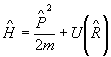
Лекции по физике за 3 семестр§1. Введение Вот то, что кончилось у нас в прошлом семестре, в исторической перспективе это физика на конец XIX и начало XX века, и эта физика стала называться классической. А вот дальше – в XX веке – появилась новая физика, не то, что новые главы, она по существу другая. И в этот семестр у нас фактически войдёт всё, что создано в ХХ веке. И тут дело не просто во временной последовательности, – важно то, что эта физика качественно другая. Проблема в том, что классическая физика оказалась не в состоянии объяснить, как устроен окружающий нас мир. Ну, кое-что, конечно, есть: паровые машины, электричество, радио – вся эта техника была создана на базе этой физики, но глубинные свойства окружающего мира (вот не то, что вы создали руками, а именно, что вот здесь вокруг) казались за пределами понимания современников. Простой пример. Теплота, молекулярная физика используют свободные атомы: вот в воздухе носятся атомы, точнее молекулы. Все тепловые явления кинетическая теория, в частности теплопроводность, теплоёмкость, прекрасно объясняет, но если копнуть глубже, то там мы сталкиваемся с вещами необъяснимыми. Молекулы воздуха сейчас сталкиваются тут всё время, число столкновений в секунду колоссальное, и что? Скажем, сталкиваются молекулы кислорода, разлетаются, сталкиваются, разлетаются, сталкиваются... И они остаются теми же самыми, а молекула – это некоторая структура, это не просто там какой-то мифически неделимый объект (именно такое понятие скрывалось за словом атом в древности, атом – неделимый) , уже ясно было, что это объект, обладающий структурой: в атоме есть электрон, позитрон, – механическая система. Почему же эти атомы сталкиваются, и всё время остаются тождественными себе, они не несут на себе никаких следов их предыдущей жизни? Факт, конечно, необъяснимый. Сталкиваются два автомобиля, и, конечно, они несут на себе следы столкновения, а если они будут сталкиваться ежесекундно, в конце концов, получится совсем не то, что было вначале, и это всё понятно, почему же на атоме не остаётся следов? Можно этот атом разбить вдребезги, но потом из этих осколков может опять слепиться этот атом, тот же самый. Это, казалось бы, находится в ведении обычной механики: существует система частиц (в атоме не так их много) . Вот, солнечная система, – механика всё это дело объясняет, но стабильность атомных структур и стабильность структур, тогда уже построенных из атомов (то, что мы видим вокруг себя стабильно в известных пределах) , не изменяющийся, устойчивый мир – это не прописано в классической физике. В классической физике параметры любой системы могут принимать любые значения, эти параметры подвластны внешним воздействиям. Есть, например, солнечная система, механику Ньютон придумал, и он же придумал формулу для силы взаимодействия, и понеслось. Функционирование этой системы было понято, можно было делать предсказания на 1000 лет вперёд, на 1000 лет назад. Например, специалисты в небесной механике могут вычислить все солнечные затмения, которые происходили 1000 лет назад, это так и делается для хроников: есть сообщения, что там было такое-то явление природы и прочее. 1 ) Вот такая система: Земля вращается вокруг Солнца на расстоянии 150 миллионов км, другие планеты имеют свои параметры орбит. Почему? А не почему – начальные условия. Когда-то это дело всё затикало. 2 ) Пролетела бы где-нибудь сравнительно близко от этой солнечной системы другая звезда, – всё бы это возмутилось: параметры орбит стали бы другими, система претерпела бы определённые пертурбации (их можно было бы рассчитать и предсказать) , мы получили бы другую систему. Атом не так! Скажем, планетарная модель атома: есть ядро, электроны, валентность, – но его свойства не меняются не то, что там где-то вблизи пролетел, а именно колоссальное число столкновений, которые происходят сейчас здесь за секунду, не меняет этих характеристик. Я ещё раз обращаю внимание, что этот факт не подпадает под юрисдикцию классической физики, нет в ней таких механизмов, которые позволили бы объяснить эту зависимость. Дальше, например, генетический код. Организм вырастает из клетки, понятно, что должен быть план, по которому организм развивается, и этот план должен иметь материальный носитель. Есть материальный носитель, скажем, молекула ДНК, гигантская молекула длиной порядка 3м, она в клетке свёртывается в спираль, это линейная конфигурация макроскопических размеров, там записан этот код. Какова должна быть стабильность записи этого кода, что на протяжении тысяч поколений информация не теряется! Все вы знакомы с носителями информации, и, конечно, есть устойчивые носители, скажем там цифровая запись, но вот более старый носитель информации – виниловые нити (в аналоговых машинах) , – информация плывёт, понятно, что нити крутятся, крутятся, крутятся, и постепенно возникают мелкие искажения, и делаются всё хуже и хуже. С генетическим кодом ничего такого не получается. Есть там крупные поломки, иногда рождаются уродцы, но это редкие случаи. Вообще-то, на протяжении тысяч поколений сохраняется этот код. Классическая физика не предусматривает никаких механизмов поддержания такой стабильности. Если вы пороетесь в памяти, любая макроскопическая система, и системы, на которых мы упражнялись и которые описываются классической физикой, обладают тем свойством, что малые внешние воздействия вызывают малые изменения параметров системы, то есть всякая система может плавно менять свои параметры, а вот такие устойчивые структуры не прописаны там. Это я клоню именно к тому, что на самом деле всё, что мы до сих пор изучали, не позволяет понять, как же всё-таки устроен окружающий мир, почему он имеет такие свойства, какие имеет. Ну, и вот то, чем мы будем заниматься в течение семестра, – изучать, как физика ответила на этот вызов, и каким образом всё-таки удалось (а это действительно удалось) понять, как устроен этот мир. И сразу скажу, между прочим, что на уровне наблюдаемых явлений в масштабах Земли и то, что сейчас творится на небе, на этом уровне физика сейчас проблем не имеет, то есть все эти наблюдаемые свойства, полученные здесь, не представляют собой загадки и исчерпывающим образом на этом уровне описываются. Есть проблемы на более фундаментальном уровне – вглубь вещества – не на уровне атомов, молекул, ядер, а ещё гораздо глубже, то есть вот поведение на таком более глубоком уровне там да есть проблемы, но тот уровень не проявляется в наблюдаемом физическом мире, тот глубинный уровень не проявляется. Он был существенен на самых ранних этапах возникновения Вселенной, и там действительно есть проблемы, которые не решены ещё, но повторяю, это проблемы на том уровне, который не влияет практически на то, что мы видим вокруг (то, что мы видим вокруг, там проблем нет, тут физическая теория практически дошла до предела) . Но так глубоко мы здесь не закопаемся, а вот устройство мира на уровне атомов, молекул, твёрдых тел, вот эти вещи мы здесь с вами разберём и поймём, в глубь элементарных частиц мы не залезем и те глубинные вещи затрагивать практически не будем. Вот такая программа действий. Так, ладно, это лирика была, а теперь перейдём к делу. §2. Взаимодействие света с веществом. Корпускулярные свойства света 1. Внешний фотоэффект 2. Эффект Комптона 3. Давление света Мы кончили тем, что свет это есть электромагнитные волны, и оптика это теория, имеющая дело с распространением электромагнитных волн. Всё нормально: там волны, интерференция дифракция – все эти типичные волновые явления. Оказалось, однако, опять, что эта картина, а именно то, что свет есть электромагнитные волны, наталкивается на непреодолимые трудности при попытке понять, как свет взаимодействует с веществом. Один аспект взаимодействия мы с вами рассматривали – рассеяние, – там нам стало понятно, почему небо синее. 1 ) На самом деле, взаимодействие света с веществом не описывается в рамках вот этого представления о свете как об электромагнитных волнах. Ну и коротко обсудим известную вам вещь – фотоэффект.
1. Внешний фотоэффект
Вот, пусть мы имеем металл. Металл это, кстати, что такое? Это твёрдое тело, внутри которого имеются свободные электроны, которые могут свободно двигаться внутри этого тела. Именно металлы это те тела, в которых есть свободные электроны; не то, что в металлах это есть, а металлы – это такие вещества. Характерные свойства металлов (блеск) это свойство того, что в нём свободные электроны. Если на металл падает свет, то из металла вылетают электроны, это экспериментальный факт, был в своё время такой опыт, и явление называется фотоэффектом. Ну, прежде всего, чтобы начать обсуждать, почему они вылетают, давайте поймём, почему они не вылетают, если они там есть. Тоже, кстати, вопрос не праздный. Что такое металл? Металлы – это такие вещества, у которых при соединении атомов в решётку отскакивают валентные электроны, остаются ионы, которые стоят в узлах решётки, и, значит, мы имеем такую структуру: ионы с положительными зарядами, а между ними электроны, и эти электроны свободно сквозят через эту решётку. Почему электрон не вылетает, никаких стенок нет? Ответ простой: как только электрон вылетел, весь кусок (до этого был нейтральным) становится положительно заряженным, и он затягивает его обратно. Вроде бы мы ответили на вопрос, но не так-то просто!
