Министерство общего и профессионального образования Российской федерации
ТОМСКАЯ ГОСУДАРСТВЕННЫЙ УНИВЕРСИТЕТ СИСТЕМ УПРАВЛЕНИЯ И РАДИОЭЛЕКТРОНИКИ (ТУСУР)
Кафедра промышленной электроники (ПрЭ)
Теплопроводность через сферическую оболочку Пояснительная записка к курсовому проекту по дисциплине "Физика"
Студент гр.366-4 ______Володкин А. 15.12.1997г.
Руководитель Доцент кафедры физики ________Орловская Л.В. 15.12.1997г.
ТОМСК - 1997 Реферат
Объектом исследования является сферическая оболочка заданной толщины с переменным коэффициентом теплопроводности и с заданными значениями температуры на внутренней и внешней поверхностях оболочки. Цель проекта — определить распределение температуры внутри оболочки. В процессе работы выведено дифференциальное уравнение теплопроводности применительно к данным конкретным условиям задачи и получено решение этого уравнения в виде функции T ( r ), где T - температура в произвольной точке оболочки а r - расстояние между этой точкой и геометрическим центром оболочки. Разработана программа TSO , рассчитывающая функцию T ( r ) и строящая её график для различных задаваемых пользователем параметров задачи . Результатом исследования является аналитическое решение уравнения теплопроводности T ( r ) и графическая иллюстрация этого решения, изображаемая на экране компьютера программой TSO . Полученная в проекте функция T ( r ) и разработанная программа TSO могут быть полезными для разработчиков химических и ядерных реакторов, котлов тепловых станций и различных сосудов в области промышленной и бытовой техники. Курсовой проект выполнен в текстовом редакторе Microsoft WORD 7.0.
Abstract
Object of study is a spherical shell of given thickness with floating factors heatconduct and with given values of temperature on internal and external surfaces of shell. Purpose of project — define a sharing a temperature of inwardly shell. In the process of work is remove differential equation heatconduct is aplicable to given concrete conditions of problem and is received decision of this equation in the manner of functions T(r), where T - a temperature in the free spot of shell, but r - a distance between this spot and geometric shell centre. Designed program TSO, calculate function T(r) and build its graph for different assign by the user of parameters of task. Result of studies is an analytical decision of equation heatconduct T(r) and graphic illustration of this deciding, express on the computer screen by the program TSO. Received in the project a function T(r) and developping program TSO are to be useful for developers of chemical and nucleus reactors, caldrons of heat stations and different containers in the field of industrial and home appliances. Course project is executed in the textual editor Microsoft WORD 7.0.
Задание
Пространство между двумя сферами радиусы которых
R
1
и
R
2
(
R
1
<
R
2
), температура которых
Т
1
и
Т
2
, заполнено веществом, теплопроводность которого изменяется по закону
Найти закон распределения температуры в этом веществе Т = Т ( r ).
Содержание
1 Введение В учении о теплообмене рассматриваются процессы распространения теплоты в твердых, жидких и газообразных телах. Эти процессы по своей физико-механической природе весьма многообразны, отличаются большой сложностью и обычно развиваются в виде целого комплекса разнородных явлений. Перенос теплоты может осуществляться тремя способами: теплопроводностью, конвекцией и излучением, или радиацией. Эти формы глубоко различны по своей природе и характеризуются различными законами. Процесс переноса теплоты теплопроводностью происходит между непосредственно соприкасающимися телами или частицами тел с различной температурой. Учение о теплопроводности однородных и изотропных тел опирается на весьма прочный теоретический фундамент. Оно основано на простых количественных законах и располагает хорошо разработанным математическим аппаратом. Теплопроводность представляет собой, согласно взглядам современной физики, молекулярный процесс передачи теплоты. Известно, что при нагревании тела кинетическая энергия его молекул возрастает. Частицы более нагретой части тела, сталкиваясь при своем беспорядочном движении с соседними частицами, сообщают им часть своей кинетической энергии. Этот процесс постепенно распространяется по всему телу. Перенос теплоты теплопроводностью зависит от физических свойств тела, от его геометрических размерах, а также от разности температур между различными частями тела. При определении переноса теплоты теплопроводностью в реальных телах встречаются известные трудности, которые на практике до сих пор удовлетворительно не решены. Эти трудности состоят в том, что тепловые процессы развиваются в неоднородной среде, свойства которой зависят от температуры и изменяются по объему; кроме того, трудности возникают с увеличением сложности конфигурации системы. Целью данного курсового проекта является нахождение закона распределения температуры в веществе, которым заполнено пространство между двумя сферами.
