ПЛАН: 1.Введения 2.Радиоактивность 3.Ядерные реакторы 4.Инженерные аспекты термоядерного реактора 5.Ядерная реакция. Ядерная енергетика. 6.Гамма-излучения 7.Атомный реактор 8.Принципы построения атомной енергетики 9.Ядерный синтез завтра 10 .Выивод 11.Список литератури
ВВЕДЕНИЕ: что изучает физика?
Физика - наука о природе, изучающая простейшие и вместе с тем наиболее общие закономерности природы, строение и законы движения материи. Физику относят к точным наукам. Ее понятия и законы составляют основу естествознания. Границы, разделяющие физику и другие естественные науки, исторически условны. Принято считать, что в своей основе физика является наукой экспериментальной, поскольку открытые ею законы основаны на установленных опытным путем данных. Физические законы представляются в виде количественных соотношений, выраженных на языке математики. В целом физика разделяется на экспериментальную, имеющую дело с проведением экспериментов с целью установления новых фактов и проверки гипотез и известных физических законов, и теоретическую, ориентированную на формулировку физических законов, объяснение на основе этих законов природных явлений и предсказание новых явлений. Структура физики сложна. В нее включаются различные дисциплины или разделы. В зависимости от изучаемых объектов выделяют физику элементарных частиц, физику ядра, физику атомов и молекул, физику газов и жидкостей, физику плазмы, физику твердого тела. В зависимости от изучаемых процессов или форм движения материи выделяют механику материальных точек и твердых тел, механику сплошных сред (включая акустику), термодинамику и статистическую механику, электродинамику (включая оптику), теорию тяготения, квантовую механику и квантовую теорию поля. В зависимости от ориентированности на потребителя получаемого знания выделяют фундаментальную и прикладную физику. Принято выделять также учение о колебаниях и волнах, рассматривающее механические, акустические, электрические и оптические колебания и волны под единым углом зрения. В основе физики лежат фундаментальные физические принципы и теории, которые охватывают все разделы физики и наиболее полно отражают суть физических явлений и процессов действительности. От ранних цивилизаций, возникших на берегах Тигра, Евфрата и Нила (Вавилон, Ассирия, Египет), не осталось никаких свидетельств о достижениях в области физических знаний, за исключением овеществленных в архитектурных сооружениях, бытовых и т.п. изделиях знаний. Возводя различного рода сооружения и изготавливая предметы быта, оружия и т.д., люди использовали определенные результаты многочисленных физических наблюдений, технических опытов, их обобщений. Можно сказать, что существовали определенные эмпирические физические знания, но не было системы физических знаний. Физические представления в Древнем Китае появились также на основе различного рода технической деятельности, в процессе которой вырабатывались разнообразные технологические рецепты. Естественно, что прежде всего вырабатывались механические представления. Так, китайцы имели представления о силе ( то, что заставляет двигаться), противодействии, (то, что останавливает движение), рычаге, блоке, сравнении весов (сопоставлении с эталоном). В области оптики китайцы имели представление об образовании обратного изображения в "camera obscura". Уже в шестом веке до н.э. они знали явления магнетизма - притяжения железа магнитом, на основе чего был создан компас. В области акустики им были известны законы гармонии, явления резонанса. Но это были еще эмпирические представления, не имевшие теоретического объяснения. В Древней Индии основу натурфилософских представлений составляют учение о пяти элементах - земле, воде, огне, воздухе и эфире. Существовала также догадка об атомном строении вещества. Были разработаны своеобразные представления о таких свойствах материи, как тяжесть, текучесть, вязкость, упругость и т.д., о движении и вызывающих его причинах. К VI в. до н.э. эмпирические физические представления в некоторых областях обнаруживают тенденцию перехода в своеобразные теоретические построения (в оптике, акустике).
Явление радиоактивности, или спонтанного распада ядер, была открыта французским физиком А. Беккерелем в 1896 г. Он обнаружил, что уран и его соединения испускают лучи или частицы, проникающие сквозь непрозрачные тела и способные засвечивать фотопластинку, Беккерель установил, что интенсивность излучения пропорциональна только концентрации урана и не зависит от внешних условий (температура, давление) и от того, находится ли уран в каких-либо химических соединениях. Английскими физиками Э. Резерфордом и Ф. Содди было доказано, что во всех радиоактивных процессах происходят взаимные превращения атомных ядер химических элементов. Изучение свойств излучения, сопровождающего эти процессы в магнитном и электрическом полях, показало, что оно разделяется на a -частицы (ядра гелия), b - частцы (электроны) и g - лучи (электромагнитное излучение с очень малой длиной волны ). Атомное ядро, испускающее g -кванты, a -, b - или другие частицы, называется радиоактивным ядром . В природе существует 272 стабильных атомных ядра. Все остальные ядра радиоактивны и называются радиоизотопами . Энергия связи ядра характеризует его устойчивость к распаду на составные части. Если энергия связи ядра меньше энергии связи продуктов его распада, то это означает, что ядро может самопроизвольно (спонтанно) распадаться. При альфа-распаде альфа-частицы уносят почти всю энергию и только 2 % ее приходится на вторичное ядро. При альфа-распаде массовое число изменяется на 4 единицы, а атомный номер на две единицы. Начальная энергия альфа-частицы составляет 4-10 МэВ. Поскольку альфа-частицы имеют большую массу и заряд, длина их свободного пробега в воздухе невелика. Так, например, длина свободного пробега в воздухе альфа-частиц, испускаемых ядром урана, равна 2,7 см, а испускаемых радием, - 3,3 см. Это процесс превращения атомного ядра в другое ядро с изменением порядкового номера без изменения массового числа. Различают три типа b -распада: электронный, позитронный и захват орбитального электрона атомным ядром. тип Последний распада принято также называть К -захватом, поскольку при этом наиболее вероятно поглощение электрона с ближайшей к ядру К оболочки. Поглощение электронов с L и М оболочек также возможно, но менее вероятно. Период полураспада b -активных ядер изменяется в очень широких пределах. Число бета-активных ядер, известных в настоящее время, составляет около полутора тысяч, но только 20 из них являются естественными бета-радиоактивными изотопами. Все остальные получены искусственным путем. Непрерывное распределение по кинетической энергии испускаемых при распаде электронов объясняется тем обстоятельством, что наряду с электроном испускается и антинейтрино. Если бы не было антинейтрино, то электроны имели бы строго определенный импульс, равный импульсу остаточного ядра. Резкий обрыв спектра наблюдается при значении кинетической энергии, равной энергии бета-распада. При этом кинетические энергии ядра и антинейтрино равны нулю и электрон уносит всю энергию, выделяющихся при реакции. При электронном распаде остаточное ядро имеет порядковый номер на единицу больше исходного при сохранении массового числа. Это означает, что в остаточном ядре число протонов увеличилось на единицу, а число нейтронов, наоборот, стало меньше: N=A-(Z+1). При позитронном распаде сохраняется полное число нуклонов, но в конечном ядре на один нейтрон больше, чем в исходном. Таким образом, позитронный распад может быть интерпретирован как реакция превращения внутри ядра одного протона в нейтрон с испусканием позитрона и нейтрино. К электронному захвату относится процесс поглощения атомом одного из орбитальных электронов своего атома. Поскольку наиболее вероятен захват электрона с орбиты, наиболее близко расположенных к ядру, то с наибольшей вероятность поглощаются электроны К -оболочки . Поэтому этот процесс называется также К -захватом. С гораздо меньшей вероятностью происходит захват электронов с L -, M -оболочек. После захвата электрона с К -оболочки происходит ряд переходов электронов с орбиты на орбиту, образуется новое атомное состояние испускается рентгеновский квант. Стабильные ядра находятся в состоянии, отвечающем наименьшей энергии. Это состояние называется основным. Однако путем облучения атомных ядер различными частицами или высокоэнергитическими протонами им можно передать определенную энергию и, следовательно, перевести в состояния, отвечающие большей энергии. Переходя через некоторое время из возбужденного состояния в основное, атомное ядро может испустить или частицу, если энергия возбуждения достаточно высока, или высокоэнергетическое электромагнитное излучение - гамма-квант. Поскольку возбужденное ядро находится в дискретных энергетических состояниях, то и гамма-излучение характеризуется линейчатым спектром.