В жидкости молекулы нейтральны, между ними силы взаимодействия. Когда молекула жидкости вылетает (внутри жидкости на молекулу действуют силы во все стороны и в среднем они уравновешены) , появляются силы, которые её затягивают обратно. Поэтому мы имеем поверхность жидкости, отделяющую воду в стакане от окружающего воздуха. Но молекулы в жидкости имеют разные скорости, и мы видели в своё время распределение молекул по скоростям (или распределение по энергиям в газе) . Функция распределения имеет УхвостФ , и, в принципе, здесь сейчас в воздухе можно найти молекулу с любой энергией; молекулы в жидкости так же имеют функцию распределения с УхвостомФ , и там, в принципе, можно найти молекулу с достаточной энергией. С энергией достаточной для чего? А для того, чтобы она смогла совершить работу против сил притяжения, а эта работа заведомо конечна, и улететь. Значит, в жидкостях имеются за счёт хаотического теплового движения молекулы с энергиями большими, чем работа по преодолению сил притяжения, возникающих, когда она взлетает. Молекула, обладающая такой энергией, совершает эту работу, вылетает, при этом её кинетическая энергия убывает на какую-то величину, но всё равно она улетает. Происходит испарение жидкости, и это испарение обуславливает то, что жидкая фаза неустойчива принципиально. 1 ) Ну, понятно почему. Допустим, быстрые молекулы улетели вот из этого хвоста распределения, но хвост отрастает всё время, если температура остаётся та же самая, хвост отрастает, и поэтому, в конце концов, они испарятся все. Если теперь вернуться к вопросу о том, почему не вылетают электроны из металла, возникает такая проблема: если электроны в металле как частицы идеального газа, то среди них должны быть энергичные электроны, которые всё равно вылетят, эту работу совершат и улетят. Должно происходить непрерывное испарение электронов из металла. В чём бы это проявилось? Это
проявилось бы в том, что кусок металла имел бы положительный заряд, а это тоже проявилось бы на бытовом уровне, и можете легко сообразить в чём. На любой кусок металла налипала бы всякая мелочь, пыль, бумажки, он был бы облеплен всякой гадостью, любой кусок металла должен был бы быть облеплен пылью больше, чем соседний кусок дерева. Этого не наблюдается. Это означает, что электроны не испаряются. А это означает, что функция распределения по энергиям внутри металлов такая, как на
рис. 1.4
. Был бы УхвостФ у этой функции распределения, – электроны бы испарялись, и кусок был бы облеплен. Вот, между прочим, первое обстоятельство, которое говорит, что здесь что-то не то с нашими представлениями. Действительно, функция распределения по энергии электронов в металле имеет вид не такой, как на
рис. 1.3
, а такой. Имеется некоторая энергия
Тот факт, что металл не облеплен пылью, говорит, что нет хвоста, то, что обрыв такой резкий, из этого сказать нельзя, но где-то эта функция должна оборваться.
Если рисовать потенциальную энергию электронов в металле, то это можно изобразить так: вне металла уровень постоянный, там нет электрического поля, а внутри металла потенциальная энергия падает. Это соответствует тому, что в этой области действует сила
Полная энергия электрона это сумма потенциальной и кинетической энергии. Если я нарисую
Могут сказать, ничего удивительного нет. Свет это электромагнитная волна, она проникает в металл, в ней есть меняющееся электрическое поле, на электрон действует сила, электромагнитная волна может сообщить ему достаточную энергию, и, если ему повезёт, что с этой энергией он будет иметь направление импульса на границе металла в вакуум, то он вылетит. В этом смысле ничего удивительного нет, всё нормально. Тогда следовало бы ожидать, что чем больше интенсивность падающего света, то есть чем больше амплитуда волны, тем с большими скоростями будут вылетать электроны из металла, потому что тем большую энергию они могут получить от этой волны. И тут первая осечка – на самом деле, не влияет интенсивность света на скорости, с которыми вылетают электроны. Оказалось, что на это влияет характеристика света, совсем вроде бы не имеющая отношения к делу, а именно, частота. Скорость вылетающего электрона зависит не от падающей энергии, а от цвета. Если на металл направить синий свет, то электроны будут вылетать с большими скоростями чем, если светить красным, если светить светом с ещё меньшей длиной волны, то они вообще не будут вылетать, какая бы ни была интенсивность. Вот, это были экспериментальные факты по фотоэффекту, и на этом забуксовала вся наука, которую мы с вами до этих пор изучали. Вот первый пример, на котором споткнулась теория. 2 ) Были и другие проблемы, тоже на первый взгляд невзрачные, но не находящие решения в рамках этой самой теории, но это была очень внятная не решаемая проблема.
Для решения такого рода проблем пришлось отказаться от волновой теории и признать, что при взаимодействии с веществом свет ведёт себя как поток частиц, то есть вернуться к старым корпускулярным представлениям, которые ещё Ньютон разделял.
3
) Чем же отличаются волны и частицы? Светим на кусок металла источником монохроматического света с определённой длиной волны, например зелёным. Измеряем скорости, с которыми вылетают электроны, оказывается, эти скорости меняются в пределах от нуля до некоторой максимальной скорости. Считаем, сколько электронов вылетает в секунду. Когда мы удаляемся от источника, свет делается более тусклым, скорость, с которой вылетают электроны, не зависит от расстояния, число вылетающих электронов зависит. Взрывается бомба, идёт в воздухе ударная волна, её энергия убывает как
Если иметь в виду эту аналогию, то понятно, что свет при фотоэффекте ведёт себя как частица, как летящая пуля: как бы далеко это движение не удалялось от источника, если произошло взаимодействие, то электрон вылетит с той же самой скоростью. То есть эффект взаимодействия от расстояния не зависит; вопрос заменяет вероятность того, что свет провзаимодействует с электроном. Именно это и говорит, что при фотоэффекте свет ведёт себя не как волна, энергия которой убывает как
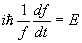
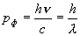
Энергия фотона связана с частотой. То, что мы в волновой теории называли частотой, а просто визуально это проявляется в цвете, эта вещь определяет энергию фотона:
Когда в квантовой механике говорят о частице, то образ объекта локализованного в пространстве и обладающего определёнными свойствами оказывается неверным. Частица – это носитель некоторых определённых свойств, например, объект с массой покоя 10 -13 кг, зарядом, равным заряду электрона, со спином Ѕ (есть такая характеристика) называется электроном и рассматривается как частица. Частица классически – локализованный объект, являющийся носителем свойств. В квантовой механике свойства остаются, носители исчезают. УАлису в стране чудесФ кто читал, знают, на дереве сидел улыбающийся кот, а потом он начал исчезать, растворяться, и исчез, и осталась одна улыбка. С понятием частицы произошло то же самое: классическая частица (кот) исчезла, растворилась, а её свойства (улыбка) остались. Вот в квантовой механике оперируем именно этими улыбками без кота, на самом деле, физике этого достаточно.
Фотон – это частица, для которой масса равна нулю, и для фотона
Фотон это частица, у которой масса равна нулю или, чтобы не было недоразумений, масса покоя равна нулю. Частица с нулевой массой обязана двигаться со скоростью света в любой системе отсчёта. Будете ли убегать от неё, всё равно её скорость равна скорости света. 2 ) 2 Имеются такие явления, для которых свет демонстрирует волновые свойства (дифракция, интерференция) , имеются явления, когда он демонстрирует корпускулярные свойства (например, фотоэффект) , возникает естественный вопрос, что же он такое на самом деле, волна или частицы? Кто был прав, Ньютон или Гюйгенс, которые придерживались на первый взгляд взаимоисключающих точек зрения? Ответ такой – вопрос, что он такое на самом деле, предполагает ответ из двух взаимоисключающих альтернатив, или он есть то, или другое, или он есть ни то и ни другое. Это означает, что свет более сложный объект, чем можно было себе представлять. Тут надо иметь в виду вот что: понятия УволнаФ и УчастицаФ это наши изделия, мы пытаемся описать мир в понятиях, которые мы придумали, удачно или неудачно. Неудачные вымирают, удачные же остаются, но надо иметь в виду, что это всегда наши понятия, и, в общем-то, они могут оказаться более сложными и не укладываться в рамки, в которые мы пытаемся их запихнуть с помощью языка. Приведём пример. Скажем, у нас два слова: мы знаем, что такое стол, и мы знаем, что такое стул. Кто-то приходит и раз – ставит табуретку, и спрашивает, что это такое. Четыре ножки, ровная поверхность – это стол, с другой стороны на ней сидят – это стул. На самом деле это не стол и не стул, а, так сказать, по потребности может быть и тем и другим. Значит, какой выход? Надо придумать специально новое слово УтабуреткаФ . Оказалось, что реальность не делится на классы понятий волны и частицы, мы дальше увидим, что положение ещё более драматично. Поскольку нового слова для такого объекта как свет ещё не придумали, приходится пользоваться такими выражениями, что в некоторых ситуациях свет ведёт себя как волна, в некоторых как частица. Важно, чтобы эти ситуации были действительно различными. 1 ) Имеется чётко ограниченный круг явлений, когда объект проявляет корпускулярные свойства, и вполне определённые ситуации, когда объект проявляет волновые свойства. 2 ) Никаких проблем нет. Конечно, должен быть соответствующий математический аппарат и математическая теория, которая позволяет давать ответы на соответствующие вопросы. Повторяю, дальше, когда мы будем рассматривать квантовую теорию, там мы будем сталкиваться с ещё более удивительными и драматическими проявлениями вот этой дилеммы волна – частица. Закончим рассмотрение фотоэффекта. Напомню, на металл падает свет, из металла вылетают электроны, тогда это иллюстрируется такой энергетической диаграммой ( рис. 1.5 ) .
Если в металл проникает фотон,
3
) имеющий энергию
Это знаменитая формула Эйнштейна. Эйнштейн в 1921 году получил Нобелевскую премию за это, не за теорию относительности, а вот за эту вещь, которую теперь может написать любой школьник. Казалось бы за что премия? Вот за то, что надо было осознать, что свет может представляться как поток частиц, корпускул, отказаться от господствующей точки зрения.
Видно, что если энергия фотона меньше работы выхода, электрон её поглотил, подскочил и всё равно из ямы не выскочил, фотоэффект не происходит. Если металл освещать светом с частотами меньше, чем
Куда деваются электроны, когда их выбивают фотоны? Имеем кусок металла, светим на него из фонаря, из металла вылетают электроны, сколько их вылетает и до каких пор они будут вылетать? Когда какое-то количество
электронов вылетело и ушло на бесконечность (если у нас один шар на свете и больше ничего нет) , то, металл приобретёт положительный заряд, и, в конце концов, этот заряд станет настолько большим, что максимальной кинетической энергии, с которой вылетает электрон, не хватит, чтобы уйти на бесконечность. Что тогда будет происходить? Электрон вылетел и летит обратно. Это означает, что всякий кусок металла при освещении должен иметь некоторый положительный заряд, и он окружён облаком электронов, которые вылетают и затягиваются обратно.