2 Основные положения теплопроводности 2.1 Температурное поле
Теплопроводность представляет собой процесс распространения энергии между частицами тела, находящимися друг с другом в соприкосновении и имеющими различные температуры. Рассмотрим нагрев какого-либо однородного и изотропного тела. Изотропным называют тело, обладающее одинаковыми физическими свойствами по всем направлениям. При нагреве такого тела температура его в различных точках изменяется во времени и теплота распространяется от точек с более высокой температурой к точкам с более низкой. Из этого следует, что в общем случае процесс передачи теплоты теплопроводностью в твердом теле сопровождается изменением температуры T как в пространстве, так и во времени:
где
t — время. Эта функция определяет температурное поле в рассматриваемом теле. В математической физике температурным полем называют совокупность значений температуры в данный момент времени для всех точек изучаемого пространства, в котором протекает процесс. Если температура тела есть функция координат и времени, то температурное поле называют нестационарным, т.е. зависящим от времени:
Такое поле отвечает неустановившемуся тепловому режиму теплопроводности. Если температура тела есть функция только координат и не изменяется с течением времени, то температурное поле тела называют стационарным:
Уравнения двухмерного температурного поля для режима стационарного:
нестационарного:
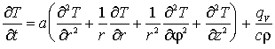
На практике встречаются задачи, когда температура тела является функцией одной координаты, тогда уравнения одномерного температурного поля для режима стационарного:
нестационарного:
Одномерной, например, является задача о переносе теплоты в стенке, у которой длину и ширину можно считать бесконечно большой по сравнению с толщиной.
2.2 Градиент температуры Если соединить точки тела с одинаковой температурой, то получим поверхность равных температур, называемую изотермической. Изотермические поверхности между собой никогда не пересекаются. Они либо замыкаются на себя, либо кончаются на границах тела. Рассмотрим две близкие изотермические поверхности с температурами T и T + D T (рисунок 2.1).
Перемещаясь из какой либо точки
А
, можно обнаружить, что интенсивность изменения температуры по различным направлениям неодинакова. Если перемещаться по изотермической поверхности, то изменения температуры не обнаружим. Если же перемещаться вдоль какого-либо направления
P
, то наблюдаем изменение температуры. Наибольшая разность температур на единицу длины будет в направлении нормали к изотермической поверхности. Предел отношения изменения температуры
Градиент температуры есть вектор, направленный по нормали к изотермической поверхности в сторону возрастания температуры и численно равный частной производной от температуры по этому направлению. За положительное направление градиента принимается направление возрастания температур. 2.3 Основной закон теплопроводности
Для распространения теплоты в любом теле или пространстве необходимо наличие разности температур в различных точках тела. Это условие относится и к передаче теплоты теплопроводностью, при которой градиент температуры в различных точках тела не должен быть равен нулю.
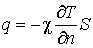
Связь между количеством теплоты
Минус в правой части показывает, что в направлении теплового потока температура убывает и grad
T
является величиной отрицательной. Коэффициент пропорциональности
Отношение количества теплоты, проходящего через заданную поверхность, ко времени называют тепловым потоком. Тепловой поток обозначают q и выражают в ваттах (Вт):
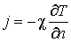
Отношение теплового потока dq через малый элемент изотермической поверхности к площади dS этой поверхности называют поверхностной плотностью теплового потока (или вектором плотности теплового потока), обозначают j и выражают в ваттах на квадратный метр (Вт/м 2 ):
Вектор плотности теплового потока направлен по нормали к изотермической поверхности в сторону убывания температуры. Векторы j и grad T лежат на одной прямой, но направлены в противоположные стороны. Тепловой поток q , прошедший сквозь произвольную поверхность S , находят из выражения
Количество теплоты, прошедшее через эту поверхность в течение времени t , определяется интегралом
Таким образом, для определения количества теплоты, проходящего через какую-либо произвольную поверхность твердого тела, необходимо знать температурное поле внутри рассматриваемого тела. Нахождение температурного поля и составляет основную задачу аналитической теории теплопроводности. 2.4 Дифференциальное уравнение теплопроводности Изучение любого физического процесса связано с установлением зависимости между величинами, характеризующими данный процесс. Для сложных процессов, к которым относится передача теплоты теплопроводностью, при установлении зависимостей между величинами удобно воспользоваться методами математической физики, которая рассматривает протекание процесса не во всем изучаемом пространстве, а в элементарном объеме вещества в течение бесконечно малого отрезка времени. Связь между величинами, участвующими в передаче теплоты теплопроводностью, устанавливается дифференциальным уравнением теплопроводности. В пределах выбранного элементарного объема и бесконечно малого отрезка времени становится возможным пренебречь изменением некоторых величин, характеризующих процесс. При выводе дифференциального уравнения теплопроводности принимаются следующие допущения:
