Постановка задачи линейного программирования и двойственная задача линейного программирования. Линейное программирование является составной частью раздела математики, который изучает методы нахождения условного экстремума функции многих переменных и называется математическим программированием. В классическом математическом анализе рассматривается задача отыскания условного экстремума функции. Тем не менее, время показало, что для многих задач, возникающих под влиянием запросов практики, классические методы недостаточны. В связи с развитием техники, ростом промышленного производства и с появлением ЭВМ все большую роль начали играть задачи отыскания оптимальных решений в различных сферах человеческой деятельности. Основным инструментом при решении этих задач стало математическое моделирование — формальное описание изучаемого явления и исследование с помощью математического аппарата. Искусство математического моделирования состоит в том, чтобы учесть как можно больше факторов по возможности простыми средствами. Именно в силу этого процесс моделирования часто носит итеративный характер. На первой стадии строится относительно простая модель и проводится ее исследование, позволяющее понять, какие из существенных свойств изучаемого объекта не улавливаются данной формальной схемой. Затем происходит уточнение, усложнение модели. В большинстве случаев первой степенью приближения к реальности является модель, в которой все зависимости между переменными, характеризующими состояние объекта, предполагаются линейными. Здесь имеется полная аналогия с тем, как весьма важна и зачастую исчерпывающая информация о поведении произвольной функции получается на основе изучения ее производной — происходит замена этой функции в окрестности каждой точки линейной зависимостью. Значительное количество экономических, технических и других процессов достаточно хорошо и полно описывается линейными моделями.
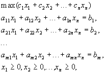
Основные формы задачи ЛП. Различают три основные формы задач линейного программирование в зависимости от наличия ограничений разного типа. Стандартная задача ЛП.
или, в матричной записи,
где
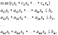
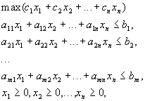
Стандартная задача важна ввиду наличия большого числа прикладных моделей, сводящихся наиболее естественным образом к этому классу задач ЛП. Каноническая задача ЛП.
или, в матричной записи,
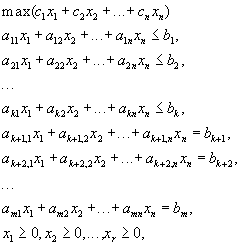
Основные вычислительные схемы решения задач ЛП разработаны именно для канонической задачи. Общая задача ЛП. В этой задачи часть ограничений носит характер неравенств, а часть является уравнениями. Кроме того, не на все переменные наложено условие неотрицательности:
Здесь
Все три перечисленные задачи эквивалентны в том смысле, что каждую из них можно простыми преобразованиями привести к любой из двух остальных.
При изучении задач ЛП сложилась определенная терминалогия. Линейная форма
Двойственная задача линейного программирования. Рассмотрим задачу ЛП
или, в матричной записи,
Задачей, двойственной к (1) (двойственной задачей), называется задача ЛП от
или, в матричной записи,
где
Правила построения задачи (3) по форме записи задачи (1) таковы: в задаче (3) переменных
Теорема двойственности . Если взаимодвойственные задачи (2), (4) допустимы, то они обе имеют решение и одинаковое значение .
Теорема равновесия
. Пусть
Поделитесь этой записью или добавьте в закладки |
Полезные публикации |
(1)
(3)
Главная