При делении тяжелых ядер образуется несколько свободных нейтронов. Это позволяет организовать так называемую цепную реакцию деления, когда нейтроны, распространяясь в среде, содержащей тяжелые элементы, могут вызвать их деление с испусканием новых свободных нейтронов. Если среда такова, что число вновь рождающихся нейтронов увеличивается, то процесс деления лавинообразно нарастает. В случае, когда число нейтронов при последующих делениях уменьшается, цепная ядерная реакция затухает. Для получения стационарной цепной ядерной реакции, очевидно, необходимо создать такие условия, чтобы каждое ядро, поглотившее нейтрон, при делении выделяло в среднем один нейтрон, идущий на деление второго тяжелого ядра. Ядерным реактором называется устройство, в котором осуществляется и поддерживается управляемая цепная реакция деления некоторых тяжелых ядер. Цепная ядерная реакция в реакторе может осуществляться только при определенном количестве делящихся ядер, которые могут, делиться при любой энергии нейтронов. Из делящихся материалов важнейшим является изотоп 235 U, доля которого в естественном уране составляет всего 0,714 %. Хотя 238 U и делится нейтронами, энергия которых превышает 1,2 МэВ, однако само поддерживающаяся цепная реакция на быстрых нейтронах в естественном уране не возможна из-за высокой вероятности не упругого взаимодействия ядер 238 U с быстрыми нейтронами. При этом энергия нейтронов становится ниже пороговой энергии деления ядер 238 U. Использование замедлителя приводит к уменьшению резонансного поглощения в 238 U, так как нейтрон может пройти область резонансных энергий в результате столкновения с ядрами замедлителя и поглотиться ядрами 235 U, 239 Pu, 233 U, сечение деления которых существенно увеличивается с уменьшением энергии нейтронов. В качестве замедлителей используют материалы с малым массовым числом и небольшим сечением поглощения (вода, графит, бериллий и др.). Для характеристики цепной реакции деления используется величина, называемая коэффициентом размножения К. Это отношение числа нейтронов определенного поколения к числу нейтронов предыдущего поколения. Для стационарной цепной реакции деления К=1. Размножающаяся система (реактор), в которой К=1, называется критической. Если К >1, число нейтронов в системе увеличивается, и она в этом случае называется над критической. При К < 1 происходит уменьшение числа нейтронов, и система называется под критической. В стационарном состоянии реактора число вновь образующихся нейтронов равно числу нейтронов, покидающих реактор (нейтроны утечки) и поглощающихся в его пределах. В критическом реакторе присутствуют нейтроны всех энергий. Они образуют так называемый энергетический спектр нейтронов, который характеризует число нейтронов различных энергий в единице объема в любой точке реактора. Средняя энергия спектра нейтронов определяется долей замедлителя, делящихся ядер (ядра горючего) и других материалов, которые входят в состав активной зоны реактора. Если большая часть делений происходит при поглощении тепловых нейтронов, то такой реактор называется реактором на тепловых нейтронах. Энергия нейтронов в такой системе не превышает 0.2 эВ. Если большая часть делений в реакторе происходит при поглощении быстрых нейтронов, такой реактор называется реактором на быстрых нейтронах. В активной зоне реактора на тепловых нейтронах наряду с ядерным топливом находится значительная масса замедлителя-вещества, отличающегося большим сечением рассеяния и малым сечением поглощения. Активная зона реактора практически всегда, за исключением специальных реакторов, окружена отражателем, возвращающим часть нейронов в активную зону за счет многократного рассеяния. В реакторах на быстрых нейронах активная зона окружена зонами воспроизводства. В них происходит накопление делящихся изотопов. Кроме того, зоны воспроизводства выполняют и функции отражателя. В ядерном реакторе происходит накопления продуктов деления, которые называются шлаками. Наличие шлаков приводит к дополнительным потерям свободных нейтронов. Ядерные реакторы в зависимости от взаимного размещения горючего и замедлителя подразделяются на гомогенные и гетерогенные. В гомогенном реакторе активная зона представляет собой однородную массу топлива, замедлителя и теплоносителя в виде раствора, смеси или расплава. Гетерогенным называется реактор, в котором топливо в виде блоков или тепловыделяющих сборок размещено в замедлителе, образуя в нем правильную геометрическую решетку.
Особенности ядерного реактора как источника теплоты. При работе реактора в тепло выводящих элементах (твэлах), а также во всех его конструктивных элементах в различных количествах выделяется теплота. Это связано, прежде всего, с торможением осколков деления, бета - и гамма - излучением их, а также ядер, испытывающих взаимодействие с нейронами, и, наконец, с замедлением быстрых нейронов. Осколки при делении ядра топлива классифицируются по скоростям, соответствующим температуре в сотни миллиардов градусов. Действительно, Е= m u 2 = 3RT, где Е - кинетическая энергия осколков, МэВ; R = 1,38 · 10 -23 Дж/К - постоянная Больцмана. Учитывая, что 1 МэВ = 1,6 · 10 -13 Дж, получим 1,6 · 10 -6 Е = 2,07 · 10 -16 Т, Т = 7,7 · 10 9 Е. Наиболее вероятные значения энергии для осколков деления равны 97 МэВ для легкого осколка и 65 МэВ для тяжелого. Тогда соответствующая температура для легкого осколка равна 7,5 · 10 11 К, тяжелого - 5 · 10 11 К. Хотя достижимая в ядерном реакторе температура теоретически почти неограниченна, практически ограничения определяются предельно допустимой температурой конструкционных материалов и тепловыделяющих элементов. Особенность ядерного реактора состоит в том, что 94% энергии деления превращается в теплоту мгновенно, т.е. за время, в течение которого мощность реактора или плотность материалов в нем не успевает заметно измениться. Поэтому при изменении мощности реактора тепловыделение следует без запаздывания за процессом деления топлива. Однако при выключении реактора, когда скорость деления уменьшается более, чем в десятки раз, в нем остаются источники запаздывающего тепловыделения ( гамма - и бета-излучение продуктов деления), которые становятся преобладающими. Мощность ядерного реактора пропорциональна плотности потока нейронов в нем, поэтому теоретически достижима любая мощность. Практически же предельная мощность определяется скоростью отвода теплоты, выделяемой в реакторе. Удельный тепло съем в современных энергетических реакторах составляет 10 2 - 10 3 МВт/м 3 , в вихревых - 10 4 - 10 5 МВт/м 3 . От реактора теплота отводится циркулирующим через него теплоносителем. Характерной особенностью реактора является остаточное тепловыделение после прекращения реакции деления, что требует отвода теплоты в течение длительного времени после остановки реактора. Хотя мощность остаточного тепловыделения значительно меньше номинальной, циркуляция теплоносителя через реактор должна обеспечиваться очень надежно, так как остаточное тепловыделение регулировать нельзя. Удаление теплоносителя из работавшего некоторое время реактора категорически запрещено во избежание перегрева и повреждения тепловыделяющих элементов. Устройство энергетических ядерных реакторов. Энергетический ядерный реактор - это устройство, в котором осуществляется управляемая цепная реакция деления ядер тяжелых элементов, а выделяющаяся при этом тепловая энергия отводится теплоносителем. Главным элементом ядерного реактора является активная зона. В нем размещается ядерное топливо и осуществляется цепная реакция деления. Активная зона представляет собой совокупность определенным образом размещенных тепловыделяющих элементов, содержащих ядерное топливо. В реакторах на тепловых нейтронах используется замедлитель. Через активную зону покачивается теплоноситель, охлаждающий тепловыделяющие элементы. В некоторых типах реакторов роль замедлителя и теплоносителя выполняет одно и то же вещество, например, обычная или тяжелая вода. Для
управления работой реактора в активную зону вводятся регулирующие стержни из материалов, имеющих большое сечение поглощения нейтронов. Активная зона энергетических реакторов окружена отражателем нейтронов - слоем материала замедлителя для уменьшения утечки нейтронов из активной зоны. Кроме того, благодаря отражателю происходит выравнивание нейтронной плотности и энерговыделения по объему активной зоны, что позволяет при данных размерах зоны получить большую мощность, добиться более равномерного выгорания топлива, увеличить продолжительность работы реактора без перегрузки топлива и упростить систему тепло отвода. Отражатель нагревается за счет энергии замедляющихся и поглощаемых нейтронов и гамма квантов, поэтому предусматривается его охлаждение. Активная зона, отражатель и другие элементы размещаются в герметичном корпусе или кожухе, обычно окруженном биологической защитой. Требования к конструкциям активной зоны и ее характеристики. Активная зона реактора должна быть спроектирована так, чтобы исключалась возможность непредусмотренного перемещения ее составляющих, приводящего к увеличению реактивности. Основной конструктивной деталью гетерогенной активной зоны является твэл, в значительной мере определяющий ее надежность, размеры и стоимость. В энергетических реакторах, как правило, используются стержневые твэлы с топливом в виде прессованных таблеток двуокиси урана, заключенных в оболочку из стали или циркониевого сплава. Твэлы для удобства собираются в тепловыделяющие сборки (ТВС), которые устанавливаются в активной зоне ядерного реактора. В твэлах происходит генерация основной доли тепловой энергии и передача ее теплоносителю. Более 90% всей энергии, освобождающейся при делении тяжелых ядер, выделяется внутрь твэлов и отводится обтекающим твэлы теплоносителем. Твэлы работают в очень тяжелых тепловых режимах: максимальная плотность теплового потока от твэла к теплоносителю достигает (1 - 2) 10 6 Вт/ м 2 , тогда как в современных паровых котлах она равна (2 - 3) 10 5 Вт/м 2 . Кроме того, в сравнительно небольшом объеме ядерного топлива выделяется большое количество теплоты, т.