Задачи Пятого Турнира Юных МатематиковНастоящий реферат рассматривает решения задач некоторых задач отборочного этапа Пятого Всеукраинского турнира юных математиков (проводившегося г. Сумы). В кратком условии участия было отмечено, что “предлагаемые задачи достаточно сложны и необязательно должны быть решены полностью. Оцениваться будут и отдельные продвижения и разбор частных случаев. В некоторых случаях можно решить аналогичную или более простую задачу”. Данный реферат имеет несколько не доведенных до конца задач, либо решенных частично. Также приведены некоторые задач финального тура. “Геометрические миниатюры”
Условие:
Зафиксируем на плоскости
Решение Решение задачи разобъем на четыре этапа:
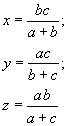
Этап 1 : Найдем отношение площади треугольника, вершинами которого являются точки касания вписанной окружности, к площади данного треугольника АВС. Пусть окружность касается сторон АВ, ВС и АС соответственно в точках P, S и Q. Обозначим отрезки AP, CQ и BS как x, y и z соответственно. Тогда из “отрезки касательных, проведенных из одной точки равны”, следует, что AC = AQ = x, CQ = CS = y, BS = BP = z.
Найдем отношение площади
Аналогично,
Тогда из S
Подставим значения
Раскрыв скобки, выражение можно записать как
Длины сторон треугольника всегда положительны, значит используем неравенство Коши:
Подставим неравенства в числители дробей
Итак, отношение площади треугольника
Этап 2 : Найдем отношение площади треугольника, вершины которого – основания биссектрис данного треугольника, к площади данного треугольника АВС.
Пусть АН, BG, CF – биссектрисы
Значит,
По аналогии с предыдущей задачей найдем отношение
Аналогично,
Тогда
Упростив это выражение, получаем
Теперь, из неравенства Коши (
Итак,
отношение площади треугольника
Этап 3
: Найдем отношение площади треугольника, образованного основаниями медиан, к данному треугольнику
Рассмотрим AERT. RT, по свойству средней линии равен половине АЕ и АЕ 7 RT. ER=AT и ER 7 AT по этим же признакам Ю AERT – параллелограмм. Значит Р EAT= Р ERT (*) – по свойству параллелограмма. Аналогичным образом рассмотрим параллелограммы ERCT, BETR. Из них Ю Р RET = Р RCT, Р RBE = Р ETR (**).
Из (*) и (**)
Ю
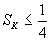
Итак, отношение площади треугольника (по условию S
K
), образованного основаниями медиан, к площади данного треугольника АВС -
Этап 4
:
докажем, что
В процессе решения задачи данный этап был разрешен, но найденное решение оказалось крайне не рациональное и очень объемное, поэтому здесь не приведено. Значит, действительно, площадь треугольника, образованного основаниями медиан больше площади треугольника, образованного основаниями биссектрис, который больше площади треугольника, образованного точками касания вписанной окружности. ЧТД. Задача 1 Финального тура Условие: Решить уравнение xy 2 + xy + x 2 – 2y – 1 = 0 в целых числах. Решение Представим исходное уравнение в виде:
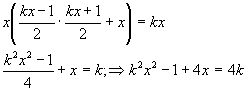
Из этого следует, что х – делитель 2у+1. Введем замену: 2у+1 = kx, где k О Z . Тогда
Введем замену: х
1
= -х. Тогда полученное уравнение примет вид
Решим данное уравнение относительно х
1
(очевидно, что
- нет решений в области целых чисел. Итак, в результате вышеописанных вычислений были найдены следующие решения: (1;0), (0;-3), (-1;0), (-3;1), (-9;-14). Cумма производных Условие: Пусть
Доказать, что для нечетных
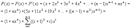
Решение Рассмотрим производные P(x):
Далее замечаем, что
Отсюда следует, что
Введем некоторую функцию F(x).
Рассмотрим возможные случаи для х:
Значит,
- число четное,
Значит, при любом нечетном х, всегда F(x) будет четной при любом (четном/нечетном) значении n Ю
В результате рассмотренных выше случаев, выводим, что для нечетных
ЧТД. Необычное уравнение Условие: Для m натуральных через P(m), обозначается произведение всех цифр его десятичной записи, а через S(m) – их сумма. Найти количество k(n) решений уравнения
при n = 2002. Исследуйте величину k(n) решений уравнения. Решение Рассмотрим различные случаи числа x. Пусть в записи х есть ноль, тогда P(x) = 0, значит
Пусть S(x)=y, S(x) = n и в записи числа есть ноль, тогда
Значит, P(S(x)) = P(y) = 0, т.к. число содержит ноль. S(S(x))=S(y)=n. Имеется бесконечно много решений. Т.е. для решения данного уравнения подходят числа, S(S(x)) которых равна n. Т.к. решений бесконечно много, то имеем множество решений для любых случаев.
Идем от обратного: S(y)=n
При n = 2002, S(x) = 4, P(S(x)) = 4, S(S(X)) = 4 –
Рассмотрев решения для данного случая, убеждаемся, что n можно подобрать относительно х или наоборот. Задание 6 Финального Тура
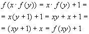
Найти все функции
Решение Пусть х = 1.
Проверим полученную функцию. y = 1, тогда
Теперь подставим в исходную функцию.
Значит, одно из возможных значений функции -
Математический Анализ
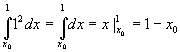
Условие:
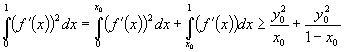
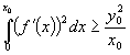
Рассматриваются различные непрерывно дифференцируемые функции
Решение
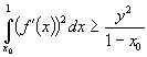
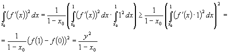
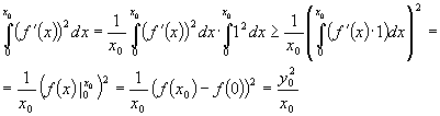
Распишем, также, формулу Ньютона-Лейбница:
Итак,
Значит
Значит,
Тогда,
Рассмотрим два случая:
Т.е. графиком данной функции будет произвольная кривая, в которую вписан угол (угол OMK = 90 0 ) ПРОТИВОРЕЧИЕ !!! Т.е. всегда можно построить гладкую кривую, проходящую через точку Х.
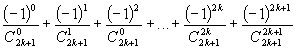
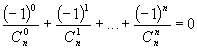
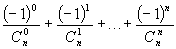
Бесконечные Биномиальные Коэффициенты
Условие:
упростить выражение
Решение Отметим, что если n – четное, что количество членов ряда нечетно, а если n – нечетно, то их количество четно. Рассмотрим четные и нечетные n.
Тогда, ряд будет иметь вид:
Зная, что
Видим, что равноудаленные от концов ряда члены сокращаются, и, т.к. количество их четно, следовательно сумма ряда рана нулю.
Этот случай не был решен до конца, но в результате расчетов первых четных чисел была выведена и проверена, однако не доказана, формула
Работа Гончаренко Никиты, Г. Краматорск, ОШ#35 Поделитесь этой записью или добавьте в закладки |
Полезные публикации |
Обозначим AF = x, BH = y, CG = z. По свойству биссектрис (“биссектриса делит сторону треугольника на отрезки, пропорциональные двум другим сторонам”), тогда
Проведем из вершин
Главная