2. Эффект Комптона
Это в своё время был решающий эксперимент, который должен был подтвердить вот эту корпускулярную теорию, что свет при взаимодействии с веществом проявляются корпускулярные свойства. Речь идёт о рассеивании света на электронах. Мы уже обсуждали рассеивание света (почему небо синее) , электрон колеблется в поле падающей волны с частотой волны, излучает вторичные волны с той же частотой, и они представляют рассеянный свет. Это, кстати, взаимодействие света с веществом, оно должно подпадать вот под эту корпускулярную теорию. По корпускулярной теории рассеивание происходит иначе.
Мы имеем электрон, на электрон налетает фотон, обладающий определённой энергией и импульсом. Происходит столкновение, нельзя фотон уподоблять бильярдному шару, и электрон нельзя уподоблять шару, они как-то взаимодействуют и разлетаются. Мы имели неподвижный электрон и фотон, конечная ситуация: электрон вылетает из этой области взаимодействия и фотон, но поскольку электрон имеет какую-то энергию, то энергия фотона должна быть меньше исходной:
Энергия до столкновения это энергия фотона
От угла
И здесь сразу можно усмотреть, почему неправильная была предъявлена теория УПочему небо синее?Ф , вам на экзамене её приходилось отвечать, почему она, тем не менее, могла быть? По корпускулярной теории частота рассеянного света должна быть меньше частоты падающего, а по волновой они одинаковы. Видно, что, если
3. Давление света В рамках корпускулярных представлений задача о давлении света элементарно решается, хотя из волновой теории следует, что свет должен оказывать давление при падении на поглощающий или отражающий экран.
Когда световая волна падает на поверхность металла, то напряжённость электрического поля
Имеется мишень, поток частиц, которые застревают в этой мишени. Эти частицы несут с собой импульс, а сила это изменение импульса частиц, пересекающих данную площадку за единицу времени, это изменение импульса легко сосчитать.
Пусть у нас имеется поток света с интенсивностью
Сила давления мала или велика? Для обычной интенсивности света (лампочка 40 Вт) , можете легко определить силу света на заданном расстоянии, это величина порядка 1Па. Это не значит, что вообще давление света мало. Плотность энергии в лазерном луче достигает сотен атмосфер, лазерный луч пробивает железную стену, не проплавляет, а пробивает. В принципе, можно поставить на тележку радиопередатчик с направленной антенной, чтобы он излучал только в одну сторону, – появится реактивная сила. В своё время (в 60-х годах) модно было рассуждать о межзвёздных перелётах. Фотонные ракеты, кстати, единственный более-менее реальный способ межзвёздных перелётов. На обычном топливе достичь околосветовых скоростей невозможно. Идея была такая: на ракете имеется запас вещества и антивещества, потом электроны с позитронами аннигилируют, и всё это превращается в энергию излучения. Это единственный на сегодняшний день реальный способ, хотя тоже фантастический. Кинетическая энергия равна:
1. Абсолютно чёрное тело 2. Закон Кирхгофа 3. Закон Вина 4. Закон Стефана-Больцмана Все тела при температуре выше абсолютного нуля излучают электромагнитные волны. Этот кусок мела, я, вы, полы, тут всё излучает электромагнитные волны. Это излучение называется тепловым излучением . Механизм излучения простой: в конечном итоге все тела состоят из заряженных частиц, которые при температуре выше абсолютного нуля находятся в состоянии хаотического движения, а дёргающийся заряд излучает электромагнитные волны. 2)
Тепловое излучение – следствие хаотического движения заряженных частиц, а оно происходит во всём диапазоне. Это означает, что длины волн при тепловом излучении меняются так:
Имеется другая важная характеристика –
монохроматическая поглощательная способность
, определяется так:
Для идеального зеркала, которое отражает всё падающее излучение на всех длинах волн,
3 Мы остановились на том, что абсолютно чёрное тело это тело, для которого
Для света нет материальных объектов абсолютно прозрачных, а вот для нейтрино, например, практически всё абсолютно прозрачно. 1)
Есть природный объект, чёрная дыра, который является чёрным в этом смысле: всё, что на дыру падает извне, и вещество, и излучение, падает туда совершенно необратимо и безысходно. 2) Но не надо таких экзотических объектов, чтобы реализовать абсолютно чёрное тело. Полость с маленькой дыркой даёт возможность реализовать абсолютно чёрное тело, а именно, вот эта поверхность дырки в полости ведёт себя как абсолютно чёрное тело по понятной причине: сюда заходит какое-то излучение, дальше оно испытывает там многократное отражение и выйдет обратно ничтожная часть того, что туда зашло, потому что при каждом взаимодействии со стенкой излучение поглощается. Окно в доме чёрное (без стекла, застеклённые окна отражают) , если оно маленькое и помещение там большое. Так что абсолютно чёрное тело реализуемо.
2. Закон Кирхгофа Можно установить один замечательный и неочевидный закон, связывающий излучательную и поглощательную способности тела. Полость, стенки которой поддерживаются при температуре T , значит, эта полость заполнена электромагнитным излучением (понятно, что стенки излучают) и находится в равновесии со стенками. Важное обстоятельство: спектральный состав равновесного излучения в полости не зависит от того, как устроены стенки этой полости. 3) Более наглядно тут можно такой привести пример. Скажем, имеем полость зеркальную, стенки которой отражают всё падающее на них излучение, не меняя спектрального состава. Запустим туда световой луч, например, красного цвета и захлопнем дверцу. Он там начнёт метаться, и, конечно, вся эта полость будет заполнена красным светом. А теперь представьте следующее: этот ящик заполнен красным светом, и мы туда кинем маленькую пылинку, что будет происходить? Эта пылинка начнёт нагреваться и переизлучать, она поглощает монохроматический свет с определённой длиной волны, а излучает УкашуФ (она излучает во всём спектре) . В конце концов, процесс размазывания энергии по частотам завершится, и мы получим равновесное излучение, которое в дальнейшем не меняется, и его спектральный состав не зависит от того, какая там была пылинка.
Есть универсальная функция, мы её обозначим
А теперь мы хотим получить закон Кирхгофа. Рассмотрим в полости площадку величиной
Мы теперь можем осознать, что представляет собой эта функция
3. Закон Вина
Мы уже видели, что маленькая дырка в полости моделирует абсолютно чёрное тело, а полость заполнена равновесным излучением, тогда излучение, выходящее из этой дырки и есть излучение чёрного тела.
1)
Я уже говорил, что получить для произвольного тела теоретически монохроматическую излучательную способность, то есть спектральную плотность вот этого стола, например, невозможно, реальные тела устроены очень сложно, чтобы теория там могла работать, а получить теоретически функцию
Мы её получим дальше, а сейчас я просто приведу её вид.
Температура
T
2
больше
T
1
, с ростом температуры эта функция растёт (на всех длинах волн излучение увеличивается) , но максимум съезжает в область коротких волн.
3)
Длина волны
λ
max
очень просто зависит от температуры: закон Вина
При повышении температуры длина волны, на которую приходится максимум, смещается. 4) 4. Закон Стефана-Больцмана
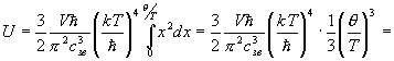
И последнее – закон Стефана-Больцмана:
полная энергия излучения пропорциональна четвёртой степени температуры
, то есть
По размерности
Из всего сказанного ясно, что абсолютно чёрное тело при данной температуре излучает больше любого тела . Выгоды от научного знания. Если, например, вы перемещаетесь жарким днём по открытому солнечному месту, то выгодно заворачиваться в белую простыню для того, чтобы увеличить отражательную способность и уменьшить поголощательную. А если вы в жару сидите в тени, не на солнечном свете, то выгодно заворачиваться в чёрную простыню для того, чтобы увеличить мощность своего излучения, потому что, чем объект чернее, тем больше при данной температуре излучает.
Элементы квантовой механики 1. Волновая функция Я уже упоминал, что строение вещества, поведение систем на атомарном уровне классическая механика оказалась бессильной описать, то есть свойства систем атомарных масштабов не вписываются в правила игры классической механики и классической физики. Оказалось, что всё потому, просто, что исходные представления классической механики оказываются неприменимы в этом случае. И самое главное, что вообще исходное базовое понятие классической механики УчастицаФ , локализованный в пространстве объект, движущийся по определённой траектории с определённой скоростью, это исходное представление оказалось неприменимо. Хотя, употребляются слова Участица электрон летитФ , но картину электрон, который летит по определённой траектории, в каждой точке с определённой скоростью, выкиньте из головы, весь этот образ совершенно не работает, и мыв увидим, почему. 1 ) Классическая механика неприменима в этой области. §4. Волновые свойства частиц Проведём мысленный эксперимент. Пусть у нас имеется экран, в экране щель, на эту щель падает поток частиц (для определённости электронов) , 2 ) на пути этого пучка ставим непрозрачный экран со щелью, а за ним ставим другой экран, на котором регистрируются попадания электронов. 3 ) Если пучок достаточной интенсивности, то мы будем наблюдать вот такое распределение интенсивности свечения ( рис. 1. а ) . Если электроны пускать поштучно, наберём статистику, получим вот такое распределение, пока всё нормально. А дальше мы делаем вот что: ставим две щели, что надо ожидать? От одной щели получаем такое распределение, от другой тоже, они накладываются, и ожидаемая картина такая ( рис. 1. b ) .
