Плоская задача теории упругости
Из тела находящегося в плоском напряженном состоянии, выделена пластина, толщина которой 1 см, размеры в плане 20х20 см. Схема закрепления пластины.
Задаваясь функцией напряжений, общий вид которой Ф (х,у)=а 1 х 3 у+а 2 х 3 +а 3 х 2 у+а 4 х 2 +а 5 ху+а 6 у 2 +а 7 ху 2 +а 8 у 3 +а 9 ху 3 Принять два коэффициента функции согласно таблиц 1 и 2, остальные шесть коэффициентов принять равными нулю. В этих же таблицах даны значения модуля упругости Е и коэффициента Пуассона для материала пластины. Найти общие выражения для напряжений s х , s у , t ху (объемные силы не учитывать) и построить эпюры этих напряжений для контура пластины. Определить выражения для перемещений U и V. Показать графически(на миллиметровке) перемещение пластины в результате деформирования, определив компоненты перемещений U и V в девяти точках, указанных на схеме. Для наглядности изображения для перемещений выбрать более крупный масштаб, чем масштаб длин. Значение U и V свести в таблицу. Расчет. Дано : а 3 =1/3, а 4 = 1 Е=0,69*10 6 кг/см 2 n =0,33 Решение : 1.Проверим, удовлетворяет ли функция напряжений бигармоническому уравнению.
Ф(х,у)=
Поскольку производные
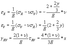
-бигармоническое уравнение удовлетворяется. 2.Определяем компоненты по формулам Эри, принимая объемные силы равными нулю.
s
х
=
s
у
=
t
ху
=
3.Строим эпюры напряжений для контура пластины согласно полученным аналитическим напряжениям.
4.Проверяем равновесие пластины
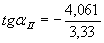
Уравненения равновесия: S х=0 -Т 5 +Т 6 =0 > 0=0 S y=0 Т 4 +Т 3 +Т 2 -Т 1 -N 2 +N 1 =0 > 0=0 S M=0 M (T 4 T 3 )=-M(T 2 T 1 ) > 0=0 удовлетворяется, т.е. пластина находится в равновесии. 5.Для точки А с координатами (5,-5) найти величины главных напряжений и положение главных осей для точки А. В этой точке напряжения в основных площадках. s х =0, s у =-1,33, t ху =3,33, Найдем главное напряжение по формуле:
s max = s I =2,731 МПа s min = s II = -4,061 МПа
Находим направление главных осей.
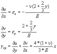
6.Определяем компоненты деформации
7.Находим компоненты перемещений
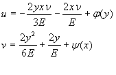
Интегрируем полученные выражения
j (у), y (х) –некоторые функции интегрирования
или
После интегрирования получим
где с 1 и с 2 – постоянные интегрирования С учетом получения выражений для j (у) и y (х) компоненты перемещений имеет вид
Постоянные с 1 , с 2 , и с определяем из условий закрепления пластины:
1)
2) v =0 или
3) u =0 или
Окончательные выражения для функций перемещений u и v
Покажем деформированное состояние пластины определив для этого перемещение в 9-ти точках.
Масштаб
Поделитесь этой записью или добавьте в закладки |
Полезные публикации | ||||||||||||||||||||||||||||||||||||||||||||||||||||||||
=-0,665
±
3,396 кгс/см
2
Главная