Линия магнитного резонансного поглощения системы спинов
Оглавление А.Введение §1.Локальное поле §2.Общая теория магнитного поглощения Б. Уширение, вызванное взаимодействием между одинаковыми спинами §3.Диполь-дипольное взаимодействие §4.Определение моментов §5.Метод вычисления моментов В. Кинетические свойства §6.Кинетическое уравнение §7.Электропроводность
А. ВВЕДЕНИЕ Линия магнитного резонансного поглощения системы спинов, находящихся в неоднородном магнитном поле, обладает некоторой шириной, обусловленной разбросом ларморовских частот. Аналогичное уширение может иметь место в неидеальных кристаллах благодаря взаимодействию ядерных квадрупольных моментов с малыми градиентами электрического поля, значения которых изменяются от одного узла решетки к другому случайным образом. В обоих случаях ширина линии обусловливается различием резонансных частот отдельных спинов, а не взаимодействиями между ними. Соответствующее уширение линии называется неоднородным уширением. Положение существенно изменяется, если уширение линии обусловлено взаимодействием между соседними спинами. Эта задача и рассматривается в настоящей работе. § 1. ЛОКАЛЬНОЕ ПОЛЕ Энергия взаимодействия между двумя ядерными спинами зависит от величины и ориентации их магнитных моментов, а также от длины и направления вектора, описывающего их относительное расположение. Влияние такого взаимодействия на ширину линии поглощения существенным образом зависит от того, зафиксирован ли этот вектор в пространстве или его положение быстро меняется со временем вследствие относительного движения ядер. Последний случай, как правило, встречающийся в жидкостях и газах, будет рассмотрен позднее. В этой главе мы ограничимся случаем жесткой решетки, в которой ядра можно считать неподвижными. Такое приближение разумно для многих твердых тел при комнатной температуре, в частности для ионных кристаллов. Энергия диполь-дипольного взаимодействия двух магнитных моментов m 1 =g 1 ћI 1 и m 2 =g 2 ћI 2 описывается хорошо известным выражением
которое можно переписать в виде W 12 = – m 2 ∙H 12 = – g 2 ћI 2 •H 12 , где H 12 — локальное поле, созданное первым спином в месте расположения второго спина. (Введение в рассмотрение понятия локального поля очень удобно.) Поскольку ядерные магнитные моменты имеют порядок 10 -3 магнетона Бора, или 10 -23 CGS, а между ядерные расстояния порядка нескольких ангстрем, то локальные поля в жесткой решетке в общем случае имеют порядок нескольких эрстед. Взаимодействие двух одинаковых диполей в сильном поле Н 0 может быть описано с классической точки зрения следующим образом. Первый диполь m 1 прецессирует с ларморовской частотой вокруг поля Н 0 и, следовательно, обладает постоянной составляющей вдоль этого поля и составляющей, которая вращается в плоскости, перпендикулярной полю. Постоянная составляющая m 1 создает в месте расположения диполя m 2 слабое постоянное поле, ориентация которого относительно Н 0 зависит от взаимного расположения спинов. Если поле Н 0 сильное, то на него заметно влияет только параллельная или антипараллельная ему составляющая слабого поля. Так как каждый спин в решетке имеет несколько соседей с различными относительными положениями и ориентациями, постоянная составляющая локального поля имеет разные значения в различных местах, что приводит к разбросу ларморовских частот и уширению линии. Вращающаяся составляющая m 1 создает в месте расположения m 2 локальное магнитное поле, вращающееся с ларморовской частотой m 1 , которая совпадает с ларморовской частотой для m 2 . В свою очередь она имеет составляющую в плоскости, перпендикулярной Н 0 и, следовательно, может заметно изменять ориентацию m 2 благодаря явлению резонанса. Соответствующая ширина линии должна быть порядка величины вращающегося поля. В рассматриваемом случае оно того же порядка величины, что и локальное постоянное поле и, следовательно, вносит в уширение вклад сравнимой величины. Необходимо отчетливо понимать, что механизмы, обусловливающие эти вклады в ширину линии, в действительности различны. Если два спина не являются одинаковыми, то вращающееся поле, созданное m 1 , не является резонансным для m 2 и оказывает на него пренебрежимо малое влияние, в то время как постоянное поле, созданное m 1 , в месте расположения m 2 является столь же эффективным, как и в случае одинаковых спинов. При прочих равных условиях одинаковые соседние спины оказывают более сильное влияние на уширение резонансной линии, чем неодинаковые.