На самом деле, ничего подобного. Если мы поставим две щели, ожидаемая картина рис. 1. b , а на самом деле мы получим вот такую картину распределения от двух щелей ( рис. 1. с ) . Что тут удивительного? А удивительно вот что: в эту точку 1 ) от одной открытой щели они попадают, если её закрыть, другую оставить, от другой они сюда тоже попадают, открываем две щели – не попадают. От каждой попадают, от двух щелей не попадают, это, конечно, уже удивительное обстоятельство. Можно подумать, что эти пучки электронов от двух щелей как-то хитро взаимодействуют друг с другом и дают такое диковатое распределение. Можно проверить взаимодействуют или нет: пучок электронов можно сделать очень слабым, ну, поштучно пропускать (один пустили и ждём, другой пустили и ждёмЕ) , тогда мы будем регистрировать на экране одиночные акты попадания (тут выпала точка, тут выпала точкаЕ) . Будет следующее: если они летят поштучно при открытой верхней щели, а нижней закрытой, мы получим, наберя статистику, вот такое распределение ( рис. 1. a ) , закроем верхнюю щель, откроем нижнюю, получим такое же распределение, откроем обе щели – опять такое ( рис. 1. с ) . Он летит один, – если открыты две щели, он сюда ( см . примечание 1) никогда не попадёт, открыта одна щель, он сюда попадёт. Тогда спрашивается, откуда он, подлец, знает, что делается со второй щелью, открыта она или закрыта она, или он проходит одновременно через две щели, раздваивается? Тоже можно проверить, как проверить? В принципе, можно наблюдать прохождение частицы через щель (грубо говоря, в микроскоп) . Посадим двух наблюдателей, начнём поштучно пропускать электроны, тогда, если один наблюдатель кричит УестьФ , то другой молчит, у него нет, – электрон не раздваивается. Опять встаёт тот же вопрос, откуда он знает о второй щели? И ответ такой: вопрос снимается сам собой! Если мы здесь поставим этих соглядатаев, которые фиксируют прохождение электронов либо здесь, либо здесь, вот эта вся картина ( рис. 1. c ) разрушается, получается вот такая ( рис. 1. b ) . Вот таково поведение частиц, и именно вот это поведение выражается словами частицы обладают волновыми свойствами . Почему волновыми? Да, потому что это типичная картина интерференции от двух щелей. Если мы имеем две щели, то мы должны считать, что на эти щели падает волна, получается вот такая интерференционная картина (это только, если мы имеем две щели и никаких микроскопов, никаких соглядатаев, которые ловят эту частицу на месте преступления) . Если мы имеем две щели с микроскопами, частица ведёт себя как частица и никакой интерференции не происходит. Это резюмируем так, что в определённых ситуациях частицы проявляют волновые свойства, то есть демонстрируют вот такую интерференционную картину, в других определённых ситуациях они ведут себя как нормальные частицы . Ну и тогда понятно, куда же тут соваться нам с классической механикой? Никакой интерференции, конечно, классическая механика не предусматривает. Тот факт, что открыты две щели или открыта одна щель влияет на распределение частиц на экране, говорит о том, что понятие траектории неприменимо, потому что, когда идёт такое распределение, нельзя приписать электрону определённую траекторию. Потому что траектория должна была бы проходить либо здесь, либо здесь, она не может пройти одновременно через две щели, а он ведёт себя так, как будто он знает про вторую щель. Значит, понятие траектории не применимо, ну и соответственно рушится тогда вообще вся схема, которую мы изучали (классическая механика) . Для описания поведения частицы в атомарных масштабах пришлось создать совершенно другую науку. В начале девятисотых годов начало появляться такое неуютное ощущение, что с физикой что-то не в порядке, она не справляется с проблемами, и вот за четверть века всё это было решено. 1. Волновая функция Вот теперь мы начнём рассматривать, как были решены эти проблемы. Теперь вы можете забыть всю классическую механику. Многим из вас, даже очень многим из вас, это будет не легко, помню, как многие из вас на зачёте по механике мучились. Выкиньте всё это из головы и забудьте как страшный сон, у вас впереди новое, похуже классической механики. Опять вы будете мучиться, но то вы можете забыть. Состояние частицы в классической механике задаётся радиус-вектором и импульсом. Что означает задать состояние? Это означает на столько охарактеризовать объект, чтобы дальше соответствующий раздел науки мог предсказать, как этот объект будет развиваться. Понятно, что смысл этих слов в различных разделах физики различен. Вот, мы недавно электричество рассматривали, что значит дать исчерпывающее описание объекта с точки зрения электричества? Надо дать распределение плотности заряда и плотности тока. Что значит задать состояние объекта с точки зрения теоретической механики? Это значит задать распределение масс, то есть плотность обычную, и напряжения. В квантовой механике мы не можем задать вот эти переменные.
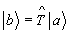
Состояние частицы в квантовой механике задаётся волновой функцией
Волновая функция содержит исчерпывающую информацию о состоянии частицы, то есть она позволяет дать ответы на все разумные вопросы относительно характеристик частицы. Слово УразумныеФ я употребил тут не ради красного словца, а со смыслом. Дело в том, что те вопросы, которые в рамках классической механике выглядят и являются разумными, не являются разумными в квантовой механике. Ну, сейчас проиллюстрируем это дело.
Волновая функция
имеет такой смысл: это прежде всего комплексная функция, и
Это надо прокомментировать. Скажем, вопрос, где находится частица, является неразумным, на него не может быть дан ответ, потому что само понятие частица находится в какой-то точке оказывается лишённым смысла. Вот, молекулы воздуха тут летают, тоже вводится вероятностное описание (просто мы не можем уследить за каждой из этих молекул) , мы знаем, что она где-то есть, но мы не знаем где она. Поставим ящик, мы можем рассчитать вероятность того, что она находится в ящике. Там вероятность это мера нашего незнания, в квантовой механике эта вероятность чисто реальная: пока мы частицу не обнаружили, она потенциально находится всюду, не то, что она где-то есть, а мы не знаем где, само представление, что она где-то есть, лишено смысла. Она потенциально находится всюду, где волновая функция отлична от нуля. А когда мы локализуем это (экран поставили, там электроны обнаруживаются) , вот только в этом акте измерения это потенциальное нахождение всюду оно актуализируется. Есть разница в представлениях, что она где-то есть и мы не знаем где, и тем, что она потенциально всюду, пока мы её не поймали в этой точке. Ещё раз повторю, все фундаментальные законы носят вероятностный характер .
5 В прошлый раз мы остановились на обсуждении волновой функции и на такой формуле:
§5. Уравнение Шрёдингера 1. Решение уравнения Шрёдингера для свободной частицы 2. Длина волны Дебройля (де Бройля) 3. Волновые пакеты. Соотношения неопределённостей 4. Расплывание волновых пакетов 5. Стационарные состояния 6. Прохождение частицы через потенциальный барьер. Туннельный эффект 7. Связанные состояния. Частица в ящике
Волновая функция описывает состояние, состояние любого физического объекта как-то эволюционирует во времени, и должно быть уравнение, которое будет описывать изменение со временем волновой функции, а ещё состояние объекта изменяется в зависимости от окружающей среды, значит, должно быть уравнение, описывающее изменение состояния в заданной обстановке. Кстати, в классической механике это что за уравнение? Второй закон Ньютона. Уравнение Шрёдингера должно играть здесь ту роль, которую закон Ньютона в классической механике. Понятно, что, если состояние задаётся такой функцией, прилепить сюда Второй закон Ньютона невозможно – он оперирует координатами, ускорениями, а у нас ничего такого нет. Вот уравнение Шрёдингера (
нерелятивистское
) играет роль Второго закона Ньютона и выглядит так:
Откуда оно взялось? Ну, это интересный вопрос, как Шрёдингер додумался до этого уравнения, но он не имеет отношения к делу. В теории исходные уравнения постулируются, нет никаких классических способов доказать справедливость уравнений, справедливость или несправедливость определяется тем, работает ли математическая теория, построенная на базе этих уравнений. 1 ) Это уравнение подтверждается тем, что теория, построенная на базе этого уравнения работает и даёт правильные предсказания для всех ситуаций, где она применима. 1. Решение уравнения Шрёдингера для свободной частицы Смысл этого уравнения, как и уравнений Максвелла, мы будем усматривать из некоторых конкретных ситуаций. Когда мы переберём все возможные ситуации, тогда мы и осознаем смысл уравнения, другого понятия смысла и быть не может.
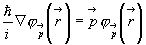
Свободная частица – это простейший объект в классической механике и, соответственно, простейший объект в квантовой механике. Что такое свободная частица? Это частица, на которую не действуют никакие силы. Как узнать, действуют или не действуют? Возникает наглядное представление о свободной частице: на всём белом свете есть одна частица и всё, удалили всю вселенную, тут заведомо на неё никто не действует, потому что, просто, больше никого нет. Если свободная частица подчиняется законам классической механики, то в любой инерциальной системе она либо неподвижна, либо движется с постоянной скоростью. Теперь этот объект мы будем рассматривать в рамках этого уравнения. Слова Усвободная частицаФ означают, что
Значит, функция
Теперь, конечно, хочется взглянуть на волновую функцию на базе тех наших смутных знаний о ней. Мы знаем, что
Математический факт такой, что беря суперпозицию этих функций со всевозможными частотами и волновыми векторами, мы можем получить все решения уравнения Шрёдингера для свободной частицы. Общее решение уравнения Шрёдингера для свободной частицы представляется в виде суперпозиции функций вида (
3
) :
Мы написали общее решение уравнения. Вы, конечно, должны были удивиться: функция (
3
) есть решение волнового уравнения, которое выглядит так:
2. Длина волны Дебройля (де Бройля) 1 )
Мы сейчас можем понять тот эксперимент с частицами, который наблюдали в прошлый раз. Пусть у нас имеется пучок частиц с определённым импульсом, такой пучок частиц описывается функцией (
3
) это плоская волна, значит, мы устроим пучок частиц с определённым импульсом, частица с определённым импульсом описывается волновой функцией. Эта волна падает на экран со щелями, дальше из этих щелей выходит сферическая волна, и на экране эти волны интерферируют. Если из верхней щели идёт волна
Какой длиной волны характеризуются эти функции? Число
Дебройль ещё до всей этой науки выдвинул гипотезу о том, что частице надо приписывать волновые свойства, которые характеризуются вот такой длиной волны. Наводящие соображения – это поведение фотонов (фотоны к тому времени были известны) : импульс фотона равняется
Амплитуда не наблюдаема, фаза наблюдаема, и именно фаза определяет интерференционнный результат. Если частицы проходят через две щели и мы не можем сказать, через какую щель проходят частицы, то в точке A складываются амплитуды, если мы здесь поставим микроскопы, то в точке A складываются вероятности . Это правило вводит в рамки теории тот удивительный факт, что, когда мы ставим микроскопы, то нарушается интерференционная картина. Даже можно понять, почему нарушается. Когда мы пытаемся пронаблюдать частицу в щели, а наблюдение это всегда проявляется во взаимодействии, 1 ) надо по крайней мере идти с фонарём, чтобы её осветить, при чём осветить светом с достаточно малой длиной волны. 2 ) Если мы хотим её фиксировать в пределах щели, то длина волны должна быть не больше, чем ширина щели. Это означает, что частота должна быть достаточно велика, а это означает, что импульс фотона достаточно большой (по крайней мере, один фотон должен рассеяться на частице и попасть нам в глаз через микроскоп) , и когда этот фотон взаимодействует с частицей, то он, конечно, меняет её состояние. А к чему это приводит с точки зрения волновой картины? Когда мы электрон наблюдаем, то взаимодействие приводит к тому, что фаза волны в этой точке хаотически меняется и волны, идущие от этих щелей, перестают быть когерентными, а когда они перестают быть когерентными, то интерференционные члены дают в среднем ноль. Вот как решается эта задача со щелями.