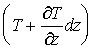
Выделим в среде элементарный параллелепипед с ребрами
(grad T взят в виде частной производной, т.к. предполагается зависимость температуры не только от x , но и от других координат и времени). Через противоположную грань на расстоянии dz отводится количество теплоты, определяемое из выражения:
где
Последнее уравнение можно представить в другом виде:
Итак, приращение внутренней энергии в параллелепипеде за счёт потока тепла в направлении оси z равно:
Приращение внутренней энергии в параллелепипеде за счёт потока тепла в направлении оси y выразится аналогичным уравнением:
а в направлении оси x :
Полное приращение внутренней энергии в параллелепипеде:
С другой стороны, согласно закону сохранения энергии:
где
c — удельная теплоемкость среды;
Левые части уравнения (2.20) и (2.21) равны, поэтому:
или
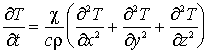
Величину
Уравнение (2.24) называется дифференциальным уравнением теплопроводности (или дифференциальным уравнением Фурье) для трехмерного нестационарного температурного поля при отсутствии внутренних источников теплоты. Оно является основным при изучении вопросов нагревания и охлаждения тел в процессе передачи теплоты теплопроводностью и устанавливает связь между временным и пространственным изменениям температуры в любой точке поля.
Температуропроводность
Из уравнения (2.24) следует, что изменение температуры во времени
Дифференциальное уравнение теплопроводности с источником теплоты внутри тела имеет вид:
где q V — удельная мощность источника, то есть количество выделяемой теплоты в единице объёма вещества в единицу времени. Это уравнение записано в декартовых координатах. В других координатах оператор Лапласа имеет иной вид, поэтому меняется и вид уравнения. Например, в цилиндрических координатах дифференциальное уравнение теплопроводности с внутренним источником теплоты таково:
где r — радиус-вектор в цилиндрической системе координат;
2.5 Краевые условия
Полученное дифференциальное уравнение Фурье описывает явления передачи теплоты теплопроводностью в самом общем виде. Для того чтобы применить его к конкретному случаю, необходимо знать распределение температур в теле или начальные условия. Кроме того, должны быть известны:
Все эти частные особенности совместно с дифференциальным уравнением дают полное описание конкретного процесса теплопроводности и называются условиями однозначности или краевыми условиями. Обычно начальные условия распределения температуры задаются для момента времени t = 0. Граничные условия могут быть заданы тремя способами. Граничное условие первого рода задается распределением температуры на поверхности тела для любого момента времени. Граничное условие второго рода задается поверхностной плотностью теплового потока в каждой точке поверхности тела для любого момента времени. Граничное условие третьего рода задается температурой среды, окружающей тело, и законом теплоотдачи между поверхность тела и окружающей средой.
Решение дифференциального уравнения теплопроводности при заданных условиях однозначности позволяет определить температурное поле во всем объеме тела для любого момента времени или найти функцию
2.6 Теплопроводность через шаровую стенку
С учётом описанной в разделах 2.1 - 2.5 терминологии задачу данной курсовой работы можно сформулировать так. Постоянный тепловой поток направлен через шаровую стенку, причем источником теплоты является внутренняя сфера радиусом
R
1
. Мощность источника
P
постоянна. Среда между граничными сферами изотропна, поэтому её теплопроводность
c
является функцией одной переменной - расстояния от центра сфер (радиуса)
r
. По условию задачи
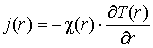
Из одномерности температурного поля следует, что плотность теплового потока j так же, как теплопроводность и температура, являются в данном случае функциями одной переменной - радиуса r . Неизвестные функции j ( r ) и T ( r ) можно определить одним из двух способов: или решать дифференциальное уравнение Фурье (2.25), или использовать закон Фурье (2.11). В данной работе избран второй способ. Закон Фурье для исследуемого одномерного сферически симметричного температурного поля имеет вид:
В этом уравнении учтено, что вектор нормали к изотермической поверхности
n
параллелен радиус-вектору
r
. Поэтому производная
Определим зависимость плотности теплового потока j от r . Для этого сначала вычислим тепловой поток q через сферу произвольного радиуса r > R .
