Линейное уравнение. Прямая и окружность С линейным уравнением ах + b = 0 (а, b — заданные числа — коэффициенты уравнения, х — искомая переменная величина) мы встречаемся с первых шагов изучения курса алгебры. Если
Рекомендуем всем решить задачи 1—73 и варианты 1 и 2 проверочных работ (например, четные номера на занятиях с преподавателем, а нечетные — самостоятельно). Если вы решили поступить в вуз с высокими требованиями по математике, то обратите внимание на задачи 74—80 и вариант 3. Решите уравнения 1—24. Это либо линейные, либо сводящиеся к линейным простыми преобразованиями уравнения. Задание 1. -4х = 5 Ответ: -1,25 Задание 2.
Ответ:
Задание 3. 0,3х = -0,81 Ответ: -2,7 Задание 4.
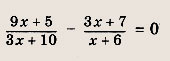
Ответ: 4 Задание 5.
Ответ:
Задание 6.
Ответ: -0,2 Задание 7.
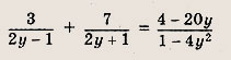
Ответ:
Задание 8.
Ответ: 2 Задание 9.
Ответ:
Задание 10.
Ответ:
Задание 11.
Ответ: 5 Задание 12.
Ответ: 0 Задание 13.
Ответ:
Задание 14.
Ответ: -3 Задание 15.
Ответ: 5 Задание 16.
Ответ:
Задание 17.
Ответ:
Задание 18.
Ответ:
Задание 19.
Ответ: 0 Задание 20.
Ответ:
Задание 21. (Зх - 1)2 - 5(2х + 1)2 + (6x - 3)(2x +1) = (х- I)2 Ответ:
Задание 22. (x + 6)2(x + 1) - (x - 3)2 (x + 10) = (3х + 4)2 Ответ:
Задание 23. (х + 2)3-х(х + 3)2=23 Ответ: 5 Задание 24. (x + 2)3 - (x - 2)3 = 12(x - 2)(x + 3) Ответ:
Следующие системы уравнений (25—30) решите, сведя их подстановками к линейным уравнениям. Текстовые задачи данной темы (31—37) также приводят к линейным уравнениям. Задание 25.
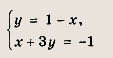
Ответ: (2;-1) Задание 26.
Ответ: (-2;3) Задание 27.
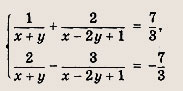
Ответ: (1;2;1) Задание 28.
Ответ: (1;2;3) Задание 29.
Ответ:
Задание 30.
Ответ: (2;1) Задание 31. Сумма цифр двузначного числа равна 15. Если прибавить к нему 27, то получится число, записанное теми же цифрами, но в обратном порядке. Найдите это двузначное число. Ответ: 69 Задание 32. Числитель дроби на 2 меньше знаменателя. Если числитель дроби уменьшить на 1, а знаменатель увеличить на 3, то значение дроби будет равно 0,25 Найдите дробь. Ответ:
Задание 33. Моторная лодка прошла против течения реки 16 км и вернулась обратно, затратив на обратный путь на 40 мин меньше, чем на путь против течения. Найдите собственную скорость лодки, если скорость течения реки равна 2 км/ч. Ответ: 10 км/ч Задание 34. Производительность косилки в 5 раз выше, чем производительность бригады косарей. Сколько дней потребуется бригаде косарей, чтобы скосить луг, если известно, что самоходная косилка и бригада косарей, работая вместе, смогут закончить сенокос за 3 дня? Ответ: 18 Задание 35. Пенсионер в начале года положил 1200 р. в два банка. В первом банке начисляли 50% годовых, а во втором — 40% Сколько рублей положил пенсионер в каждый банк, если в конце года он получил 1760 р.? Ответ: 800 р. и 400 р. Задание 36. За некоторое время количество акций гражданина Иванова увеличилось на 20% . На сколько процентов увеличилась цена каждой акции гражданина Иванова, если общая стоимость всех его акций возросла на 38% ? Ответ: 15% Задание 37. От кусков массой 6 кг и 12 кг двух сплавов с различным процентным содержанием меди отрезали по куску равной массы. Каждый из отрезанных кусков сплавили с остатком куска другого сплава, после чего процентное содержание меди в обоих кусках стало одинаковым. Каковы массы каждого из отрезанных кусков? Ответ: 4 кг. Более полно системы уравнений и текстовые задачи рассматриваются в соответствующих темах. Перейдем к Заданием, связанным с построением прямых и окружностей на плоскости. • Уравнение Для построения прямой нужно найти какие-либо две различные точки М1(х1; у1) и М2(х2; у2), координаты которых удовлетворяют уравнению этой прямой. Для построения окружности требуется найти ее центр и радиус (см. рис. ниже, где рассмотрены прямая у + 2х = 4 и окружность (х - 1)2 + (у - 2)2 = 5, т. е.