Ну, и, наконец, последний вопрос – являются ли волновые свойства свойствами какого-то специального сорта частиц (электронов или частиц атомных масштабов) ? Ответ – нет, волновые свойства присущи всем частицам. Почему же тогда классическая механика существует и мы никогда не наблюдали интерференционные явления, связанные с пулями или падающими камнями? Ответ – длина волны очень мала:
3. Волновые пакеты. Соотношения неопределённостей
Монохроматическая волна – такая синусоида бесконечной длины – это, конечно, чистая абстракция. Нигде никогда таких волн не бывает. Реальная волна это такая вещь:
1
) Беря суперпозицию синусоидальных волн, мало отличающихся друг от друга по частотам
Синусоидальная волна имеет скорость, называемую фазовой,
6 Мы видели, что решением уравнения Шрёдингера для свободной частицы является функция
Строго монохроматическая волна – это состояние экзотическое. Таких волн в природе нет. Дальше математический факт: общее решение уравнения Шрёдингера для свободной частицы может быть получено суперпозицией таких решений. Из теории рядов Фурье известно, что, беря суперпозицию таких синусоидальных функций, можно построить функцию отличную от нуля лишь в ограниченной области пространства и равную нулю во всём остальном пространстве, так называемый волновой пакет.
Пусть вдоль оси
x
идёт такой пакет пространственной протяжённости Δ
x
и ограниченный во времени. Если частица находится в состоянии такой волновой функции (вероятность обнаружения частицы отлична от нуля где-то только в пределах этого пакета) , то мы видели, что этот пакет движется с групповой скоростью
Факт математический: если мы хотим построить функцию отличную от нуля в интервале Δ
x
, то мы должны суммировать экспоненты с различными числами
k
, но отношение
Интерпретация такая: Δ
x
– неопределённость в
x
-ой координате,
Эти соотношения, так сказать, фирменный знак квантовой механики, вот, формула
4. Расплывание волновых пакетов
Предположим, что мы создали такое состояние частицы, когда она локализована в ограниченной области пространства, то есть соорудили в начальный момент времени волновой пакет, длина которого Δ
x
0
(мы знаем, что частица где-то здесь в окрестности какого-то значения
x
) . Фазовая скорость волн, из которых построен пакет равна
Разброс в импульсе
Во-первых, как получается след в камере Вильсона? В чистом небе высоко где-то летит самолёт, которого почти не видно, и за ним тянется ровный белый след – рисуется его траектория. Тот же механизм и в камере Вильсона. Там на этих высотах чистая атмосфера и водяной пар, переохлаждённый водяной пар (на высоте 10000 м температура порядка –40 о С) . Водяной пар при таких температурах должен был бы конденсироваться, но для конденсации нужны конденсаты. 1 ) Летит самолёт, выбрасываются частицы (сгорает топливо в двигателе) , они становятся центрами конденсации и на них высаживаются капли воды, и мы получаем такую белую полосу. Камера Вильсона действует таким же образом. Под поршнем, скажем, пар, и внезапно поршень выдвигают, начинается адиабатическое охлаждение. Пар переводится в состояние охлаждённого пара, в этот момент залетает частица, она производит ионизацию атомов в воздухе, эти ионизированные атомы делаются конденсатами, на них высаживаются капли воды, мы получаем видимый след. А теперь, как это связано с теорией?
Вот у вас летит электрон это волновой пакет. Я рисую гребни волн. В точке 1 произошла ионизация, и мы получили здесь каплю воды. Волновая функция скукожилась сразу в окрестности этой точки, но этот пакет обладает импульсом, он продолжает двигаться в том же направлении, эта волновая функция снова расплывается. Следующая конденсация произошла в точке 2 , и так далее. На самом деле, толщина этого следа по атомным масштабам очень велика. Действительно, каждая капля, которая образуется (это измерение координаты электрона) , ложится хаотично в пространстве, но все капли укладываются в след, толщина которого много больше длины волны. Они хаотически обнаруживаются в разных точках в пределах волнового пакета, ну а для нас это выглядит как такая траектория. Если бы мы были сами атомных масштабов и сидели там внутри, то мы видели бы, что он тут вспыхнул, потом он там вспыхнул, и никакой траектории мы тогда б не увидели. Таким образом вся эта картина увязывается со следами в камере Вильсона.
5. Стационарные состояния
Мы нашли одно специальное решение в виде плоской волны, сейчас мы найдём ещё один класс специальных решений для уравнения Шрёдингера
Волновая функция это функция координат и времени, мы хотим найти функции такого типа, чтоб были разделены временная и пространственная переменные. 1 ) Пока чисто математическая проблема.
Сразу получаем, что
Это математический факт, какая физика за этим стоит? А физика такая – функция вида (
9
) описывает стационарное состояние частицы с энергией
E
. Стационарное означает, вообще-то, независящее от времени, а почему оно не зависит от времени, когда в (
9
) время явно сидит? Ещё раз напомню, сама волновая функция не имеет физического смысла, но физический смысл имеет квадрат её модуля, а
Функция
Как только обнаружилось, что в атоме есть ядро, то сразу родилась планетарная модель атома: положительное ядро и электроны, вращающиеся по орбитам, как планеты вокруг солнца. В эту модель сразу занеслось противоречие, потому что электроны, вращающиеся вокруг ядра, должны излучать электромагнитные волны за счёт своей энергии, – он очень быстро должен был бы свалиться на ядро. 1 ) Мы сейчас видим, какова будет разгадка этой загадки.
Если электрон в атоме находится в стационарном состоянии, которое описывается функцией (
9
) , то это застывшая картина, нет никакого движения заряда,
Вот таким образом решается проблема с электроном в атоме. Я ещё раз говорю, что этот образ электронов, вращающихся, как планеты вокруг солнца, вокруг ядра, который в классической физике присутствует, не имеет отношения к действительности.
Кстати, волновая функция
6. Прохождение частицы через потенциальный барьер. Туннельный эффект
Мы нашли одно частное решение для свободной частицы, когда не было потенциальной энергии, рассмотрим сейчас задачу чуть более сложную. Пусть потенциальная энергия имеет вид
Физика такая: в области x<0 сила, действующая на частицу, ноль, при x>0 сила, действующая на частицу тоже ноль (потенциальная энергия постоянна) , но зато в окрестности нуля действует сила
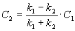
Наглядно: вот стоит абсолютно твёрдая стенка, абсолютная твёрдость означает, что при столкновении со стенкой отбрасывающая сила бесконечно велика, но тем не менее стенка пробиваема: если налетающая частица имеет кинетическую энергию больше некоторой, то она эту стенку пробивает. Работа по преодолению этой силы тем не менее конечна. Это будет изображаться таким потенциальным барьером. Реально это можно реализовать для электронов. Имеем две металлические стенки, к этим стенкам приложена разность потенциалов. Электрон попадает в область электрического поля между стенками и испытывает силу, выталкивающую его обратно. Теперь, выдерживая постоянное напряжение, будем сближать эти стенки. Напряжённость электрического поля стремится к бесконечности, но работа по пробиванию этого конденсатора остаётся конечной. Этот барьер для электронов будет реализован вот таким образом.
А теперь мы будем рассматривать стационарное состояние. Высота барьера
U
0
, пишем уравнение Шрёдингера для стационарных состояний:
Уравнение в области
Мы рассматриваем первый случай, когда энергия частицы больше, чем напряжение в цепи:
Вот электроны, летящие с кинетической энергией, входят в область электрического поля, которое оказывает тормозящую силу, но их энергия больше, чем работа по преодолению этого поля. По классическим понятиям все электроны проходят этот конденсатор и дальше идут с меньшей энергией, здесь мы получаем, что существует отличная от нуля вероятность (тем больше, чем больше C 2 ) , что электрон отразится от этого поля и полетит обратно, при чём с той же энергией, с которой он летел. Чтобы драматизировать пример: ставим абсолютно твёрдое, но непробиваемое стекло, и вы стреляете в него из пулемёта. Нормальные пули стекло пробивают, но по правилам игры, которые мы тут обнаруживаем, есть отличная от нуля вероятность, что пуля отразится всё-таки от стекла и попадёт стрелку в лоб.
