, ВВ1 и СС1 взаимно перпендикулярны и пересекаются в точке М, отстоящей от центра сферы на расстоянии
Найдите длину отрезка АА1, если известно, что длина отрезка BB1 равна 18 см, а точка М делит отрезок СС1 в отношении
Ответ:
Задание 97. Отрезки АА1, ВВ1, СС1, концы которых лежат на сфере радиуса 10 см, попарно перпендикулярны и пересекаются в точке М. Длина отрезка АА1 равна 12 см, длина отрезка ВВ1 равна 18 см. Найдите расстояние от центра сферы до точки М, если известно, что отношение длины отрезка СМ к длине отрезка МС1 равно 11:3. Решение. Расположим систему координат Охуz так, чтобы координатная плоскость Оху содержала грань ABCD куба, ребра (АВ) II Оу, (AD) II Ох, а ось Оz прошла через центр квадрата ABCD (рис.).
Запишем уравнения:
Далее запишем координаты точек
Обозначим через М и N точки пересечения прямой (EF) со сферой
считая от точки E. Тогда координаты точки М получаем из координат точки Е прибавлением координат вектора
a координаты точки N — прибавлением координат вектора
Подсчет дает:
Подстановка их координат в уравнение сферы приводит к системе
Решив систему, находим
Ответ:
Задание 98. Ребро куба ABCDA1B1C1D1 равно а. На диагоналях АС и B1D1 граней куба взяты соответственно точки Е и F так, что вписанная в куб сфера делит отрезок EF на три части, отношение длин которых равно 3:7:2, считая от точки Е. Найдите длину EF. Решение. Расположим систему координат Oxyz так, чтобы начало координат совпало с вершиной К; имеет N(1; 0; 0), L(0; 1; 0), К1 (0;0; 1).Тогда
- центр куба. Уравнение плоскости, проходящей через точки А, В и С, имеет вид
Подставляя в это равенство координаты точек
получим уравнение плоскости: 9х - 8у - 5z + 2 = 0. Вектор n = {9; -8; -5} является направляющим вектором прямой, проходящей через К1 (0; 0; 1) перпендикулярно указанной плоскости. Пусть Р — точка пересечения этой прямой и плоскости. Запишем уравнения
остается наити
Ответ:
Задание 99. Длина ребра куба KLMNK1L1M1N1 равна 1. На ребре KL взята точка А так, что длина отрезка КА равна
а на ребре ММ1 — точка В так, что длина отрезка М1В равна 2/5. Через центр куба и точки А и В проведена плоскость, точка Р — проекция точки К1 на эту плоскость. Найдите длину отрезка АР. Решение. Введем систему координат Oxyz так, чтобы вершина А совпала с началом координат, ребро AD лежало на оси абсцисс, ребро АВ — на оси ординат, а ребро АА1 — на оси аппликат. Тогда: D (а; 0; 0),
По условию отрезки MN и PQ ортогональны и пересекаются. Первое условие означает, что
откуда получаем, что у = 2х - а. Второе условие влечет компланарность векторов
Значит, нужно найти числа
откуда
Решив эту систему, получим
Теперь найдем
а тогда искомая длина
Ответ:
Задание 100. Длина ребра куба ABCDA1B1C1D1 равна а. Точки Р, К, L — середины ребер AA1,A1D1 и В1С1 соответственно, точка Q — центр грани CC1D1D. Отрезок MN, концы PQ и перпендикулярен ей. Найдите длину этого отрезка. Указание. См. аналогичную задачу 98. Ответ:
Задание 101. Длина ребра куба ABCDA1B1C1D1 равна 1. На ребре АА1 взята точка Е так, что АЕ =
а на ребре ВС - точка F так, что BF =
Через центр куба и точки Е и F проведена плоскость. Найдите расстояние от вершины В1до этой плоскости. Указание. Запишите уравнения прямой АК и плоскости, проходящей через точку N перпендикулярно прямой АК. Расстояние от точки N до точки пересечения указанных прямой и плоскости и является искомым. Ответ:
Задание 102. В кубе ABCDA1B1C1D1, ребро которого равно 6, точки М и N — середины реберАВ и В1С1 соответственно, а точка К расположена на ребре DC так, что DK = 2КС. Найдите расстояние от точки ./V до прямой АК. Указание. Покажите, что плоскость, проходящая через точки В, B1 и D, параллельна отрезку AA1 и найдите расстояние от точки А до этой плоскости. Ответ:
Задание 103. Дан куб ABCDA1B1C1D1 с ребром а. Найдите расстояние от ребра АА1 до диагонали B1D. Решение. Выберем систему координат Oxyz так, чтобы вершина Р совпала с началом координат, ось Оz была направлена вдоль ребра PP1, а точка Q лежала в верхней полуплоскости координатной плоскости Оху (рис.).
Тогда:
и, значит,
Проекцию отрезка АВ
на прямую RP1 (или на
найдем по формуле откуда
Ответ:
Задание 104. В прямой треугольной призме PQRP1Q1R1 (PP1 II QQ1 II RR1) на ребрах PQ и P1R1 взяты соответственно точки А и В так, что РА : AQ = 1 : 3 и Р1В : BR1 = 3:4. Угол QRP равен 30°. Отрезок EF является проекцией отрезка АВ на прямую RP1.V Найдите длину отрезка EF, если известно, что высота призмы равна 13 см, PQ = 8 см, PR = 14 см. Ответ:
Задание 105. В основании прямой треугольной призмы KMNK1M1N1 (KK1 || ММ1 II NN1) лежит треугольник KMN, угол MKN равен 45°. На ребрах КМ и К1R выбраны соответственно точки Q и R так, что KQ : QM = = 1 : 4 и K^R : RN± =4:5. Отрезок CD является проекцией отрезка NK1 на прямую QR. Найдите длину отрезка CD, если известно, что КК1 = 8 см, KQ = 1 см; KN = 9 см. Указание. См. решение задачи 106. Ответ:
Задание 106. Каждое из ребер треугольной
пирамиды ABCD имеет длину 1. Точка Р на ребре АВ, точка Q на ребре
Плоскость PQR пересекает прямую AD в точке S. Найдите величину угла между прямыми SP и SQ. Решение. Введем систему координат Охуz, поместив начало координат в середину ребра АВ так, чтобы ось Оу прошла через вершину С, а сторона АВ лежала на оси Ох (рис.).