Замечание. Обе линии ах + by + с = 0 и (х - х0)2 + (у - у0)2 = R2 разбивают координатную плоскость на две части, для которых эти линии являются границей. Тогда одна из частей плоскости характеризуется тем, что координаты (х; у) всех ее точек М удовлетворяют неравенствам ах + by + с < 0 и (х - х0)2 + (у - y0)2< R2, а в другой части выполнены противоположные неравенства (см. рис. выше). Знак неравенства можно определить, найдя его в какой-либо одной точке соответствующей части плоскости. Постройте графики следующих линейных функций и окружностей (38—61). На координатной плоскости отметьте штриховкой области, соответствующие указанным неравенствам (границы областей, отвечающих строгим неравенствам, условимся проводить пунктирной линией, а границы областей, отвечающих нестрогим неравенствам, — сплошной линией). Задание 38.
Ответ:
Задание 39. у = -2х + 1, у < -2х + 1 Ответ:
Задание 40.
Ответ:
Задание 41.
Что происходит с прямой при изменении коэффициента а? Через какую точку проходят все эти прямые? Ответ:
При изменении а прямая
перемещается параллельно самой себе. Задание 42. у = ах - 1. Что происходит с прямой при изменении коэффициента а? Через какую точку проходят все эти прямые? Ответ:
При всех а прямые у = ах - 1 проходят через точку А (0; -1). При изменении а прямая у = ах - 1 вращается вокруг точки А (0; -1). Задание 43.
Ответ:
Задание 44.
Ответ:
Задание 45.
Ответ:
Задание 46.
Ответ:
Задание 47. (х-у)(х + 2у) > 0. Ответ:
Задание 48.
Ответ:
Задание 49.
Ответ:
Задание 50. (2х + у)2(х - 2у + 3) < 0 Ответ:
Задание 51.
Ответ:
Задание 52.
Ответ:
Задание 53.
Ответ:
Задание 54.
Решение: Построим множество точек М(х; у), координаты которых удовлетворяют равенству у2 - 2ху - Зх2 = 0
Раскладывая левую часть на множители, получаем у2 - 2ху - Зх2 = (у + х) (у - Зх) = 0. Это пара пересекающихся прямых у = -х и у = Зх. Теперь заштриховываем область
Задание 55. х2 + ху - 2у2> 0 Ответ:
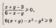
Задание 56.
Ответ:
Задание 57.
Ответ:
Задание 58.
Решение: Имеем х2 - 2х + у2 + 4y = (х - 1)2 + (у + 2)2 - 5. Таким образом, равенство х2 - 2х + у2 + 4у = 0 определяет окружность
Теперь заштриховываем область
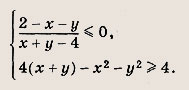
Задание 59.
Ответ:
Круг с центром в точке
радиусом R = 2:
Задание 60.
Что происходит с заштрихованной областью при изменении коэффициента а? Ответ:
(х - 2)2 + у2 < (2|а|)2 Если а = 0, то одна точка А(2; 0). Если
то круг радиуса R = 2|а| с центром в точке А(2; 0). С увеличением |а| радиус круга увеличивается. Задание 61.
Что происходит с заштрихованной областью при изменении коэффициента а? Ответ:
— круг радиуса R - 2 с центром в точке (а; 0). При увеличении а круг, как целое, смещается вправо. Задание 62. Пусть М — множество точек плоскости с координатами (х; у) таких, что числа х, у и 6 - 2х являются длинами сторон некоторого треугольника. Постройте фигуру М и найдите ее площадь. Решение: Для того чтобы числа х, у и (6 - 2х) являлись длинами сторон некоторого треугольника, необходимо и достаточно, чтобы эти числа были положительными и сумма любых двух из них была больше третьего числа. Получаем неравенства х > 0, у > 0, 6 - 2х > 0, х + у > 6 - 2х, 6-х>у,6-2х + у>х. Равносильная система имеет вид
Заштриховываем соответствующую область.