§ 2. ОБЩАЯ ТЕОРИЯ МАГНИТНОГО ПОГЛОЩЕНИЯ Для количественного описания формы линии, обусловленной дипольным уширением, необходимо развить формализм. Когда все спины образца связаны друг с другом дипольным взаимодействием, представление об отдельных независимых спинах, находящихся в стационарных состояниях, становится неверным. Этот вывод следует хотя бы из того факта, что вращающееся локальное поле, созданное одним спином, приводит к переориентации его соседей. Поэтому образец приходится рассматривать как единую большую систему спинов, а переходы, вызванные радиочастотным полем, — как переходы между различными энергетическими уровнями этой системы. Соответственно изменяется и статистическое описание с использованием матрицы плотности. Вместо статистического ансамбля спинов, описываемых (2 I +1) ґ (2 I +1) матрицей плотности, весь образец, содержащий N спинов, теперь становится одним элементом статистического ансамбля и описывается (2 I +1) N ґ (2 I +1) N матрицей плотности. Такое видоизменение никоим образом не ограничивается ядерным магнетизмом, напротив, оно весьма часто встречается в статистической физике” а именно всякий раз, когда переходят от описания систем со слабыми взаимодействиями, например, таких, как молекулы газа при низком давлении, к описанию сильно взаимодействующих систем, таких, как атомы Кристалла. Первый подход соответствует методу Максвелла – Больцмана, а второй — методу Гиббса. Стационарное состояние, следуя методу Гиббса, можно описать следующим образом. Если к системе спинов приложено линейно поляризованное вдоль оси Ох радиочастотное поле Н 1 cos w t , то при стационарных условиях система приобретает намагниченность, составляющая которой вдоль этой же оси равна М х = H 1 {c ' (w ) cos w t +c '' (w ) sin w t } . (la) Условие линейности или отсутствия насыщения предполагает, что c ' и c '' не зависят от H 0 . c ' и c '' можно измерить отдельно, а c '' пропорционально скорости поглощения радиочастотной энергии образцом. Выведем общую формулу для c '' (w ). Выше было показано, что в линейной теории резонанса между c ' (w ) и c '' (w ) существуют независимо от природы рассматриваемой системы общие соотношения (соотношения Крамерса – Кронига), позволяющие вычислить одну из этих величин, когда для всех значений частоты известна другая. Ниже, чтобы избежать путаницы, мы будем обозначать через М макроскопическое значение намагниченности образца и через M — соответствующий квантовомеханический оператор. Между ними имеет место соотношение М = < M > = Sp {r M }, (2) где r – статистический оператор, или матрица плотности, описывающая систему спинов. Пусть ħ H — полный гамильтониан системы в отсутствие внешнего радиочастотного поля. Если до приложения радиочастотного поля система находится в тепловом равновесии при температуре Т, то ее статистический оператор определяется выражением
которое просто означает, что статистическое поведение системы можно описать, если ее энергетическим уровням ħ E n приписать населенности, пропорциональные exp (—ħE n /kT). При наличии радиочастотного поля уравнение движения для r имеет вид
где V – объем образца. Чтобы решить (4) относительно r , сделаем подстановку r * = e i H tr e – i H t , (5) которая преобразует (4) в уравнение
Предположим, что радиочастотное поле было включено в момент, когда образец находился в тепловом равновесии и r (–Ґ ) = r = r * (–Ґ ). В момент t решение (6) в линейном приближении относительно Н 1 имеет вид