В частности, тепловой поток q 1 через внутреннюю сферу радиусом R 1 и тепловой поток q 2 через наружную сферу радиусом R 2 равны
Все эти три потока создаются одним и тем же источником мощностью P . Поэтому все они равны P и поэтому равны между собой.
С учётом (2.28) и (2.29) это равенство можно записать в виде:
Учитывая, что
получаем искомую зависимость плотности теплового потока j от радиуса r :
где C 1 - это константа, определяемая формулой
Физический смысл полученного результата достаточно ясен: это известный закон обратных квадратов, характерный для задач со сферической симметрией.
Теперь, так как функция
j
(
r
) известна, можно рассматривать уравнение (2.27) как дифференциальное уравнение относительно функции
T
(
r
). Решение этого уравнение и даст искомое распределение температур. Подставив в (2.27) выражение (2.32) и заданную функцию
Данное уравнение решается методом разделения переменных:
Интегрирование этого выражения даёт:
Итак, функция T ( r ) имеет вид:
Константы
C
1
и
C
2
можно определить из граничных условий
T
(
R
1
) =
T
1
,
Вычитая из первого уравнения второе, получим уравнение относительно C 1 :
откуда
С учётом этого выражение (2.35) можно записать в виде:
Теперь первое граничное условие T ( R 1 ) = T 1 даёт:
откуда следует выражение для константы C 2 :
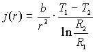
Подстановка (2.40) в (2.39) даёт окончательное выражение для искомой функции T ( r ):
Зная функцию T ( r ), можно из закона Фурье
определить и окончательное выражение для плотности теплового потока j как функции от радиуса r :
Интересно отметить, что распределение температур не зависит от коэффициента b , но зато плотность потока пропорциональна b .
3 Заключение
В результате проделанной работы выведено дифференциальное уравнение теплопроводности применительно к данным конкретным условиям задачи и получено решение этого уравнения в виде функции T ( r ). Разработана программа TSO , рассчитывающая функцию T ( r ) и строящая её график для различных задаваемых пользователем параметров задачи . Листинг программы приведен в Приложении А.
Список используемых источников
Нащокин В.В. Техническая термодинамика и теплопередача: Учеб. пособие для вузов. — 3-е изд., испр. и доп. — М: Высш. школа, 1980. — 469 с. Араманович И.Г., Левин В.И. Уравнения математической физики: М.: Наука, 1969. — 288 стр. Савельев И. В. Курс общей физики. Т. 1. Механика. Молекулярная физика: Учеб. пособие для студентов втузов. — М.: Наука, 1982. — 432с. Зельдович Б.И., Мышкис А.Д. Элементы математической физики. — М.: Наука, 1973. — 352с.