7
Мы рассматривали прохождение частицы через потенциальный барьер. Мы нашли решение для этой ситуации в случае, когда
x<
0 и когда
А теперь второй случай:
Опять имеем четыре константы, и условия для сшивки (
8.3
) и (
8.4
) . Константу
C
1
мы считаем заданной (это мера интенсивности налетающего пучка) ,
То есть вероятность обнаружить частицу в классически запрещённой области отлична от нуля, – она экспоненциально затухает, но, все-таки, частица внедряется в эту запрещённую область. Частица уходит назад (интенсивность отражённого пучка такая же как интенсивность падающего, всё, что упало, всё отразилось) , но то, что волновая функция не сразу обращается в ноль, физически проявляется в эффекте очень неожиданном на первый взгляд.
Туннельный эффект
Не будем решать эту задачу, она решается, но, просто, алгебра здесь длинная. Рассмотрим барьер конечной ширины – вот такую потенциальную энергию U ( x ) (рис. 6.6, а ) . Физически как реализовать эту ситуацию? Для электрона, поставив два конденсатора (рис. 6.5) . С точки зрения здравого смысла и классической механики что будет? Электрон летит, если его энергии достаточно, чтобы пробить конденсатор, то он через него пройдёт, долетит до следующего конденсатора, ускорится, вылетит и будет двигаться дальше с той же скоростью, с которой он подлетал. Если же у него энергии недостаточно, чтобы пробить первый конденсатор, то он сюда забурился, остановился, и его выбросило обратно, и он улетел, а что там дальше подставлять (человека поставить флажком махать или ещё что-нибудь) ему всё равно, он туда не долетает.
А вот в квантовой механике будет иначе. Качественно ситуация выглядит так. За барьером мы получаем волну с той же длиной. Качественно довольно очевидно, ну а формально можно получить всё это, только в два раза больше сил потребуется, чем для ступеньки, поскольку больше граничных условий. Это означает, что, если энергия частицы меньше высоты барьера, то существует тем не менее отличная от нуля вероятность, что она пролетит, то есть, когда вы ставите для электрона конденсатор с тормозящим полем, через него электрон заведомо не проходит, но если вы дальше поставите конденсатор с ускоряющим полем, то он пройдёт. Чем дальше будет второй конденсатор, тем больше ширина потенциального барьера, тем меньше вероятность. Конечно, ситуация удивительная, чтобы её перевести на житейский язык, так скажем. Человек не прыгнет на 3м, чемпионы сейчас на 2.30 прыгают, но на 3м не прыгнут, даже я берусь спорить, что никогда не прыгнут. 1 ) Теперь в чистом поле роем яму глубиной 3м и туда человека скинули. Он там может прыгать, но из ямы не выскочит. Другая ситуация: на ровном месте окружаем его стеной высотой 3м (барьер конечной ширины) , тогда, если он будет прыгать достаточно долго и упорно, окажется, что он из ямы не выпрыгнет (ступенька потенциальная) , а стену может преодолеть. Можно сказать, что нет вероятности выскочить из ямы глубиной 3м, но есть отличая от нуля вероятность перепрыгнуть трёхметровую стену. 2 ) Конечно, на макроскопическом уровне это (преодоление трёхметровой стены) выглядит как чудо, а в атомных масштабах это заурядная вещь. Вот использование электричества в быту связано радикальным образом с туннельным эффектом: всякий проводник покрыт тонкой непроводящей плёнкой, когда два проводника они разделены непроводящей плёнкой, электроны преодолевают эту плёнку за счёт туннельного эффекта. 3 ) Вот так всё на благо человечества устроено.
Ещё один пример. Мы обсуждали фотоэффект. Электрон в металле сидит в потенциальной яме, и он не выскакивает, потому что имеет перед собой потенциальную ступеньку. А если мы за металлом убавим потенциальную энергию как на рис. 6.7 , а это можно сделать (см. рис. 6.8 ) , электрон в металле этого поля не чувствует, но он имеет перед собой барьер конечной ширины, а это означает, что имеется отличная от нуля вероятность, что он выскочит из металла. Это известный эффект, он называется эффектом В. Шотки, – если вы к куску металла приложите электрическое поле (оно всегда перпендикулярно к эквипотенциальной поверхности металла) такое, что для выскочившего электрона оно будет ускоряющим, то электроны начнут вылетать из металла.
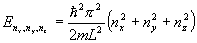
7. Связанные состояния. Частица в ящике
Если частица локализована в ограниченной области пространства, то говорят, что она находится в связанном состоянии.
1
) Например, две частицы внутри вот этого куска мела находятся в связанном состоянии (они заперты в объёме этого куска) , электроны в атоме так же находятся в связанном состоянии. Почему эти состояния важны? А вот потому, что энергия частицы в связанном состоянии может принимать лишь определённые значения
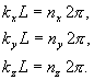
Частица в ящике Мы сейчас смоделируем самое простое связанное состояние. Какое можно придумать самое простое связанное состояние? А вот такое – имеем ящик с абсолютно непробиваемыми стенками, с дверцей. Кинули туда частицу и дверцу захлопнули. 1 ) Как это дело задать теперь математически? Потенциальная энергия в ящике равна нулю, вне ящика потенциальная энергия бесконечно велика, именно это и означает, что стенки ящика абсолютно непробиваемы (самый радикальный вариант связанного состояния) . Дальше математика.
Мы рассматриваем стационарное состояние, волновая функция
Из того, что стенки ящика абсолютно непробиваемы следует, что частица вне ящика не может находиться, мы тогда пишем сразу
Это уравнение в частных производных. Будем искать решение в виде
Тогда
Первое слагаемое зависит только от
x
, а второе только от
y
, а третье только от
z
, и утверждается, что в сумме они равны константе. Тогда всё это дело разбивается на такие уравнения:
И окончательно результат такой:
состояние частицы в ящике задаётся тремя целыми числами, которым соответствует функция
(
10
) ,
и этому состоянию соответствует энергия
8 Продолжаем ту же тему. Если ящик кубический, то формулка для энергии делается симпатичнее:
§6 Постулаты квантовой механики 1. Векторы и операторы 2. Постулаты квантовой механики 3. Операторы динамических переменных. Координатное представление 4. Оператор энергии 5. Оператор импульса 6. Момент импульса (собственные векторы, собственные значения) 7. Спин. Мы с вами обсудили некоторые аспекты физики систем атомных масштабов, волновые свойства частиц, квантование энергии, туннельный эффектЕ Это всё были отдельные фрагменты, не связанные более-менее друг с другом, это ситуация на заре создания теории, когда обнаружилась длина волны де Бройля, интерференция. И многого мы вообще не знаем, например, знаем волновую функцию, а что мы получим при измерении импульса? Мы ещё не умеем отвечать на такие вопросы. Сейчас мы обсудим как устроена окончательная теория. От первой модели атома Бора и до окончательной формулировки теории прошло 10-12 лет, 1 ) и мы сейчас обсудим, как вообще строится вся эта теория. Если сравнивать с классической механикой, раз нет траектории, скоростей, ускорений, сил, то понятно, что математическая структура должна быть другой. 2 ) Можете сейчас забыть про классическую механику, можете даже забыть то, что мы до сих пор тут обсуждали, и сейчас мы снова будем смотреть незамутнённым взглядом на новую теорию. И тут нужны некоторые математические подмостки.
1. Векторы и операторы Вы знаете векторную алгебру (линейную алгебру) , и заодно вы увидите, что не зря вы её изучали, оказывается, есть к чему её применить. Обозначения:
Такое равенство
Если имеет место такое равенство
Каким образом можно задать это правило, то есть как можно задать оператор? Если оператор
Любая матрица
Если матрица оператора
Если
2. Постулаты квантовой механики
Утверждение 1.
Состояние частицы задаётся некоторым нормированным вектором
Утверждение 2.
Каждой наблюдаемой динамической переменной
A
(координаты, импульс, момент импульса Е) ставится в соответствие эрмитов оператор
Вектор переменной в абстрактном пространстве изображается столбцом, оператор, отвечающий этой переменной, в этом же пространстве будет изображаться квадратной матрицей. Кстати, эпитет УнаблюдаемыйФ не для красного словца. Наблюдаемая переменная – это переменная, которую можно измерить. 1 )
Утверждение 3.
При измерении динамической переменной
A
(вот я подставляюсь под пулю, ловлю её и мерею её импульс) могут быть получены числа лишь из ряда собственных значений соответствующего ей оператора
Сейчас мы это дело оформим более компактно. Если
Утверждение 4.
Вероятность того, что при измерении переменной
A
частицы в состоянии, задаваемом вектором
Векторы
Утверждение 5.
Существует эрмитов оператор
Короче говоря, существует оператор, который заведует изменением вектора состояния со временем. Малое изменение вектора за время
Ну, что тут пока неудобно? Всё это звучит, наверное, замечательно и захватывающе, только не понятно, зачем это делали. В ньютоновской механике, когда всё там написали (Второй закон ньютона, силы) , поскольку много лет все слышали, это кажется очевидным, а ведь на самом деле это голая форма, никакого содержания она не имеет. Содержание появляется только тогда, когда даются рецепты, что там в правой части писать. Ньютоновская механика это, на самом деле, утверждение такого сорта, что всё многообразие мира мы можем отлить в форму дифференциальных уравнений второго порядка, подбирая соответствующие функции
3. Операторы динамических переменных. Координатное представление
В качестве базиса выбираются собственные векторы какого-либо оператора.
1
) Если взяты собственные векторы
9 Проблема такая: как связать абстрактное пространство, в котором разыгрываются все эти события, с нашим реальным наблюдаемым миром, в котором мы живём? Как нам отсюда пролезть туда, в этот потусторонний мир, в котором действуют правила игры, которые мы сформулировали. Лазейка такая: чтобы задать вектор в виде набора чисел, надо предъявить базис. Операторы, с которыми мы имеем дело (это эрмитовы операторы) , обладают тем свойством, что для них имеется n собственных векторов, эти собственные векторы эрмитова оператора ортогональны, если в качестве базиса выбрать собственные векторы оператора, то его матрица в этом базисе будет диагональной, а по диагонали будут стоять собственные значения. Собственные значения – это те числа, которые мы получаем при измерении переменной, которую описывает данный оператор . Вот так можно состыковать эти абстрактные математические объекты с реальными наблюдаемыми величинами. Если мы, например, экспериментально исследовали набор собственных значений данного оператора, то мы сразу можем написать его матрицу в базисе его собственных векторов, просто по диагонали расположивши эти собственные значения. Есть законы, которые связывают операторы друг с другом, и если мы нашли один оператор, то просто зная связь между этими операторами, мы можем построить и другие операторы. Мы тогда получим матрицы в том представлении, в котором исходный оператор был диагональным.