Ее площадь S = 6 кв. ед. Задание 63. Пусть ./V — множество точек плоскости с координатами (х; у) таких, что числа Зх, 2у и 9 - у являются длинами сторон некоторого треугольника. Постройте фигуру ./V и найдите ее площадь. Ответ:
S = 18 кв. ед. Задание 64. Постройте множество точек, координаты которых удовлетворяют системе неравенств
Ответ:
Задание 65. Постройте множество точек, координаты которых удовлетворяют системе неравенств
Ответ:
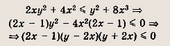
Задание 66. На координатной плоскости отметьте штриховкой фигуру, координаты точек которой удовлетворяют системе неравенств
Решение: Раскладывая на множители, перепишем первое неравенство в виде
Второе неравенство принимает вид
Это круг радиуса R = 3 с центром в точке А(2; 0). Теперь заштриховываем нужную область
Задание 67. На координатной плоскости отметьте штриховкой фигуру, координаты точек которой удовлетворяют системе неравенств
Ответ:
Задание 68. При всех а укажите наименьший корень уравнения х3 - Зах2 - (а - 1)2х + За(а - 1)2 = 0 Решение: Раскладываем левую часть на множители: х3 - Зах2 -- (а - 1)2х + За(а - 1)2 = х2(х - За) - (а - 1)2(х - За) = (х - За)(х - а + 1) (х + а - 1) = 0. Корнями данного уравнения являются х = За; х = а - 1; х= 1 -а. В координатной системе Оах строим графики этих функций и функции х = min (За; а — 1; 1 - а)
Находим точки пересечения построенных прямых и записываем ответ. Ответ: 1)
Задание 69. При всех а укажите наибольший корень ypавнения х3 - 2ах2 - (а + 1)2х + 2а(а +1)2 = 0. Ответ: 1) Задание 70. Решите систему неравенств
Решение: В координатной системе Оах отметим штриховкой область, заданную указанными неравенствами
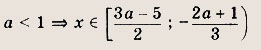
1) Задание 71. Решите неравенство
Ответ: 1) Задание 72. Найдите все а, при которых неравенство
выполняется для всех
Решение: В координатной системе Оах отметим штриховкой все точки М(а; х), координаты которых удовлетворяют указанным неравенствам (жирная штриховка выделяет те точки, у которых
Мы видим, что только при
полоса
целиком лежит в заштрихованной области. Ответ:
Задание 73. Найдите все а, при которых неравенство
выполняется для всех
Ответ:
Задание 74. При каких значениях параметра а система неравенств
имеет хотя бы одно решение? Решение: Решениями данного неравенства являются все точки (х; у), лежащие внутри круга
радиуса R = = 2|а| с центром в точке A(2; 0) и в области, определяемой неравенством
Изобразим эти множества точек
Мы видим, что система неравенств имеет решения, если радиус круга больше или равен длине перпендикуляра АВ, опущенного из точки А(2; 0) на прямую х - 2у = 0. Так как
Ответ:
Задание 75. При каких значениях параметра а система неравенств
не имеет решений? Ответ:
Задание 76. Найдите все значения параметров а и b, при которых система уравнений
удовлетворяющие условию
Решение: Перепишем систему так: а указанное условие преобразуем к виду х12 + y12 = х22 + у22 . Таким образом, точки пересечения двух окружностей (х - 1)2 + (у + 2)2 = |b|2 и (х-(а- 6))2 + (у - а)2 = а2 + 9 сами должны лежать на некоторой окружности с центром О(0; 0). Для этого необходимо, чтобы их центры А(1; -2), В(а - 6; а) и точка О(0; 0) лежали на одной прямой, а именно на прямой у = -2х. Отсюда получаем, что а = -2а + 12, т. е. а = 4.
Теперь выясним, при каких |b| окружности (х- 1)2 + (y + 2)2 = |b|2 и (х + 2)2 + (y - 4)2 = 25 имеют две различные точки пересечения. Расстояние |АВ| между центрами этих окружностей равно
Отсюда получаем, что окружности пересекаются только в том случае, если
Ответ:
Задание 77. Найдите все значения параметров
р и д, при которых система уравнений
. Ответ:
Задание 78. При каких а система уравнений
имеет единственное решение? Ответ:
Задание 79. При каких а система уравнений
имеет решения? Решение: Найдем предельные положения окружностей (х - а)2 + у2 = (2)2, при которых они касаются прямой х + у = 2. Радиус окружности равен 2, ее центр — точка (а; 0). Поэтому для предельных случаев получаем
(а2 - 2)2 = 22 + 22; (2 - а1)2 = 22 + 22. Значит, а1 и а2 — корни уравнения а2- 4a - 4 =0, т.е
Если
то прямая и окружность пересекаются, а, следовательно, система имеет решения. Ответ:
Задание 80. При каких значениях а окружность (х - 2)2 + (у-2)2 = 1 лежит между двумя параллельными прямыми 2х + у = 2 и 2х + у =а? Решение: Прямая 2х + у = 2 и окружность (х - 2)2 + (у - 2)2 = 1 не пересекаются. Найдем те значения а, при которых прямая 2х + у = а является касательной к данной окружности.
Для этого уравнение (х - 2)2 + (а - 2 - 2х)2 = 1 должно иметь единственное решение. После раскрытия скобок приходим к квадратному уравнению 5х2 - 4(а - 1)х + а2 - 4а + 7 = 0. Так как дискриминант квадратного трехчлена должен быть равен нулю, то получаем уравнение для вычисления коэффициента а:
Ответ:
|
Полезные публикации |























































































Главная