е. энергонапряженность ядерного топлива также очень высока. Удельное тепловыделение в активной зоне достигает 10 8 -10 9 Вт/м 3 , в то время как в современных паровых котлах оно не превышает 10 7 Вт/м 3 . Большие тепловые потоки, проходящие через поверхность твэлов, и значительная энергонапряженность топлива требуют исключительно высокой стойкости и надежности твэлов. Помимо этого, условия работы твэлов осложняются высокой рабочей температурой, достигающей 300 - 600 С o на поверхности оболочки, возможностью тепловых ударов, вибрацией, наличием потока нейтронов (флюенс достигает 10 27 нейтрон/м 2 ). К твэлам предъявляются высокие технические требования: простота конструкции; механическая устойчивость и прочность в потоке теплоносителя, обеспечивающая сохранение размеров и герметичности; малое поглощение нейтронов конструкционным материалом твэла и минимум конструкционного материла в активной зоне; отсутствие взаимодействие ядерного топлива и продуктов деления с оболочкой твэлов, теплоносителем и замедлителем при рабочих температурах. Геометрическая форма твэла должна обеспечивать требуемое соотношение площади поверхности и объема и максимальную интенсивность отвода теплоты теплоносителем от всей поверхности твэла, а также гарантировать большую глубину выгорания ядерного топлива и высокую степень удержания продуктов деления. Твэлы должны обладать радиационной стойкостью, иметь требуемые размеры и конструкцию, обеспечивающие возможность быстрого проведения перегрузочных операций; обладать простотой и экономичностью регенерации ядерного топлива и низкой стоимостью. В целях безопасности надежная герметичность оболочек твэлов должна сохраняться в течение всего срока работы активной зоны (3 -5 лет) и последующего хранения отработавших твэлов до отправки на переработку (1 -3 года). При проектировании активной зоны необходимо заранее установить и обосновать допустимые пределы повреждения твэлов (количество и степень повреждения). Активная зона проектируется, таким образом, чтобы при работе на протяжении всего ее расчетного срока службы не превышались установленные пределы повреждения твэлов. Выполнение указанных требований обеспечивается конструкцией активной зоны, качеством теплоносителем, характеристиками и надежностью системы тепло отвода. В процессе эксплуатации возможно нарушение герметичности оболочек отдельных твэлов. Различают два вида такого нарушения: образование микро трещин, через которые газообразные продукты деления выходят из твэла в теплоноситель (дефект типа газовой плотности); возникновение дефектов, при которых возможен прямой контакт топлива с теплоносителем. Условия работы твэлов в значительной мере определяются конструкцией активной зоны, которая должна обеспечивать проектную геометрию размещения твэлов и необходимое с точки зрения температурных условий распределения теплоносителя. Через активную зону при работе реактора из мощности должен поддерживаться стабильный расход теплоносителя, гарантирующего надежный тепло отвод. Активная зона должна быть оснащена датчиками внутри реакторного контроля, которые дают информацию о распределении мощности, нейтронного потока, температурных условиях твэлов и расходе теплоносителя. Активная зона энергетического реактора должна быть спроектирована так, чтобы внутренний механизм взаимодействия нейтронно-физических и тепло физических процессов при любых возмущениях коэффициента размножения устанавливал новый безопасный уровень мощности. Практически безопасность ядерной энергетической установки обеспечивается, с одной стороны, устойчивостью реактора (уменьшением коэффициента размножения с ростом температуры и мощности активной зоны), а, с другой стороны - надежностью системы автоматического регулирования и защиты. С целью обеспечения безопасности в глубину конструкция активной зоны и характеристики ядерного топлива должны исключать возможность образования критических масс делящихся материалов при разрушении активной зоны и рас плавлении ядерного топлива. При конструировании активной зоны должна быть предусмотрена возможность введения поглотителя нейтронов для прекращения цепной реакции в любых случаях, связанных с нарушением охлаждения активной зоны. Активная зона, содержащая большие объемы ядерного топлива для компенсации выгорания, отравления и температурного эффекта, имеет как бы несколько критических масс. Поэтому каждый критический объем топлива должен быть обеспечен средствами компенсации реактивности. Они должны размещаться в активной зоне, таким образом, чтобы исключить возможность возникновения локальных критмасс Реакторы классифицируют по уровню энергии нейтронов, участвующих в реакции деления, по принципу размещения топлива и замедлителя, целевому назначению, виду замедлителя и теплоносителя и их физическому состоянию. По уровню энергетических нейтронов: реакторы могут работать на быстрых нейтронах, на тепловых и на нейтронах промежуточных (резонанснсных) энергий и в соотоветсвии с этим делятся на ректоры на тепловых, быстрых и промежуточных нейтронах (иногда для краткости их называют тепловыми, быстрыми и промежуточными). В реакторе на тепловых нейтронах большая часть деления ядер происходит при поглощении ядрами делящихся изотопов тепловых нейтронов. Реакторы, в которых деление ядер производится в основном нейтронами с энергией больше 0,5 МэВ, называются реакторами на быстрых нейтронах. Реакторы, в которых большинство делений происходит в результате поглощения ядрами делящихся изотопов промежуточных нейтронов, называются реакторами на промежуточных (резонансных) нейтронах. В настоящее время наибольшее распространение получили реакторы на тепловых нейтронах. Для тепловых реакторов характерны концентрации ядерного топлива 235 U в активной зоне от 1 до 100 кг/м 3 и наличие больших масс замедлителя. Для реактора на быстрых нейтронах характерны концентрации ядерного топлива 235 U или 239 U порядка 1000 кг/м 3 и отсутствие замедлителя в активной зоне. В реакторах на промежуточных нейтронах в активной зоне замедлителя очень мало, и концентрация ядерного топлива 235 U в ней от 100 до 1000 кг/м 3 . В реакторах на тепловых нейтронах деление ядер топлива происходит также при захвате ядром быстрых нейтронов, но вероятность этого процесса незначительна (1 - 3 %). Необходимость замедлителя нейтронов вызывается тем, что эффективные сечения деления ядер топлива намного больше при малых значениях энергии нейтронов, чем при больших.
В активной зоне теплового реактора должен находиться замедлитель - вещество, ядра которого имеют малое массовое число. В качестве замедлителя применяют графит, тяжелую или легкую воду, бериллий, органические жидкости. Тепловой реактор может работать даже на естественном уране, если замедлителем служит тяжелая вода или графит. При других замедлителях необходимо использовать обогащенный уран. От степени обогащения топлива зависят необходимые критические размеры реактора, с увеличением степени обогащения они меньше. Существенным недостатком реакторов на тепловых нейтронах является потеря медленных нейтронов в результате захвата их замедлителем, теплоносителем, конструкционными материалами и продуктами деления. Поэтому в таких реакторах в качестве замедлителя, теплоносителя и конструкционных материалов необходимо использовать вещества с малыми сечениями захвата медленных нейтронов. В реакторах на промежуточных нейтронах , в которых большинство актов деления вызывается нейтронами с энергией, выше тепловой (от 1 эВ до 100 кэВ), масса замедлителя меньше, чем в тепловых реакторах. Особенность работы такого реактора состоит в том, что сечение деления топлива с ростом деления нейтронов в промежуточной области уменьшается слабее, чем сечение поглощения конструкционных материалов и продуктов деления. Таким образом, растет вероятность актов деления по сравнению с актами поглощения. Требования к нейтронным характеристикам конструкционных материалов менее жесткие, их диапазон шире. Следовательно, активная зона реактора на промежуточных нейтронах может быть изготовлена из более прочных материалов, что дает возможность повысить удельный тепло съем с поверхности нагрева реактора. Обогащение топлива делящимся изотопом в промежуточных реакторах следствии уменьшения сечения должно быть выше, чем в тепловых. Воспроизводство ядерного топлива в реакторах на промежуточных нейтронах больше, чем в реакторе на тепловых нейтронах. В качестве теплоносителей в промежуточных реакторах используется вещество, слабо замедляющие нейтроны. Например, жидкие металлы. Замедлителем служит графит, бериллий т.д. В активной зоне реактора на быстрых нейтронах размещаются твэлы с высокообогащенные топливом. Активная зона окружается зоной воспроизводства, состоящей из твэлов, содержащих топливное сырье (обедненный уран, торий). Вылетающие из активной зоны нейтроны захватываются в зоне воспроизводства ядрами топливного сырья, в результате образуется новое ядерное топливо. Особым достоинством быстрых реакторов является возможность организации в них расширенного воспроизводство ядерного топлива, т.е. одновременно с выработкой энергии производить вместо выгоревшего ядерного топлива новое. Для быстрых реакторов не требуется замедлитель, а теплоноситель не должен замедлять нейтроны.