Поэтому, возвращаясь к r [см. (5)], находим
Если предположить, что до включения радиочастотного доля намагниченность вдоль оси x была равна нулю, т. е. М х (–Ґ ) = Sp {r 0 M x } =0, то
и, согласно определению (1 а),
Учтем, что температура обычно достаточно высока для того, чтобы для равновесной матрицы плотности (3) можно было использовать линейное разложение
где e – единичный оператор; тогда восприимчивость c І (w ) становится равной
откуда, интегрируя по частям, получаем
Выражение (12) можно преобразовать к более компактной форме двумя способами. В первом способе, вводя в рассмотрение оператор Гейзенберга M x (t) = e iH t M x e – iH t , (12a) можно переписать (12) в виде
где G(t) = Sp{ M x (t) M x }, (13a) Функцию G(t) назовем функцией корреляции, или функцией релаксации намагниченности системы. Во втором способе выражение (12) можно переписать в виде
Отсюда после применения хорошо известной формулы для d -функции
получаем
где суммирование S ў производится только по тем энергетическим уровням, для которых | E n —E n' | = ħw . Обычно, вводя в рассмотрение вероятности переходов, выражение (14) используют как отправную точку для вывода (13) с помощью интегрального представления d -функции. Из равенства (14) в общем виде следует, что функция формы f (w ), определяющая форму линии, пропорциональна сумме S ў | < п | M x | n’ >| 2 . Точная зависимость этого выражения от co вытекает из условия, ограничивающего суммирование только по тем уровням, для которых | E n —E n' | = ħw . Формулы (13) и (14) являются весьма общими и справедливы в случае, когда спектр магнитного поглощения системы содержит одну или несколько острых резонансных линий, т. е. в случае ядерного магнитного резонанса. Математически это условие может быть сформулировано следующим образом. Гамильтониан ħ H системы представляет собой сумму главной части ħ H 0 и малой возмущающей части, которую удобно записать в виде ħe H 1 , где e — параметр малости возмущения. В отсутствие H 1 спектр поглощения системы состоит из одной или нескольких бесконечно острых линий c частотами w a , a восприимчивость c "(w ) может быть записана в форме c ў ў ( w ) = S A a d ( w - w a ) ; (15) при этом функция релаксации G(t), пропорциональная фурье-преобразованию c ў ў ( w ) , имеет вид
Если существует возмущение ħe H 1 , то функция релаксации принимает вид G(e , t) и может быть в принципе вычислена вплоть до любого порядка по e методом возмущений; восприимчивость c ў ў ( w , e ) получается как фурье-преобразование G(e , t). Прежде чем производить детальный расчет, кратко рассмотрим соотношение между c ў ў ( w ) и поведением намагниченности после окончания действия радиочастотного импульса. Хорошо известно и достаточно очевидно, что для линейных систем стационарная реакция на возбуждение cosw t представляется фурье-преобразованием нестационарной реакции на бесконечно острый импульс d (t). Однако на практике для аппроксимации такого импульса к системе спинов необходимо приложить кратковременно действующее магнитное поле, значительно большее постоянного поля Н о . Для системы взаимодействующих ядерных спинов в магнитном поле, характеризующейся острой резонансной линией на частоте w 0 , действие бесконечно острого импульса постоянного поля можно аппроксимировать радиочастотным импульсом частоты w = w 0 со значительно большей длительностью t и меньшей амплитудой H 1 . Поскольку в системе координат, вращающейся с частотой w , отлично от нуля только постоянное поле H 1 , то для аппроксимации бесконечно острого импульса конечной амплитуды достаточно того, чтобы H 1 было значительно больше локального поля; последнее представляет собой гораздо менее жесткое условие. Б. УШИРЕНИЕ, ВЫЗВАННОЕ ВЗАИМОДЕЙСТВИЕМ МЕЖДУ ОДИНАКОВЫМИ СПИНАМИ