Если
Произведение операторов
Если
Произведение операторов, вообще говоря, не коммутативно (потому что произведение матриц не коммутативно) , то есть когда мы действуем оператором
Переменные, операторы которых не коммутируют (коммутируют) , не могут (могут) быть измерены [и заданы] одновременно .
Мы уже сталкивались с такими вещами. Иксовая координата частицы и иксовая компонента импульса
x
и
Утверждение.
Постулируется, что
Из того, что
В координатном представлении вектор состояния изобразится интегралом:
Раньше я говорил, что волновая функция
Как же импульс? Оператор
И, наконец, последнее. Если мы имеем какую-то функцию координаты и импульса
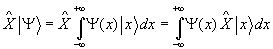
10 Ещё раз, как можно ткнуть пальцем и предъявить базисные векторы, если мы работаем в абстрактном пространстве? В качестве базиса выбираются собственные векторы какого-нибудь оператора. В таком базисе этот оператор выражается диагональной матрицей, где по диагонали стоят собственные значения, а собственные значения – это наблюдаемые величины, поэтому, если мы экспериментально определяем собственные значения оператора, то мы его матрицу тут же пишем. Операторы связаны между собой (по теории) , тогда другие операторы можно находить через матрицу, которую мы нашли. Это общая программа. Теперь конкретное исполнение.
Рассматривалось специальное представление – в качестве базиса были выбраны собственные векторы оператора координаты (тогда собственные значения этого оператора это просто координаты частицы, которые мы экспериментально можем определять) . Из постулируемого коммутационного соотношения
Мы уже получили два оператора, оператор координаты и оператор импульса. Как быть с остальными? Лекция была кончена утверждением, что если некоторая переменная
A
есть функция координаты и импульса
4. Оператор энергии
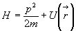
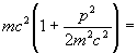
У нас был один из постулатов, что существует оператор
Для частицы в потенциальном поле сил
гамильтониан
H
– это полная энергия частицы, выраженная через координаты и импульс:
В координатном представлении оператор
Для свободной частицы
должно оказаться, что спектр собственных значений непрерывен, проверим. Для свободной частицы никакой потенциальной энергии нет:
5. Оператор импульса
Физическая проблема такая: энергия квантуется, координата, как мы видели, не квантуется, спрашивается, квантуется ли импульс (то есть в результате измерений может получаться любое число или какие-то дискретные величины) ?
1
) В координатном представлении оператор импульса есть:
Утверждение.
Функция
Доказательство.
Подставляя эту функцию в уравнение, мы получаем:
Отсюда видно, что собственным значением оператора импульса может быть любой вектор.
Если операторы двух переменных коммутируют, то эти переменные могут быть заданы и измерены одновременно, а операторы имеют одинаковые собственные векторы
, ну и поэтому собственные значения могут быть заданы одновременно. То, что нельзя одновременно задавать координату и импульс, мы обсуждали, можно ли одновременно задать координату и энергию? Ответ зависит от того, коммутируют или нет операторы координаты и энергии. Ответ такой: оператор энергии
11 Мы нашли, что
Чтобы покончить совсем с оператором импульса и собственными значениями оператора импульса, окончательно оформим это так: оператор
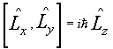
6. Момент импульса (собственные векторы, собственные значения)
Надеюсь, кто-нибудь из вас помнит ещё что это такое, а если не помнит, то я напишу:
Мы можем задать длину вектора
Исходя только из коммутационных соотношений, можно найти собственные значения операторов
Ситуация такая: задаёте
j
из набора
Мораль такая:
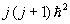
квадрат момента квантуется и может принимать лишь значения
Оказалось, что если
j
принимает целые значения
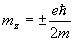
7. Спин. Опыт Штерна-Герлаха (1922г.)
Как фактически проявляется квантование момента импульса? Электрон вращающийся вокруг ядра, обладает орбитальным моментом
Это способ определить экспериментально проекцию магнитного момента, которая связана с орбитальным моментом:
А теперь мы запускаем туда не макроскопические элементы, а запускаем пучок атомов, а атом тоже может обладать магнитным моментом за счёт того, что там электрон вращается. А когда мы пропускаем пучок атомов, то обнаруживается, что мы не получаем такого размазывания в виде веера этих траекторий, а будет наблюдаться такое (скажем, пучок может разделиться на три пучка) :
Пучок атомов не размазывается, они расщепятся, а именно три чётких отдельных пучка появится. Как это проинтерпретируется? Это будет означать, что проекция магнитного момента на ось
z
принимает всего три значения, а число проекций 2
j
+1 = 3 и
j
= 1, мы тогда говорим так: эти атомы обладают орбитальным моментом
Ситуация выглядит так, что электрону, точечному объекту, приписывается собственный момент импульса, ему же отвечает соответствующий момент, и собственный магнитный момент электрона
8. Средние значения динамических переменных
Мы уже видели, что теория отказывается предсказывать, что мы получим в результате измерения той или иной величины, она предсказывает лишь вероятности того, что будет получено то или иное значение. В связи вот с этим вероятностным характером возникает вопрос, каково среднее значение переменной? Ответ на это простой. Пусть мы имеет какую-то переменную
A
, и этой переменной соответствует оператор
Откуда берётся такой результат? Пусть
9. Изменение
Если состояние меняется со временем, это означает, что среднее значение тоже может меняться со временем. Напишем:
Если
В координатном представлении:
Связь с классической механикой
Где классическая механика верна? Там, где можно пренебречь соотношениями неопределённостей!
10. Атом водорода. Частица в центрально симметричном поле
Пусть
Можно показать, что оператор квадрата импульса и гамильтониан коммутируют:
Положительно заряжённое ядро создаёт поле
Стационарное состояние электрона в атоме водорода задаётся тремя числами
n
,
l
,
m
, эти числа определяют энергию
E
n
, момент и проекцию импульса соответствующие этому состоянию, при чём
Бор постулировал, что существуют орбиты, на которых электроны не излучают и ещё
1)
Из этих постулатов следует, что
При
Z
= 1 (водород) и
n
= 1
11. Система тождественных частиц
Пусть система состоит из N частиц, а её состояние задаётся вектором
В квантовой механике частицы одного сорта тождественны, принципиально неразличимы (рис. 11.1) . Пусть у нас имеется две частицы, тогда
Как это может быть? Так как модуль вектора
Принцип Паули гласит, что два фермиона не могут находиться в одном и том же состоянии.
§7. Квантовая статистика Ели мы при абсолютном нуле температуры будем кидать бозоны в одну энергетическую яму, а фермионы в другую, то картины будут различными: фермионы будут занимать различные энергетические уровни, а бозоны – первый. 1) Если теперь мы будем бозоны трясти, то они как-то распределятся по энергиям, фермионы тоже. Я приведу только результат.
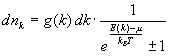
1. Распределение Ферми
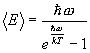
(для фермионов) Среднее число частиц при температуре T в определённом состоянии даётся формулой
2. Распределение Бозе
(для бозонов)
3. Число состояний частицы в определённом интервале энергий. Распределение по энергиям
Число частиц с энергиями в интервале
Если мы найдём функцию
g
(
E
) , тогда автоматически мы найдём и
f
(
E
) ,
Мы рассматривали частицу в ящике, и там были найдены возможные состояния, напомню, что любая тройка целых чисел
Будем считать, что волновая функция частицы не такая, как там было найдено для частицы в ящике, а волновая функция имеет вид
Векторы
А теперь мы можем ответить на вопрос о том, сколько состояний приходится на заданный интервал энергии. Для частицы с массой
m
Число состояний
N
E
с энергиями в интервале [0,
E
], будет равняться
А тогда число состояний в интервале
Фермионы с массой m .
На что похожа эта функция?
4. Равновесное электромагнитное излучение в полости Мы уже обсуждали, что если взять полость, стенки которой имеют температуру T , и маленькую дырку в этой полости, то эта дырка ведёт себя как абсолютно чёрное тело, а излучение, которое заполняет полость характеризуется определённым распределением энергии по частотам, и это распределение универсально, оно не зависит от стенок полости, это то, что называется равновесное электромагнитное излучение. Я уже упоминал, что классическая физика споткнулась на этом равновесном электромагнитном излучении. А сейчас мы сидим в полости, стенки имеют температуру T , мы имеем температуру немного большую и портим всё дело, выгнали нас, свет потушили, и тогда мы имеем полость, и вся эта полость заполнена электромагнитным излучением, это излучение характеризуется определённым распределением энергии по частотам или по длинам волн, наша цель найти это распределение.
Мы будем исходить не из волновой картины, что здесь волны электромагнитные, а из фотонной картины. Стационарное состояние электромагнитного поля характеризуется определённым набором фотонов, т.е. мы это электромагнитное поле здесь будем рассматривать как идеальный фотонный газ. А фотоны это бозоны. И мы немедленно применяем формулу распределения Бозе к нашему фотонному газу. Импульс фотона
Это формула Планка. Впервые в этой формуле появилась константа, названная постоянной Планка.
Нарисуем эту функцию: начало её как
§8. Твёрдое тело С помощью этой формулы Планка мы можем получить все ответы на вопросы, связанные с твёрдым телом. 1. Классическая теория теплоёмкости. Модель независимых осцилляторов
Классическая теория говорит, что теплоёмкость одного моля любого твёрдого тела равна 3 R . На самом деле, теплопроводность твёрдых тел экспериментально имеет такой вид (рис. 1.2) .