Приложение А (обязательное) Листинг программы TSO unit Kurs_p; interface uses Windows, Messages, SysUtils, Classes, Graphics, Controls, Forms, Dialogs, StdCtrls, Spin;
type TForm1 = class(TForm) Button1: TButton; Label1: TLabel; Label2: TLabel; Label3: TLabel; Label4: TLabel; Label5: TLabel; Label6: TLabel; Label7: TLabel; Label8: TLabel; Edit1: TEdit; Label9: TLabel; Edit2: TEdit; Label10: TLabel; Edit3: TEdit; Label11: TLabel; Edit4: TEdit; procedure Button1Click(Sender: TObject); procedure FormPaint(Sender: TObject); procedure Edit1KeyPress(Sender: TObject; var Key: Char); private
public procedure OsiK (x0,y0:Integer); procedure Postroenie(T1,T2,R1,R2:real);
end; var Form1: TForm1; X0,Y0:integer; T1,T2,R1,R2:real; implementation {$R *.DFM} procedure TForm1.OsiK (x0,y0:Integer); var i,x,y:integer; begin Canvas.Pen.Width:=2; Canvas.Pen.Color := clBlack; Canvas.MoveTo(x0, y0); {построение оси X} Canvas.LineTo(x0+400, y0);
Canvas.MoveTo(x0+400, y0); {построение стрелочек оси Х} Canvas.LineTo(x0+400-10, y0-5); Canvas.MoveTo(x0+400, y0); Canvas.LineTo(x0+400-10, y0+5); Label4.Left:=x0+390; Label4.Top:=y0+10;
Label5.Left:=x0+350; Label5.Top:=y0+10; Label6.Left:=x0; Label6.Top:=y0+10; Label7.Left:=x0-25; Label7.Top:=y0-10; Label8.Left:=x0-25; Label8.Top:=y0-105;
Canvas.MoveTo(x0, y0); {построение оси Y} Canvas.LineTo(x0, y0-150);
Canvas.MoveTo(x0, y0-150); {построение стрелочек оси Y} Canvas.LineTo(x0-5, y0-150+10); Canvas.MoveTo(x0, y0-150); Canvas.LineTo(x0+5, y0-150+10); Label3.Left:=x0-25; Label3.Top:=y0-150;
Canvas.Pen.Width:=1; x:=x0; for i:=1 to 10 do begin x:=x+35; Canvas.MoveTo(x, y0-3); Canvas.LineTo(x, y0+3); end; y:=y0; for i:=1 to 5 do begin y:=y-20; Canvas.MoveTo(x0-3, y); Canvas.LineTo(x0+3, y); end; end; procedure TForm1.Postroenie(T1,T2,R1,R2:real); var x,y:integer; Kx,Ky,x1,y1,P,C1,Sag:real; begin Canvas.Pen.Width:=1; Canvas.Pen.Color := clRed;
Sag:=(R2-R1)/500; {шаг по X} C1:=(T1-T2)/(ln(R2/R1));
Kx:=(R2-R1)/350; {Коэффициенты "усиления"} if T1>T2 then Ky:=T1/100 else Ky:=T2/100;
x1:=R1; {Начальные условия} y1:=T1; Canvas.MoveTo(x0+Round((x1-R1)/Kx),y0-Round(y1/Ky)); repeat y:=Round(y1/Ky); x:=Round((x1-R1)/Kx); Canvas.LineTo(x0+x, y0-y); x1:=x1+Sag; y1:=(T1+C1*ln(R1/x1)); {label1.Caption:=label1.Caption+'; '+intToStr(x); label2.Caption:=label2.Caption+'; '+intToStr(y);} until x1>R2; P:=4*Pi*C1; label1.Caption:='Мощность источника: ='+FloatToStrF(P,ffGeneral,5,1)+ ' Вт';
label5.Caption:=FloatToStrF(R2,ffGeneral,4,1); label6.Caption:=FloatToStrF(R1,ffGeneral,4,1); if T1>T2 then begin label7.Caption:=FloatToStrF(T2,ffGeneral,4,1); label8.Caption:=FloatToStrF(T1,ffGeneral,4,1); end else begin label7.Caption:=FloatToStrF(T1,ffGeneral,4,1); label8.Caption:=FloatToStrF(T2,ffGeneral,4,1); end; end;
procedure TForm1.Button1Click(Sender: TObject); var Code1,Code2,Code3,Code4:integer; begin Repaint; val (Edit1.Text,T1,Code1); val (Edit2.Text,T2,Code2); val (Edit3.Text,R1,Code3); val (Edit4.Text,R2,Code4); if (Code4 or Code3 or Code2 or Code1) <> 0 then begin Edit1.SetFocus; MessageDlg ('Введите пожалуйста значение!', mtError, [mbOk],0); end else Postroenie(T1,T2,R1,R2); end;
procedure TForm1.FormPaint(Sender: TObject); begin x0:=100; y0:=200; OsiK(x0,y0); end;
procedure TForm1.Edit1KeyPress(Sender: TObject; var Key: Char); begin if not (key in ['0'..'9',#8,'.']) then begin Key:=#0; MessageBeep($FFFFFFFF); end; end;
end.
Поделитесь этой записью или добавьте в закладки |
Полезные публикации |
(2.8)
, (2.15)
— температура второй грани, а величина
. (2.20)
, (2.22)
. (2.23)
называют оператором Лапласа и обычно обозначают сокращенно
, (2.25)
, (2.26)
. (2.34)
. (2.36)
,
. (2.37)
. (2.38)
, (2.39)
. (2.40)
. (2.41)
. (2.42)
Главная