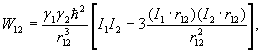
§ 3. ДИПОЛЬ-ДИПОЛЬНОЕ ВЗАИМОДЕЙСТВИЕ Полный гамильтониан системы одинаковых взаимодействующих спинов в сильном внешнем поле может быть записан в виде ħ H = ħ( H 0 + H 1 ). (16) Основной гамильтониан ħ H 0 = S j Z j = – g ħ H 0 S j I j z (16a) описывает энергетические уровни, определяемые выражением ħE 0 M = – g ħ Н 0 M , где M — собственное значение оператора I z = S j I j z Гамильтониан возмущения ħ H 1 , ответственный за уширение, имеет вид
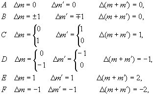
Прежде всего, рассмотрим несколько подробнее взаимодействие между двумя спинами, которые будем обозначать для краткости i и i’. Пусть q и j — полярные координаты вектора r, описывающего их взаимное положение, причем ось z направлена параллельно внешнему полю. Тогда W ii можно записать в виде W ii ' = { iЧ i' — 3[ i z cos q + sin q ( i x cos j + i y sin j )]x[ i' z cos q + sin q ( i' x cos y + + i' y sinj )]}g 2 ħ 2 /r 3 = { iЧ i' — 3[ i z cos q + sin q ( i + e - ij + i - e ij )/2]x[ i' z cos q + sin q ( i + e - ij + + i - e ij )/2)]}g 2 ħ 2 /r 3 = (A+B+C+D+E+F)g 2 ħ 2 /r 3 , (17) где A = i' z i z (l – 3cos 2 q ), B = – (l – 3cos 2 q ) (i + i' – + i – i' + ) = (l – 3cos 2 q )(i z i' z – iЧ i' )/2, C = – 3sinq cosq e - ij (i z i' + + i + i' z )/2, (18) D = С* = – 3sinq cosq e ij (i z i' – + i – i' z )/2, E = – 3sin 2 q e -2 ij i + i' + /4, F = E* = – 3sin 2 q e -2 ij i – i' – /4,. Запись W в такой форме вызвана следующими причинами. Согласно формуле (14), c ў ў ( w ) ~ S ў | < п | M x | n’ >| 2 . Это приводит к необходимости определить изменение в положении энергетических уровней, отвечающих ħ H 0 , обусловленное наличием ħ H 1 . Операторы А, В, С, D, E, F дают качественно различным вклады в это изменение. Упомянутые операторы, действуя на состояние невозмущенного гамильтониана, характеризующееся значениями i z =т , i ' z =т', приводят к следующему изменению этого состояния:
Рассмотрим теперь энергетический уровень ħE 0 M = – g ħ H 0 M , соответствующий гамильтониану (16a). Этот уровень сильно вырожден, так как существует много способов, которыми можно скомбинировать отдельные значения I j z =m j , чтобы получить величину M = S m j . Таким образом, уровень ħE 0 M соответствует вырожденному множеству состояний |М>, причем вырождение снимается (по крайней мере частично) возмущением, описываемым гамильтонианом ħ H 1 , который расщепляет уровень ħE 0 M на много подуровней. Согласно первому приближению теории возмущений, вклад первого порядка в расщепление уровня ħE 0 M дают лишь те члены гамильтониана возмущения, которые обладают отличными от нуля матричными элементами внутри множества |М >, т. е. те, которые, действуя на состояние |М>, не вызывают изменения величины М. Обращаясь к формуле (19), мы видим, что только те части W, которые отвечают операторам А и В, удовлетворяют этому условию и должны быть сохранены для вычисления энергетических уровней ħ H методом возмущений. Член А имеет тот же вид, что и выражение для взаимодействия двух классических диполей и описывает упомянутое в разделе А взаимодействие одного диполя со статическим локальным