Для обеспечения высокой концентрации ядерного топлива необходимо достижение максимального тепловыделения на единицу объема активной зоны. Это можно осуществить только с помощью жидкометаллических теплоносителей, например, натрия, калия или энергоемких газовых теплоносителей, обладающих наилучшими теплотехническими и тепло физическими характеристиками, таких как гелий и диссоциирующие газы. В качестве теплоносителя можно использовать и пары воды. Паразитный захват быстрых нейтронов ядрами конструкционных материалов и продуктов деления крайне незначительный, поэтому для быстрых реакторов существует широкий выбор конструкционных материалов и продуктов деления крайне незначительный, поэтому для быстрых реакторов существует широкий выбор конструкционных материалов, позволяющих повысить надежность активной зоны. Следовательно, в них можно достичь высокой степени выгорания делящихся веществ. В зависимости от способа размещения топлива в активной зоне реакторы делятся на гомогенные и гетерогенные. В гомогенном реакторе ядерное топливо, теплоноситель и замедлитель (если они есть) тщательно перемешаны и находятся в одном физическом состоянии, т.е. активная зона полностью гомогенного реактора представляет жидкую, твердую или газообразную однородную смесь ядерного топлива, теплоносителя или замедлителя. Гомогенные реакторы могут быть как на тепловых, так и на быстрых нейтронах. В таком реакторе вся активная зона находится внутри стального сферического корпуса и представляет жидкую однородную смесь горючего и замедлителя в виде раствора или жидкого сплава (например, раствор уранил сульфата в воде, раствор урана в жидком висмуте), который одновременно выполняет и функцию теплоносителя. Ядерная реакция деления происходит в топливном растворе, находящемся внутри сферического корпуса реактора, в результате температура раствора повышается. Горючий раствор из реактора поступает в теплообменник, где отдает теплоту воде второго контура, охлаждается и циркулярным насосом направляется опять в реактор. Для того чтобы ядерная реакция не произошла вне реактора, объемы трубопроводов контура, теплообменника и насоса подобраны так, чтобы объем горючего, находящегося на каждом участке контура, были намного ниже критического. Гомогенные реакторы имеют ряд преимуществ по сравнению с гетерогенными. Это несложная конструкция активной зоны и минимальные ее размеры, возможность в процессе работы без остановки реактора непрерывно удалять продукты деления и добавлять свежее ядерное топливо, простота приготовления горючего, а также то, что управлять реактором можно, изменяя концентрацию ядерного топлива. Однако, гомогенные реакторы имеют и серьезные недостатки. Гомогенная смесь, циркулирующая по контуру, испускает сильное радиоактивное излучение, что требует дополнительной защиты и усложняет управление реактором. Только часть топлива находится в реакторе и служит для выработки энергии, а другая часть - во внешних трубопроводах, теплообменниках и насосах. Циркулирующая смесь вызывает сильную коррозию и эрозию систем и устройств реактора и контура. Образование в гомогенном реакторе в результате радиолиза воды взрывоопасной гремучей смеси требует устройств для ее сжигания. Все это привело к тому, что гомогенные реакторы не получили широкого распространения. В гетерогенном реакторе топливо в виде блоков размещено в замедлителе, т.е. топливо и замедлитель пространственно разделены.
В настоящее время для энергетических целей проектируют только гетерогенные реакторы. Ядерное топливо в таком реакторе может использоваться в газообразном, жидком и твердом состояниях. Однако, сейчас гетерогенные реакторы работают только на твердом топливе. В зависимости от замедляющего вещества гетерогенные реакторы делятся на графитовые, легко водяные, тяжеловодные и органические. По виду теплоносителя гетерогенные реакторы бывают легко водяные, тяжеловодные, газовые и жидкометаллические. Жидкие теплоносители внутри реактора могут быть в однофазном и двухфазном состояниях. В первом случае теплоноситель внутри реактора не кипит, а во втором - кипит. Реакторы, в активной зоне которых температура жидкого теплоносителя ниже температуры кипения, называются реакторами с водой под давлением, а реакторы, внутри которых происходит кипение теплоносителя, - кипящими. В зависимости от используемого замедлителя и теплоносителя гетерогенные реакторы выполняются по разным схемам. В России основные типы ядерных энергетических реакторов - водо-водяные и водографитовые. По конструктивному исполнению реакторы подразделяются на корпусные и канальные. В корпусных реакторах давление теплоносителя несет корпус. Внутри корпуса реактора течет общий поток теплоносителя. В канальных реакторах теплоноситель подводится к каждому каналу с топливной сборкой раздельно. Корпус реактора не нагружен давлением теплоносителя, это давление несет каждый отдельный канал. В зависимости от назначения ядерные реакторы бывают энергетические, конверторы и раз множители, исследовательские и многоцелевые, транспортные и промышленные. Ядерные энергетические реакторы используются для выработки электроэнергии на атомных электростанциях, в судовых энергетических установках, на атомных теплоэлектроцентралях (АТЭЦ), а также на атомных станциях теплоснабжения (АСТ). Реакторы, предназначенные для производства вторичного ядерного топлива из природного урана и тория, называются конверторами или раз множителями . В реакторе - конверторе вторичного ядерного топлива образуется меньше первоначально израсходованного. В реакторе - раз множителе осуществляется расширенное воспроизводство ядерного топлива, т.е. его получается больше, чем было затрачено. Исследовательские реакторы служат для исследований процессов взаимодействия нейтронов с веществом, изучения поведения реакторных материалов в интенсивных полях нейтронного и гамма-излучений, радиохимических и биологических исследований, производства изотопов, экспериментального исследования физики ядерных реакторов. Реакторы имеют различную мощность, стационарный или импульсный режим работы. Наибольшее распространение получили водо-водяные исследовательские реакторы на обогащенном уране. Тепловая мощность исследовательских реакторов колеблется в широком диапазоне и достигает нескольких тысяч киловатт. Многоцелевыми называются реакторы, служащие для нескольких целей, например, для выработки энергии и получения ядерного топлива.
Ядерный реактор в подкритическом режиме как усилитель энергии.
Представим себе, что мы собрали атомный реактор, имеющий эффективный коэффициент размножения нейтронов k эф немного меньше единицы. Облучим это устройство постоянным внешним потоком нейтронов N 0. Тогда каждый нейтрон (за вычетом вылетевших наружу и поглощённых, что учтено в k эф ) вызовет деление, которое даст дополнительный поток N 0 k 2 эф . Каждый нейтрон из этого числа снова произведёт в среднем k эф нейтронов, что даст дополнительный поток N 0 k эф и т.д. Таким образом, суммарный поток нейтронов, дающих процессы деления, оказывается равным
N = N
0
( 1 + k
эф
+ k
2
эф
+ k
3
эф
+ ...) = N
0
Если k эф > 1, ряд в этой формуле расходится, что и является отражением критического поведения процесса в этом случае. Если же k эф < 1, ряд благополучно сходится и по формуле суммы геометрической прогрессии имеем
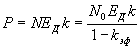
Выделение энергии в единицу времени ( мощность ) тогда определяется выделением энергии в процессе деления,
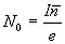
где к <1 - коэффициент, равный отношению числа нейтронов, вызвавших деление, к полному их числу. Этот коэффициент зависит от конструкции установки, используемых материалов и т.д. Он надёжно вычисляется. В примерах k=0,6. Осталось выяснить, как можно получить первоначальный поток нейтронов N 0 . Для этого можно использовать ускоритель, дающий достаточно интенсивный поток протонов или других частиц, которые, реагируя с некоторой мишенью, порождают большое кол-во нейтронов. Действительно, например, при столкновении с массивной свинцовой мишенью каждый протон, ускоренный до энергии 1ГэВ ( 10 9 эВ ), производит в результате развития ядерного каскада в среднем n = 22 нейтрона. Энергии их составляют несколько мега электрон -вольт, что как раз соответствует работе реактора на быстрых нейтронах. Удобно представить поток нейтронов через ток ускорителя
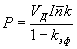
где е- заряд протонов, равный элементарному электрическому заряду. Когда мы выражаем энергию в электрон-вольт, это значит, что мы берём представление Е = еV, где V- соответствующий этой энергии потенциал, содержащий столько вольт, сколько электрон-вольт содержит энергия. Это значит, что с учётом предыдущей формулы можно переписать формулу выделения энергии
Наконец удобно представить мощность установки в виде
где V- потенциал, соответствующий энергии ускорителя, так что VI по известной формуле есть мощность пучка ускорителя: P
0
= VI, а R
0
в предыдущей формуле есть коэффициент для k
эф
= 0,98,что обеспечивает надёжный запас подкритичности. Все остальные величины известны, и для энергии протонного ускорителя 1 ГэВ имеем
Инженерные аспекты термоядерного реактора: Термоядерный реактор-токамак состоит из следующих основных частей: магнитной, криогенной и вакуумной систем, системы энергопитания, бланкета, тритиевого контура и защиты, системы дополнительного нагрева плазмы и подпитки ее топливом, а также системы дистанционного управления и обслуживания. Магнитная система содержит катушки тороидального магнитного поля, индуктор для поддержания тока и индукционного нагрева плазмы и обмотки, формирующие полоидальное магнитное поле, которое необходимо для работы дивертора и поддержания равновесия плазменного шнура. Чтобы исключить джоулевы потери, магнитная система, как указывалось ранее, будет полностью сверхпроводящей. Для обмоток магнитной системы предполагается использовать сплавы ниобий — титан и ниобий — олово.