Данная пирамида — правильный тетраэдр. Определяем координаты нужных точек и векторов:
Далее находим вектор
перпендикулярный векторам
Из системы равенств
получим
Тогда уравнение плоскости, проходящей через точки
Далее, из равенства
следует, что
Перейдем к отысканию значения t, при котором точка Н принадлежит указанной плоскости. Hi плоскости, получаем
Теперь запишем координаты точки
и векторов
Ответ:
Задание 107. Каждое из ребер прямоугольной пирамиды ABCD имеет длину 1. Точка Е на ребре АВ, точка F на ребре ЕС и точка G на ребре CD взяты так, что
Плоскость EFG пересекает прямую AD в точке Н. Найдите периметр тр. HEG. Указание. Основание конуса лежит в плоскости у = 2. Ответ:
Задание 108. Точки А(1; 2; -1), В(-2; -2; -1) и С(-2; 2; 3) лежат на окружности основания конуса, а точка
на его боковой поверхности. Найдите площадь полной поверхности конуса. Ответ:
Задание 109. Точки А(1; 2; -2), (4; 2; -2) и С(3; 4; -2) лежат на окружности основания конуса, высота которого равна 3. Найдите координаты его вершины, если конус пересекает плоскость z = 0. Решение. а) Положим |АВ| = 2а, а > 0. Введем на плоскости систему координат Оху так, что А(-а; 0), В(0; а), а ось ординат проходит через середину отрезка АВ перпендикулярно этому отрезку (рис.).
Пусть М(х; у) — произвольная точка, принадлежащая искомому множеству. Согласно условию координаты точки М(х; у) должны удовлетворять равенству
т.е. (х + а)2 + у2 = k2[(x - a)2 + у2], откуда (k2 - 1)x2 - 2(k2 + 1)ax + (k2 - 1)y2 + (k2 - 1)a2 = 0. Если k = 1, то это прямая х = 0. Если же k # 1, то это семейство окружностей
получаем (х - 2а)2 + у2 = За2, где
a) при k = 1 — прямая;
при k # 1 — окружности
— пустое множество; при
— точка; при
— окружности, имеющие в указанной системе координат уравнения
Задание 110. На плоскости даны точки А и Б. Найдите множество всех точек М плоскости, для которых выполнено условие:
Указание. Введите систему координат так, чтобы данная прямая совпала с осью абсцисс, а данная точка лежала на оси ординат и имела координаты (0; а), где а > 0 — расстояние от данной точки до прямой. В этом случае уравнения искомых кривых имеют вид 2ау = х2 + а2. Ответ: Парабола. Задание 111. На плоскости даны прямая и не лежащая на ней точка. Найдите множество точек, равноудаленных от этой прямой и этой точки. Указание. Введите систему координат, у которой оси совпадают с заданными прямыми. В этой системе искомые геометрические места точек определяются уравнениями:
Задание 112. На плоскости даны две взаимно перпендикулярные прямые. Найдите множество всех точек М плоскости, для которых: а) произведение расстояний
до данных прямых равно модулю разности этих расстояний; Ответ: Окружность с центром в точке С и радиусом R = |АС|. Задание 113. Точка С лежит на отрезке АВ так, что АС : СВ = = 2 :1. Найдите множество точек М плоскости, для которых < MCE = 2< MAC. Решение. Введем систему координат Охуz так, чтобы точка А совпадала с ее началом, точка В лежала на оси абсцисс, а точка С принадлежала плоскости Охуz. Тогда А(0; 0; 0), B(x1; 0; 0), С(х2; у2; 0), D(x3; у3; z3). Найдем координаты нужных векторов:
По условию
Теперь получим
Задание 114. В пространстве даны точки А, В, С и D, причем
Докажите, что
Решение. Введем систему координат Oxyz так, чтобы А = 0, точка В лежала на оси Ох, а отрезок CD был параллелен координатной плоскости Оху. Тогда: А(0; 0; 0), B(x1; 0; 0), С(х2; у2; z), D(x3; у3; z),
Запишем следующие векторы:
Отсюда видно, что
Теперь требуемое неравенство следует из общего неравенства:
Задание 115. В пространстве даны два отрезка АВ и CD, не лежащие в одной плоскости. Пусть MN — отрезок, соединяющий их середины. Докажите, что |АС| + |BD| > 2|MN|. Ответ: Сфера
Задание 116. Найдите множество точек
пространства, сумма квадратов расстояний которых до двух данных точек А(2; 3;
-1) и В(1; - 1; 3) равна 21. Поделитесь этой записью или добавьте в закладки |
Полезные публикации |
































































































































Главная