Энергия осциллятора квантуется.
2. Дебаевская теория
Конечно, эти осцилляторы не могут быть независимыми. Реальная модель такая: мы имеем атомы, связанные пружинками, конечно они могут колебаться, но это не независимые осцилляторы. Это представляется ужасным делом, но на самом деле это решаемая задача. Мы же ещё упростим картину.
Моделью нашего твёрдого тела будет сплошное упругое тело. Тогда тепловое возмущение будет представляться распространением возмущения, то есть стоячими звуковыми волнами. Электромагнитному полю ставятся в соответствие частицы фотоны, точно так же звуковым волнам в этой упругой среде ставятся в соответствие частицы
фононы
с энергией
Тогда внутренняя энергия кристалла изобразится как интеграл:
При
3. Твёрдое тело. Решётка Браве. Обратная решётка Чем замечателен идеальный кристалл? Тем, что в нём возможны сдвиги, при которых вся эта структура переходит в себя (в узлах могут быть сложные группы атомов, они тоже переходят в себя) .
Кристалл
– это трёхмерная структура, три вектора
Данной решётке ставится в соответствие обратная решётка
Симметрия кристалла позволяет получить важную теорему Блоха:
волновые функции стационарных состояний электронов в твёрдом теле
имеют вид
Что эта волновая функция из себя представляет в одномерном случае? Функция
4. Зоны энергии
Электрон в твёрдом теле заведомо находится в связанном состоянии, согласно общим положениям квантовой теории его энергия должна квантоваться, то есть собственные значения гамильтониана должны быть дискретны. Мы увидим сейчас, как она квантуется. Напишем гамильтониан:
Вот главный результат от всей этой науки, и всё это добыто как следствие трансляционной инвариантности решётки (вся физика переходит в себя при сдвигах с определённым вектором
5. Уравнения движения электронов в твёрдом теле
Функция
6. Проводимость твёрдых тел
Как определяется плотность тока? Берём маленький объём пространства, в пределах этого объёма вычисляем заряд частицы на скорость частицы, суммируем все эти вещи в пределах объёма, делим полученную величину на величину объёма – это есть плотность тока. Для нашего случая (для электрона в твёрдом теле) тогда напишем
УДыркиФ
Заметьте, у нас электрон здесь не частица, это некоторая математическая конструкция вот с тем квазиимпульсом, который чувствует только внешнее поле. Эти наши частицы ведут себя именно как частицы в пустом пространстве. Для того, что называется электронами в твёрдом теле, кристаллическая решётка это то же самое, что вакуум для настоящего электрона. Из всей этой математики следует, что сопротивление равно нулю. Сопротивление, на самом деле, имеется за счёт того, что решётка обычно искажена, в частности за счёт теплового движения. 7. Проводники, полупроводники и изоляторы.
Вот, имеются зоны энергии, есть последняя заполненная зона, она называется валентной зоной. Мы видели, что электроны, сидящие в заполненных зонах, вклада в проводимость не дают. Дальше вариант такой: за валентной зоной идёт пустая зона при
T
= 0, тело с такой структурой это изолятор. При нагревании, если запрещённая зона
То есть с этой точки зрения изолятор это плохой полупроводник или полупроводник это плохой изолятор, качественного различия нет. А есть, наконец, твёрдые тела, для которых нет этой запрещённой зоны, т.е. либо зона проводимости пересекается с валентной зоной, либо мы просто имеем частично заполненную зону, а следующая свободна, эти тела называются проводники и это металлы. Проводник и металл в этом контексте синонимы. В проводниках можно считать, что электроны в этой частично заполненной зоне ведут себя как идеальный фермионный газ. Ну вот, всё. Остальное придётся прочитать в книжке, но повторяю, там идейных проблем нет, там только детали.
Поделитесь этой записью или добавьте в закладки |
Полезные публикации |
, и тогда
Это мы нашли импульс рассеянного фотона, выраженный через импульс налетающего фотона и угол рассеивания фотона.
Действительно, были проделаны эксперименты,
1
) и эта формула подтвердилась. Эффект Комптона подтвердил корпускулярные свойства света.
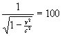
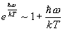
, здесь корень определяет замедление времени. Если вы, например, хотите, чтобы у вас время текло в 100 раз медленнее, чем на Земле, чтобы можно было слетать за приемлемое для себя время куда-нибудь, то
, и
То есть задайте любой вектор
И здесь мы снова подбираемся к представлению, почему возможна классическая механика. Если мы имеем решение в виде волнового пакета, это означает, что частица находится где-то в пределах волнового пакета, снаружи вероятность равна нулю, и этот волновой пакет движется с групповой скоростью
(
7
)
. Слева у нас стоит функция от времени, а справа стоит функция от координат, и вот это равенство, что некоторая функция от времени при любых значениях
t
равна некоторой функции от координат при любых значениях координат. Как это может быть? Только так, что обе эти функции константы. Это означает, что мы имеем два уравнения
описывает стационарное состояние (волновая функция для свободной частицы это частный случай стационарного состояния) . Для плоской волны есть импульс, импульс это динамическая характеристика, а кинематики, то есть чего-то такого движущегося, нет, потому что вероятность всюду одинакова. Вот, когда мы возьмём волновой пакет, мы получим кинематику, но зато потеряем определённость в импульсе.
.
.
, где
a
,
b
,
c
это рёбра ящика. Вот что такое квантование, имеем дискретные состояния (тройка чисел задаёт волновую функцию определённой конфигурации) и этим состояниям соответствует энергия. Важно, что нет никаких промежуточных состояний, переходных форм нет. Состояние (1,1,1) называется
основным
, оно имеет минимальную энергию, а максимальная вероятность найти частицу в ящике [для этого состояния] – в середине, то есть вот частица большую часть времени проводит в середине ящика вместо того, чтобы бегать от стенки к стенке.
. Ясно, что такая штука
. Значит, любой линейный оператор будет представлен квадратной матрицей размерности
.
, базисные векторы таковы, что
описывает состояние частицы с импульсом
Задача на собственные векторы оператора энергии ставится так: оператор
Это собственная функция оператора импульса, отвечающая собственному значению
, очевидно, что операторы и не коммутируют, потому что оператор
, оператор импульса с оператором энергии прокоммутирует. И, стало быть, импульс и энергия свободной частицы могут быть измерены одновременно. И действительно, это мы уже видели, а функция
является одновременно собственной функцией оператора импульса и энергии, собственные значения связаны так:
Мы разобрались с оператором координаты, с оператором импульса, с оператором энергии, есть ещё одна переменная – момент импульса. Вот разберёмся с моментом импульса.
, это математический факт, физически этому соответствует важное обстоятельство –
проекции момента на координатные оси не могут быть заданы одновременно
. Но легко убедиться, что
=
И это изобразится, наконец, так:
12 Будем считать, что
, тогда
,
(
тоже, значит операторы
,
где
14 Итак, среднее число частиц в состоянии
, где
Это означает, что
Ну, и
, где
V
=
L
3
Это не то, что нас интересует. Это не распределение по энергиям – это распределение по волновым числам. А теперь мы вернёмся к распределению по энергиям.
На самом деле, мы это учли движение частицы в целом, частица может иметь ещё внутренние состояния, связанные с её спином, тогда эта формула подправится, и мы напишем так:
Этот множитель 2(
j
+1) – это число проекций спина на выбранную ось. Для электронов
Такой множитель запоминать это безумие, важно, что функция распределения (что вы должны помнить, придя на экзамен)
, если этот интеграл взять, можно определить
(для фотонов
Это число фотонов, которые приходятся на интервал частот
Множитель, который стоит перед
Твёрдое тело может быть смоделировано частицами, которые колеблются относительно положения равновесия. Частицы в узлах решётки сидят и при нагревании колеблются, поэтому простейшая модель такая: частица массы
m
привязана пружинкой жёсткости
k
к положению равновесия. На самом деле, там пусто и привязаться не к чему, мы делаем модель. Каждый атом с положением равновесия в узлах решётки мы моделируем независимым осциллятором. Энергия осциллятора
, а для пространственного осциллятора
Как это согласуется с классическим результатом? Очень просто – при
В твёрдом теле, в отличие от электромагнитных волн, которые имеют два состояния поляризации, может идти продольная волна и поперечная с двумя состояниями поляризации, поэтому появился множитель
Для фотонов верхний предел был
здесь
Потенциальная энергия выглядит, конечно, сложным образом: это потенциальные ямы в окрестности атомов, и её не только ядра создают, там и все электроны. Выражение для гамильтониана задать очень сложно, надо учитывать взаимодействие электронов между собой, взаимодействия с ядрами, взаимодействие ядер между собойЕ, но нам это не важно, нам важно одно – эта функция периодическая. Напишем уравнение на собственные значения гамильтониана, где функция имеет такой вид
где
это следствие того, что
Отсюда мы видим, что
. Это означает, что плотность тока можно вычислять либо суммируя соответствующие выражения по занятым состояниям, либо суммировать по свободным состояниям, но, беря
e
со знаком (+) . Это математическое обстоятельство и приводит к концепции дырок. Мы в зоне имеем занятые электронные состояния, и если зона заполнена не полностью, то эти электроны дают вклад в проводимость, мы скорость каждого электрона умножаем на его заряд -
e
и получаем ток, - с таким же успехом мы могли бы суммировать по свободным состояниям, которые остались пустыми в зоне, умножать скорости, отвечающие свободным состояниям (хотя там никого нет) на заряд +
e
и считать, что у нас имеются не электроны отрицательные, а положительно заряженные частицы в этих свободных состояниях. Ну, а свободные состояния называются
дырками
, по вполне понятным причинам, и мы можем считать, что ток тогда обеспечивается либо электронами, которые занимают определённые состояния, либо – как зеркальное отражение этого дела – положительно заряженными частицами, отвечающими свободным состояниям, или дырками.
Главная