Создание магнитной системы реактора на сверхпроводнике с
В
Криогенная система включает в себя криостат магнитной системы и криопанели в инжекторах дополнительного нагрева плазмы. Криостат имеет вид вакуумной камеры, в которой заключены все охлаждаемые конструкции. Каждая катушка магнитной системы помещена в жидкий гелий. Его пары охлаждают специальные экраны, расположенные внутри криостата для уменьшения тепловых потоков с поверхностей, находящихся при температуре жидкого гелия. В криогенной системе предусмотрены два контура охлаждения, в одном из которых циркулирует жидкий гелий, обеспечивающий требуемую для нормальной работы сверхпроводящих катушек температуру около 4 К, а в другом — жидкий азот, температура которого составляет 80 - 95 К. Этот контур служит для охлаждения перегородок, разделяющих части с гелиевой и комнатной температурами. Криопанели инжекторов охлаждаются жидким гелием и предназначены для поглощения газов, что позволяет поддерживать достаточную скорость откачки при относительно высоком разрежении. Вакуумная система обеспечивает откачку гелия, водорода и примесей из полости дивертора или из окружающего плазму пространства в процессе работы реактора, а также из рабочей камеры в паузах между импульсами. Чтобы откачиваемый тритий не выбрасывался в окружающую среду, в системе необходимо предусмотреть замкнутый контур с минимальным количеством циркулирующего трития. Откачивать газ можно турбомолекулярными насосами, производительность которых должна несколько превышать достигнутую на сегодняшний день. Длительность паузы для подготовки рабочей камеры к следующему импульсу при этом не превышает 30 с. Система энергопитания существенно зависит от режима работы реактора. Она заметно проще для токамака, работающего в непрерывном режиме. При работе в импульсном режиме целесообразно использовать комбинированную систему питания - сеть и мотор-генератор. Мощность генератора определяется импульсными нагрузками и достигает 10 6 кВт. Бланкет реактора расположен за первой стенкой рабочей камеры и предназначен для захвата нейтронов, образующихся в DT-реакции, воспроизводства "сгоревшего" трития и превращения энергии нейтронов в тепловую энергию. В гибридном термоядерном реакторе бланкет служит также для получения делящихся веществ. Бланкет — это, по существу, то новое, что отличает термоядерный реактор от обычной термоядерной установки. Опыта по конструированию и эксплуатации бланкета пока нет, поэтому потребуются инженерно-конструкторские разработки литиевого и уранового бланкетов. Тритиевый контур состоит из нескольких независимых узлов, обеспечивающих регенерацию откачиваемого из рабочей камеры газа, его хранение и подачу для подпитки плазмы, извлечение трития из бланкета и возврат его в систему питания, а также очистку от него отработанных газов и воздуха. Защита реактора делится на радиационную и биологическую. Радиационная защита ослабляет поток нейтронов и снижает энерговыделение в сверхпроводящих катушках. Для нормальной работы магнитной системы при минимальных энергозатратах необходимо ослабить нейтронный поток в 10 s —10 6 раз. Радиационная защита находится между бланкетом и катушками тороидального поля и закрывает всю поверхность рабочей камеры, за исключением каналов дивертора и вводов инжекторов. В зависимости от состава толщина защиты составляет 80- 130см. Биологическая защита совпадает со стенами реакторного зала и сделана из бетона толщиной 200 — 250 см. Она предохраняет окружающее пространство от излучения. Системы дополнительного нагрева плазмы и подпитки ее топливом занимают значительное пространство вокруг реактора. Если нагрев плазмы осуществляется пучками быстрых атомов, то радиационная защита должна окружать весь инжектор, что неудобно для расположения оборудования в реакторном зале и обслуживания реактора. Системы нагрева токами высокой частоты в этом смысле привлекательнее, так как их устройства ввода (антенны) более компактны, а генераторы могут быть установлены за пределами реакторного зала. Исследования на токамаках и разработка конструкции антенн позволят сделать окончательный выбор системы нагрева плазмы. Система управления — неотъемлемая часть термоядерного реактора. Как и в любом реакторе, из-за довольно высокого уровня радиоактивности в пространстве, окружающем реактор, управление и обслуживание в нем осуществляются дистанционно — как во время работы, так и в периоды остановок. Источником радиоактивности в термоядерном реакторе являются, во-первых, тритий, распадающийся с испусканием электронов и низкоэнергетичных 7-квантов (период его полураспада составляет около 13 лет), а во-вторых, радиоактивные нуклиды, образующиеся при взаимодействии нейтронов с конструкционными материалами бланкета и рабочей камеры. Для наиболее распространенных из них (стали, сплавов молибдена и ниобия) активность достаточно велика, но все же примерно в 10—100 раз меньше, чем в ядерных реакторах аналогичной мощности. В перспективе в термоядерном реакторе предполагается использовать материалы, обладающие малой наведенной активностью, например алюминий и ванадий. Пока же термоядерный реактор-токамак проектируется с учетом дистанционного обслуживания, что предъявляет дополнительные требования к его конструкции. В частности, он будет состоять из соединяемых между собой одинаковых секций, которые заполнят различными стандартными блоками (модулями). Это позволит в случае необходимости сравнительно просто заменять отдельные узлы с помощью специальных манипуляторов.
Ядерные реакции. Ядерная энергетика.
Атомное ядро Атомное ядро характеризуется зарядом Ze, массой М, спином J, магнитным и электрическим квадрупольным моментом Q, определенным радиусом R, изотоническим спином Т и состоит из нуклонов - протонов и нейтронов. Число нуклонов А в ядре называется массовым числом . Число Z называют зарядовым числом ядра или атомным номером. Поскольку Z определяет число протонов, а А - число нуклонов в ядре, то число нейронов в атомном ядре N=A-Z. Атомные ядра с одинаковыми Z, но различными А называются изотопами . В среднем на каждое значение Z приходится около трех стабильных изотопов. Например, 28 Si, 29 Si, 30 Si являются стабильными изотопами ядра Si. Кроме стабильных изотопов, большинство элементов имеют и нестабильные изотопы, для которых характерно ограниченное время жизни. Ядра с одинаковым массовым числом А называются изобарами , а с одинаковым числом нейтронов- изотонами . Все атомные ядра разделяются на стабильные и нестабильные. Свойства стабильных ядер остаются неизменными неограниченно долго. Нестабильные же ядра испытывают различного рода превращения . Экспериментальные измерения масс атомных ядер, выполненные с большой точностью, показывают, что масса ядра всегда меньше суммы масс составляющих его нуклонов. Энергия связи - это энергия, которую необходимо затратить, чтобы разделить ядро на составляющие его нуклоны. Энергия связи, отнесенная к массовому числу А, называется средней энергией связи нуклона в атомном ядре (энергия связи на один нуклон). Энергия связи приблизительно постоянна для всех стабильных ядер и примерно равна 8 МэВ. Исключением является область легких ядер, где средняя энергия связи растет от нуля (А=1) до 8 МэВ для ядра 12 С. Аналогично энергия связи на один нуклон можно ввести энергию связи ядра относительно других составных его частей. В отличие от средней энергии связи нуклонов количество энергии связи нейрона и протона изменяется от ядра к ядру. Часто вместо энергии связи используют величину, называемую дефектом массы и равную разности масс и массового числа атомного ядра.
Гамма-Излучение Гамма-излучение – это коротковолновое электромагнитное излучение. На шкале электромагнитных волн оно граничит с жестким рентгеновским излучением, занимая область более высоких частот. Гамма-излучение обладает чрезвычайно малой длинной волны (λ < 10 -8 см) и вследствие этого ярко выраженными корпускулярными свойствами, т.е. ведет себя подобно потоку частиц – гамма квантов, или фотонов, с энергией hν (ν – χ астота излучения, h – Планка постоянная). Гамма- излучение возникает при распадах радиоактивных ядер, элементарных частиц, при аннигиляции пар частицы-античастица, а также при прохождении быстрых заряженных частиц через вещество. Гамма-излучение, сопровождающее распад радиоактивных ядер, испускается при переходах ядра из более возбужденного энергетического состояния в менее возбужденное или в основное. Энергия γ – кванта равна разности энергий Δε ρ остояний, между которыми происходит переход. Возбужденное состояние
Е2
hν
Основное состояние ядра Е1 Испускание ядром γ-кванта не влечет за собой изменения атомного номера или массового числа, в отличие от других видов радиоактивных превращений. Ширина линий гамма-излучений чрезвычайно мала (~10 -2 эв). Поскольку расстояние между уровнями во много раз больше ширины линий, спектр гамма-излучения является линейчатым, т.е. состоит из ряда дискретных линий. Изучение спектров гамма-излучения позволяет установить энергии возбужденных состояний ядер. Гамма-кванты с большими энергиями испускаются при распадах некоторых элементарных частиц. Так, при распаде покоящегося π 0 - мезона возникает гамма-излучение с энергией ~70Мэв. Гамма-излучение от распада элементарных частиц также образует линейчатый спектр. Однако испытывающие распад элементарные частицы часто движутся со скоростями, сравнимыми с скоростью света. Вследствие этого возникает доплеровское уширение линии и спектр гамма-излучения оказывается размытым в широком интервале энергий. Гамма-излучение, образующееся при прохождении быстрых заряженных частиц через вещество, вызывается их торможением к кулоновском поле атомных ядер вещества. Тормозное гамма –излучение, также как и тормозное рентгеноовское излучение, характерезуется сплошным спектром, верхняя граница которого совпадает с энергией заряженной частицы, например электрона. В ускорителях заряженных частиц получают тормозное гамма- излучение с максимальной энергией до нескольких десятков Гэв. В межзвёзном пространстве гамма-излучение может возникать в результате соударений квантов более мягкого длинноволнового, электромагнитного излучения, например света, с электронами, ускоренными магнитными полями космических объектов. При этом быстрый электрон передает свою энергию электромагнитному излучению и видимый свет превращается в более жесткое гамма-излучение. Аналогичное явление может иметь место в земных условиях при столновении электронов большой энергии, получаемых на ускорителях, с фотонами видимого света в интенсивных пучках света, создаваемых лазерами. Электрон передает энергию световому фотону, который превращается в γ-квант. Таким образом, можно на практике превращать отдельные фотоны света в кванты гамма-излучения высокой энергии. Гамма-излучение обладает большой проникающей способностью, т.е. может проникать сквозь большие толщи вещества без заметного ослабления. Основные процессы, происходящие при взаимодействии гамма-излучения с веществом, - фотоэлектрическое поглощение (фотоэффект), комптоновское рассеяние (комптон-эффект) и образавание пар электрон-позитрон. При фотоэффекте происходит поглощение γ-кванта одним из электронов атома, причём энергия γ-кванта преобразуется ( за вычетом энергии связи электрона в атоме ) в кинетическую энергию электрона, вылетающего за пределы атома. Вероятность фотоэффекта прямо пропорциональна пятой степени атомного номера элемента и обратно пропорциональна 3-й степени энергии гамма-излучения. Таким образом, фотоэффект преобладает в области малых энергии γ-квантов ( £ 100 кэв ) на тяжелых элементах ( Pb, U). При комптон-эффекте происходит рассеяние γ-кванта на одном из электронов, слабо связанных в атоме. В отличие от фотоэффекта, при комптон-эффекте γ-квант не исчезает, а лишь изменяет энергию ( длинну волны ) и направление распрастранения. Узкий пучок гамма-лучей в результате комптон-эффекта становится более широким, а само излучение - более мягким (длинноволновым ). Интенсивность комптоновского рассеяния пропорциональна числу электронов в 1см 3 вещества, и поэтому вероятность этого процесса пропорциональна атомному номеру вещества. Комптон-эффект становится заметным в веществах с малым атомным номером и при энергиях гамма-излучения, превышвют энергию связи электронов в атомах. Так, в случае Pb вероятность комптоновского рассеяния сравнима с вероятностью фотоэлектрического поглощения при энергии ~ 0,5 Мэв. В случае Al комптон-эффект преобладает при гораздо меньших энергиях. Если жнергия γ-кванта превышает 1,02 Мэв, становится возможным процесс образования электрон-позитроновых пар в электрическом поле ядер. Вероятность образования пар пропорциональна квадрату атомного номера и увеличивается с ростом hν. Поэтому при hν ~10 Мэв основным процессом в любом веществе оказывается образование пар.
100
50
0 0,1 0,5 1 2 5 10 50 Энергия γ-лучей ( Мэв )
Обратный процесс аннигиляция электрон-позитронной пары является источником гамма-излучения. Для характеристики ослабления гамма-излучения в веществе обычно пользуются коэффициентом поглощения, который показывает, на какой толщине Х поглотителя интенсивность I 0 падающего пучка гамма-излучение ослабляется в е раз: I=I 0 e -μ0x Здесь μ 0 – линейный коэффициент поглощения гамма-излучения. Иногда вводят массовый коэффициент поглощения, равный отношению μ 0 к плотности поглотителя. Экспоненциальный закон ослабления гамма-излучения справедлив для узкого направления пучка гамма-лучей, когда любой процесс, как поглощения, так и рассеяния, выводит гамма-излучение из состава первичного пучка. Однако при высоких энергиях процесс прохождения гамма-излучения через вещество значительно усложняется. Вторичные электроны и позитроны обладают большой энергией и поэтому могут, в свою очередь, создавать гамма-излучение благодаря процессам торможения и аннигиляциии. Таким образом в веществе возникает ряд чередующихся поколений вторичного гамма-излучения, электронов и позитронов, то есть происходит развитие каскадного ливня. Число вторичных частиц в таком ливне сначала возрастает с толщиной, достигая максимума. Однако затем процессы поглощения начинают преобладать над процессами размножения частиц и ливень затухает. Способность гамма-излучения развивать ливни зависит от соотношения между его энергией и так называемой критической энергией, после которой ливень в данном веществе практически теряет способность развиваться. Для изменения энергии гамма-излучения в эксперементальной физике применяются гамма-спектрометры различных типов, основанные большей частью на измерении энергии вторичных электронов. Основные типы спектрометров гамма-излучения: магнитные, сцинтиляционные, полупроводниковые, кристал-дифракционные. Изучение спектров ядерных гамма-излучений дает важную информацию о структуре ядер. Наблюдение эффектов, связанных с влиянием внешней среды на свойства ядерного гамма-излучения, используется для изучения свойств твёрдых тел. Гамма-излучение находит применение в технике, например для обнаружения дефектов в металлических деталях – гамма-дефектоскопия. В радиационной химии гамма-излучение применяется для инициирования химических превращений, например процессов полимеризации. Гамма-излучение используется в пищевой промышленности для стерилизации продуктов питания. Основными источниками гамма-излучения служат естественные и искусственные радиоактивные изотопы, а также электронные ускорители. Действие на организм гамма-излучения подобно действию других видов ионизирующих излучений. Гамма-излучение может вызывать лучевое поражение организма, вплоть до его гибели. Характер влияния гамма-излучения зависит от энергии γ-квантов и пространственных особенностей облучения, например, внешнее или внутреннее. Относительная биологическая эффективность гамма-излучения составляет 0,7-0,9. В производственных условиях (хроническое воздействие в малых дозах) относительная биологическая эффективность гамма-излучения принята равной 1. Гамма-излучение используется в медицине для лечения опухолей, для стерилизации помещений, аппаратуры и лекарственных препаратов. Гамма-излучение применяют также для получения мутаций с последующим отбором хозяйственно-полезных форм. Так выводят высокопродуктивные сорта микроорганизмов (например, для получения антибиотиков ) и растений. Современные возможности лучевой теропии расширились в первую очередь за счёт средств и методов дистанционной гамма-теропии. Успехи дистанционной гамма-теропии достигнуты в результате большой работы в области использования мощных искусственных радиоактивных источников гамма-излучения (кобальт-60, цезий-137), а также новых гамма-препаратов. Большое значение дистанционной гамма-теропии объясняется также сравнительной доступностью и удобствами использования гамма-аппаратов. Последние, так же как и рентгеновские, конструируют для статического и подвижного облучения. С помощью подвижного облучения стремятся создать большую дозу в опухоли при рассредоточенном облучении здоровых тканей. Осуществлены конструктивные усовершенствования гамма-аппаратов, направленные на уменьшение полутени, улучшение гомогенизации полей, использование фильтров жалюзи и поиски дополнительных возможностей защиты. Использование ядерных излучений в растениеводстве открыло новые, широкие возможности для изменения обмена веществ у сельскохозяйственных растений, повышение их урожайности, ускорения развития и улучшения качества. В результате первых исследований радиобиологов было установлено, что ионизирующая радиация – мощный фактор воздействия на рост, развитие и обмен веществ живых организмов. Под влиянием гамма-облучения у растений, животных или микроорганизмов меняется слаженный обмен веществ, ускоряется или замедляется (в зависимости от дозы) течение физиологических процессов, наблюдаются сдвиги в росте, развитии, формировании урожая. Следует особо отметить, что при гамма-облучении в семена не попадают радиоактивные вещества. Облученные семена, как и выращенный из них урожай, нерадиоактивны. Оптимальные дозы облучения только ускоряют нормальные процессы, происходящие в растении, и поэтому совершенно необоснованны какие-либо опасения и предостережения против использования в пищу урожая, полученного из семян, подвергавшихся предпосевному облучению. Ионизирующие излучения стали использовать для повышения сроков хранения сельскохозяйственных продуктов и для уничтожения различных насекомых-вредителей. Например, если зерно перед загрузкой в элеватор пропустить через бункер, где установлен мощный источник радиации, то возможность размножения насекомых-вредителей будет исключена и зерно сможет храниться длительное время без каких-либо потерь. Само зерно как питательный продукт не меняется при таких дозах облучения. Употребление его для корма четырех поколений экспериментальных животных не вызвало каких бы то ни было отклонений в росте, способности к размножению и других патологических отклонений от нормы.
Атомный реактор. Источником энергии реактора служит процесс деления тяжелых ядер. Напомним, что ядра состоят из нуклонов, то есть протонов и нейтронов. При этом количество протонов Z определяет заряд ядра Ze: оно равно номеру элемента из таблицы Менделеева, а атомный вес ядра А – суммарному количеству протонов и нейтронов. Ядра, имеющие одинаковое число протонов, но различное число нейтронов, являются различными изотопами одного и того же элемента и обозначается символом элемента с атомным весом слева вверху. Например, существуют следующие изотопы урана: 238 U, 235 U, 233 U,...
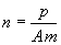
Масса ядра М не просто равна сумме масс составляющих его протонов и нейтронов, а меньше её на величину
Е д = 180 МэВ = 180 10 6 эВ.
Таким образом, тяжелые ядра являются потенциональными источниками энергии. Однако самопроизвольное деление ядер происходит исключительно редко и практически значения не имеет. Если же в тяжелое ядро попадает нейтрон, то процесс деления может резко убыстриться. Это явление происходит с различной интенсивностью для различных ядер, и мерой его служит эффективное поперечное сечение процесса. Напомним, как определяются эффективные сечения и как они связаны с вероятностями тех или иных процессов. Представим себе пучок частиц, (например, нейтронов), падающих на мишень, состоящую из определённых объектов, скажем ядер. Пусть N
0
- число нейтронов в пучке, n-плотность ядер, приходящаяся на единицу объема (1 см
3
). Пусть нас интересуют события определённого сорта, например деление ядер мишени. Тогда число таких событий N будет определяться формулой N=N
0
nl
Итак, пусть для некоторого ядра мы имеем достаточно большое эффективное сечение процесса деления при этом, при делении наряду с двумя большими осколками А
1
и А
2
могут вылететь несколько нейтронов. Средне число дополнительных нейтронов называется коэффициентом размножения и обозначается символом k
n+A A 1 +A 2 +k
Родившиеся в этом процессе нейтроны, в свою очередь, реагируют с ядрами А, что даёт новые реакции деления и новое, ещё большее число нейтронов. Если k > 1, такой цепной процесс происходит с нарастающей интенсивностью и приводит к взрыву с выделением огромного кол-ва энергии. Но процесс этот можно контролировать. Не все нейтроны обязательно попадут в ядро А: они могут выйти наружу через внешнюю границу реактора, могут поглотиться в веществах, которые специально вводятся в реактор. Таким образом, величину k
Как выбирается рабочее вещество для атомного реактора? Необходимо, чтобы в топливных элементах присутствовали ядра изотопа с большим эффективным сечением деления. Единица измерения сечения 1 барн = 10
-24
см
2
. Мы видим две группы значений сечений: (
233
U,
235
U,
239
Pu ) и малые(
232
Th,
238
U). Для того, чтобы представить себе разницу, вычислим, какое расстояние должен пролететь нейтрон, чтобы произошло событие деления. Воспользуемся для этого формулой N=N
0
nl
238 U + n (
где
Z (Z+1)+e +v. Здесь Z определяет заряд ядра, так что при распаде происходит к следующему элементу таблицы Менделеева с тем же А, е- электрон и v-электронное антинейтрино. Необходимо отметить также, что изотопы А 1 , А 2 , получающиеся в процессе деления, как правило, являются радиоактивными с временами полураспада от года до сотен тысяч лет, так что отходы атомных электростанций, представляющие собой выгоревшее топливо, очень опасны и требуют специальных мер для хранения. Здесь возникает проблема геологического хранения, которое должно обеспечить надёжность на миллионы лет вперёд. Несмотря на очевидную пользу атомной энергетики, основанной на работе ядерных реакторов в критическом режиме, она имеет и серьезные недостатки. Это, во-первых, риск аварий, аналогичных Чернобыльской, и, во-вторых, проблема радиоактивных отходов. Предложение использовать для атомной энергетики реакторы, работающие в подкритическом режиме, полностью разрешает первую проблему и в значительной степени облегчает решение второй. Ядерный реактор в подкритическом режиме как усилитель энергии. Представим себе, что мы собрали атомный реактор, имеющий эффективный коэффициент размножения нейтронов k эф немного меньше единицы. Облучим это устройство постоянным внешним потоком нейтронов N 0. Тогда каждый нейтрон (за вычетом вылетевших наружу и поглощённых, что учтено в k эф ) вызовет деление, которое даст дополнительный поток N 0 k 2 эф . Каждый нейтрон из этого числа снова произведёт в среднем k эф нейтронов, что даст дополнительный поток N 0 k эф и т.д. Таким образом, суммарный поток нейтронов, дающих процессы деления, оказывается равным
N = N
0
( 1 + k
эф
+ k
2
эф
+ k
3
эф
+ ...) = N
0
Если k эф > 1, ряд в этой формуле расходится, что и является отражением критического поведения процесса в этом случае. Если же k эф < 1, ряд благополучно сходится и по формуле суммы геометрической прогрессии имеем
Выделение энергии в единицу времени ( мощность ) тогда определяется выделением энергии в процессе деления,
где к <1 - коэффициент, равный отношению числа нейтронов, вызвавших деление, к полному их числу. Этот коэффициент зависит от конструкции установки, используемых материалов и т.д. Он надёжно вычисляется. В примерах k=0,6. Осталось выяснить, как можно получить первоначальный поток нейтронов N 0 . Для этого можно использовать ускоритель, дающий достаточно интенсивный поток протонов или других частиц, которые, реагируя с некоторой мишенью, порождают большое кол-во нейтронов. Действительно, например, при столкновении с массивной свинцовой мишенью каждый протон, ускоренный до энергии 1ГэВ ( 10 9 эВ ), производит в результате развития ядерного каскада в среднем n = 22 нейтрона. Энергии их составляют несколько мега электрон -вольт, что как раз соответствует работе реактора на быстрых нейтронах. Удобно представить поток нейтронов через ток ускорителя
где е- заряд протонов, равный элементарному электрическому заряду. Когда мы выражаем энергию в электрон-вольт, это значит, что мы берём представление Е = еV, где V- соответствующий этой энергии потенциал, содержащий столько вольт, сколько электрон-вольт содержит энергия. Это значит, что с учётом предыдущей формулы можно переписать формулу выделения энергии
Наконец удобно представить мощность установки в виде
где V- потенциал, соответствующий энергии ускорителя, так что VI по известной формуле есть мощность пучка ускорителя: P
0
= VI, а R
0
в предыдущей формуле есть коэффициент для k
эф
= 0,98,что обеспечивает надёжный запас подкритичности. Все остальные величины известны, и для энергии протонного ускорителя 1 ГэВ имеем
Принцип построения атомной энергетики.
Как известно, все в мире состоит из молекул, которые представляют собой сложные комплексы взаимодейст- вующих атомов. Молекулы - это наименьшие частицы вещества, сохраняющие его свойства. В состав молекул входят атомы различных химических элементов.
Химические элементы состоят из атомов одного типа. Атом, мельчайшая частица химического элемента, сос- тоит из "тяжелого" ядра и вращающихсявокруг электро- нов.
Ядра атомов образованы совокупностью положительно заряженных протонов и нейтральных нейтронов. Эти частицы, называемые нуклонами, удерживаются в ядрахкороткодействующими силами притяжения, возникающими за счет обменов мезонами, частицами меньшей массы.
Ядро элемента X обозначают как или X-A, например уран U-235 - ,
где Z - заряд ядра, равный числу протонов, определяющий атомный номер ядра, A - массовое число ядра, равное суммарному числу протонов и нейтронов.
Ядра элементов с одинаковым числом протонов, но разным числом нейтронов называются изотопами (например, уран имеет два изотопа U-235 и U-238); ядра при N=const, z=var - изобарами.
Ядра водорода, протоны, а также нейтроны, электроны (бета-частицы) и одиночные ядра гелия (называемые альфа-частицами), могут существовать автономно вне ядерных структур. Такие ядра или иначе элементарные частицы, двигаясь в пространстве и приближаясь к ядрам на расстояния порядка поперечных размеров ядер, могут взаимодействовать с ядрами, как говорят участвовать в реакции. При этом частицы могут захватываться ядрами, либо после столкновения - менять направление движения, отдавать ядру часть кинетической энергии. Такие акты взаимодействия называются ядерными реакциями. Реакция без проникновения внуть ядра называется упругим рассеянием.
После захвата частицы составное ядро находится в возбужденном состоянии. "Освободиться" от возбуждения ядро может несколькими способами - испустить какую-либо другую частицу и гамма-квант, либо разделиться на две неравные части. Соответственно конечным результатам различают реакции - захвата, неупругого рассеяния, деления, ядерного превращения с испусканием протона или альфа-частицы.
Дополнительная энергия, освобождаемая при ядерных превращениях, часто имеет вид потоков гамма-квантов.
Вероятность реакции характеризуется величиной "поперечного сечения" реакции данного типа. Деление тяжелых ядер происходит при захвате нейтронов. При этом испускаются новые частицы и освобождается энергия связи ядра, передаваемая осколкам деления. Это фундаментальное явление было открыто в конце 30-ых годов немецкими уче- ными Ганом и Штрасманом, что заложило основу для практического использования ядерной энергии.
Ядра тяжелых элементов - урана, плутония и некоторых других интенсивно поглощают тепловые нейтроны. После акта захвата нейтрона, тяжелое ядро с вероятностью ~0,8 делится на две неравные по массе части, называемые осколками или продуктами деления. При этом испускаются - быстрые нейтроны/ (в среднем около 2,5 нейтронов на каждый акт деления), отрицательно заряженные бета-частиц и нейтральные гамма-кванты, а энергия связи частиц в ядре преобразуется в кинетическую энергию осколков деления, нейтронов и других частиц. Эта энергия затем расходуется на тепловое возбуждение составляющих вещество атомов и молекул, т.е. на разогревание окружающего вещества.
После акта деления ядер рожденные при делении осколки ядер, будучи нестабильными, претерпевают ряд последовательных радиоактивных превращений и с некоторым запаздыванием испускают "запаздывающие" нейтроны, большое число альфа, бета и гамма-частиц. С другой стороны некоторые осколки обладают способностью интенсивно поглощать нейтроны.
Ядерный реактор - это техническая установка, в которой осуществляется самоподдерживающаяся цепная реакция деления тяжелых ядер с освобождением ядерной энергии. Ядерный реактор состоит из активной зоны и отражателя, размещенных в защитном корпусе.Активная зона содержит ядерное топливо в виде топливной композиции в защитном покрытии и замедлитель. Топливные элементы обычно имеют вид тонких стержней. Они собраны в пучки и заключены в чехлы. Такие сборные композиции называются сборками или кассетами.
Вдоль топливных элементов двигается теплоноситель, который воспринимает тепло ядерных превращений. Нагретый в активной зоне теплоноситель двигается по контуру циркуляции за счет работы насосов либо под действием сил Архимеда и, проходя через теплообменник, либо парогенератор, отдает тепло теплоносителю внешнего контура.
Перенос тепла и движения его носителей можно представить в виде простой схемы:
1.Реактор 2.Теплообменник, парогенератор 3.Паротурбинная установка 4.Генератор 5.Конденсатор 6.Насос
Развитие индустриального общества опирается на постоянно растущий уровень производства и потребления различных видов энергии.
Как известно, в основе производства тепловой и электрической энергии лежит процесс сжигания ископаемых энергоресурсов -
а в атомной энергетике - деление ядер атомов урана и плутония при поглощении нейтронов.
Масштаб добычи и расходования ископаемых энергоресурсов, металлов, потребления воды, воздуха для производства необходимого человечеству количества энергии огромен, а запасы ресурсов, увы, ограничены. Особенно остро стоит проблема быстрого исчерпания запасов органических природных энергоресурсов.
1 кг природного урана заменяет 20 т угля.
Мировые запасы энергоресурсов оцениваются величиной 355 Q, где Q - единица тепловой энергии, равная Q=2,52*1017 ккал = 36*109 тонн условного топлива /т.у.т/, т.е. топлива с калорийностью 7000 ккал/кг, так что запасы энергоресурсов составляют 12,8*1012 т.у.т.
Из этого количества примерно 1/3 т.е. ~ 4,3*1012 т.у.т. могут быть извлечены с использованием современной техники при умеренной стоимости топливодобычи. С другой стороны современнные потребности в энергоносителях составляют 1,1*1010 т.у.т./год, и растут со скоростью 3-4% в год, т.е. удваиваются каждые 20 лет.
Легко оценить, что органические ископаемые ресурсы, даже если учесть вероятное замедление темпов роста энергопотребления, будут в значительной мере израсходованы в будущем веке.
Отметим кстати, что при сжигании ископаемых углей и нефти, обладающих сернистостью около 2,5 %, ежегодно образуется до 400 млн.т. сернистого газа и окислов азота, т.е. около 70 кг. вредных веществ на каждого жителя земли в год.
Использование энергии атомного ядра, развитие атомной энергетики снимает остроту этой проблемы.
Действительно, открытие деления тяжелых ядер при захвате нейтронов, сделавшее наш век атомным, прибавило к запасам энергетического ископаемого топлива существенный клад ядерного горючего. Запасы урана в земной коре оцениваются огромной цифрой 1014 тонн. Однако основная масса этого богатства находится в рассеяном состоянии - в гранитах, базальтах. В водах мирового океана количество урана достигает 4*109 тонн. Однако богатых месторождений урана, где добыча была бы недорога, известно сравнительно немного. Поэтому массу ресурсов урана,которую можно добыть при современной технологии и при умеренных ценах, оценивают в 108 тонн. Ежегодные потребности в уране составляют, по современным оценкам, 104 тонн естественного урана. Так что эти запасы позволяют, как сказал академик А.П.Александров, "убрать Дамоклов меч топливной недостаточности практически на неограниченное время".
Другая важная проблема современного индустриального общества - обеспечение сохранности природы, чистоты воды, воздушного бассейна.
Известна озабоченность ученых по поводу "парникового эффекта", возникающего из-за выбросов углекислого газа при сжигании органического топлива, и соответствующего глобального потепления климата на нашей планете. Да и проблемы загазованности воздушного бассейна, "кислых" дождей, отравления рек приблизились во многих районах к критической черте.
Атомная энергетика не потребляет кислорода и имеет ничтожное количество выбросов при нормальной эксплуатации. Если атомная энергетика заменит обычную энергетику, то возможности возникновения "парника" с тяжелыми экологическими последствиями глобального потепления будут устранены.
Чрезвычайно важным обстоятельством является тот факт, что атомная энергетика доказала свою экономическую эффективность практически во всех районах земного шара. Кроме того, даже при большом масштабе энергопроизводства на АС атомная энергетика не создаст особых транспортных проблем, поскольку требует ничтожных транспортных расходов, что освобождает общества от бремени постоянных перевозок огромных количеств органического топлива.
Ядерные реакторы делятся на несколько групп:
в зависимости от средней энергии спектра нейтронов - на быстрые, промежуточные и тепловые; по конструктивным особенностям активной зоны - на корпусные и канальные; по типу теплоносителя - водяные, тяжеловодные, натриевые; по типу замедлителя - на водяные, графитовые, тяжеловодные и др.
Для энергетических целей, для производства электроэнергии применяются:
водоводяные реакторы с некипящей или кипящей водой под давлением, уран-графитовые реакторы с кипящей водой или охлаждаемые углекислым газом, тяжеловодные канальные реакторы и др .
В будущем будут широко применяться реакторы на быстрых нейтронах, охлаждаемые жидкими металлами (натрий и др.); в которых принципиально реализуем режим воспроизводства топлива, т.е. создания количества делящихся изотопов плутония Pu-239 превышающего колич ество расходуемых излотопов урана U-235. Параметр, характеризующий воспроизводство топлива называется плутониевым коэффициентом. Он показывает, сколько актов атомов Pu-239 создается при реакциях захвата нейтронов в U-238 на одмин атом U-235, захва тившег о нейтрон и претерпевшего деление или радиационное превращение в U-235.
Реакторы с водой под давлением занимают видное место в мировом парке энергетических реакторов. Кроме того, они широко используются на флоте в качестве источников энергии как для надводных судов, так и для подводных лодок. Такие реакторы относительно компактны, просты и надежны в эксплуатации. Вода, служащая в таких реакторах теплоносителем и замедлителем нейтронов, относительно дешева, неагрессивна и обладает хорошими нейтронно-физическими свойствами.
Реакторы с водой под давлением называются иначе водоводяными или легководными. Они выполняются в виде цилиндрического сосуда высокого давления со сьемной крышкой. В этом сосуде (корпусе реактора) размещается активная зона, составленная из топливных сборок (топливных кассет) и подвижных элементов системы управления и защиты. Вода входит через патрубки в корпус, подается в пространство под активной зоной, двигается вертикально вверх вдоль топливных элементов и отводится через выходные патрубки в контур циркуляции. Тепло ядерных реакций передается в парогенераторах воде второго контура, более низкого давления. Движение воды по контуру обеспечивается работой циркуляционных насосов, либо, как в реакторах для станций теплоснабжения, - за счет движущего напора естественной циркуляции.
Ядерный синтез завтра. “На завтра” планируется, прежде всего создание следующего поколения токамаков, в которых можно достичь самоподдерживающегося синтеза. С этой целью в ИАЭ имени И.В.Курчатова и НИИ электрофизической аппаратуры имени Д.В.Ефремова разрабатывается Опытный термоядерный реактор (ОТР). В ОТР ставится целью само поддержание реакции на таком уровне, чтобы отношение полезного выхода энергии к затраченной (обозначается Q) было больше или по крайней мере равно единице: Q=1. Это условие — серьёзный этап отработки всех элементов системы на пути создания коммерческого реактора с Q=5. По имеющимся оценкам, лишь при этом значении Q достигается самоокупаемость термоядерного энергоисточника, когда окупаются затраты на все обслуживающие процессы, включая и социально-бытовые затраты. А пока что на американском TFTR достигнуто значение Q=0,2-0,4. Существуют также и другие проблемы. Например, первая стенка — то есть оболочка тороидальной вакуумной камеры — самая напряжённая, буквально многострадальная часть всей конструкции. В ОТР её объём примерно 300 м 3 , а площадь поверхности около 400 м 2 . Стенка должна быть достаточно прочной, чтобы противостоять атмосферному давлению и механическим силам, возникающим от магнитного поля, и достаточно тонкой, чтобы без значительного перепада температур отводить тепловые потоки от плазмы к воде, циркулирующей на внешней стороне тороида. Её оптимальная толщина 2 мм. В качестве материалов выбраны аустенитные стали либо никелевые и титановые сплавы. Планируется установка Евратомом NET (Next Europeus Tor), во многом схожим с ОТР, это следующее поколение токамаков после JET и Т-15. NET предполагалось соорудить в течение 1994-1999 годов. Первый этап исследований планируется провести за 3-4 года. Говорят и о следующем поколении после NET — это уже “настоящий” термоядерный реактор, условно названный DEMO. Впрочем, не всё пока ясно даже и с NET, поскольку есть планы сооружения нескольких международных установок.
Поделитесь этой записью или добавьте в закладки |
Полезные публикации |
Главная