полем, создаваемым другим диполем. Член В описывает взаимодействие, при котором возможно одновременное переворачивание двух соседних спинов в противоположных направлениях. Эта часть гамильтониана, названная “переворачивающей” частью, соответствует описанному в разделе А резонансному действию вращающегося локального поля. Влияние такого члена, как С, заключается в примешивании к состоянию |М> с невозмущенной энергией ħE 0 M = – g ħ H 0 M малой доли состояния |М — 1>. Таким образом, точное собственное состояние ħ H 0 следует представить в виде | М > + a | М – 1 > + …, где a — малая величина. Взаимодействие системы спинов с радиочастотным полем, приложенным вдоль оси ох, пропорционально I x = S I j x и может индуцировать только переходы с D М = ± 1. Слабые переходы знежду состоянием, скажем, |M – 2> + малая примесь, энергия которого приблизительно равна – g ħ H 0 (M —2), и состоянием | М > + a | М – 1 > + … становятся возможными с вероятностью порядка a 2 . Разность энергии между этими состояниями приблизительно равна 2ħw 0 . Следовательно, таким переходам на частоте 2w 0 соответствует очень слабая линия, которую обычно трудно наблюдать экспериментально. Легко видеть, что линии сравнимых интенсивностей появляются на частотах 0 и 3w 0 . Доказательство справедливости сохранения в гамильтониане ħ H 1 только членов А и В, которые коммутируют с H 0 обычно называются адиабатической или секулярной частью ħ H 1 и которые впредь будут обозначаться как ħ H’ 0 , может быть также дано следующим способом. Так как c ў ў ( w ) пропорционально фурье-преобразованию G(t)=Sp{ M x (t)M x } , то оно может быть вычислено, если известно M x (t) = е iHt M x е –iHt . В этом случае M x (t) удовлетворяет уравнению (1/i) dM/dt = [ H 0 +H 1 , M x (t) ]. (20) § 4. ОПРЕДЕЛЕНИЕ МОМЕНТОВ Для резонансной кривой, описываемой нормированной функцией формы f( w ) с максимумом на частоте w 0 , n-й момент M n относительно w 0 определяется выражением М n = ∫ (w – w 0 ) n f( w ) dw . Если f( w ) симметрична относительно w 0 , то все нечетные моменты равны нулю. Знание моментов дает некоторую информацию о форме резонансной кривой и, в частности, о скорости, с которой она спадает до нуля на крыльях вдали от w 0 . Достоинство метода моментов состоит в том, что моменты могут быть вычислены на основании общих принципов без определения собственных состояний общего гамильтониана ħ H . Прежде чем останавливаться на вычислении моментов, рассмотрим два примера резонансных кривых разном формы. Гауссова кривая описывается нормированной функцией
для которой легко найти М 2 = D 2 , M 4 =3D 4 , М 2n = 1, 3, 5, ..., (2n – 1) D 2n , причем нечетные моменты равны нулю. Полуширина на половине высоты d определяемая соотношением f( w 0 + d ) = f( w 0) /2, или ехр( – d 2 /2D 2 ) = 1/2 оказывается равной
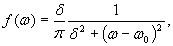
Отсюда видно, что значение второго момента M 2 = D 2 для гауссовой кривой обеспечивает удовлетворительное приближение для ширины линии d . Другой формой линии, которая часто наблюдается в магнитном резонансе, является лоренцева форма, описываемая нормированной функцией
где d — полуширина на половине высоты. В этом случае ни второй, ни более высокие моменты не могут быть определены, так как соответствующие интегралы расходятся. Однако иногда теория дает конечные значения для второго и четвертого моментов линий, которые в экспериментально наблюдаемой области имеют лоренцеву форму. В соответствии с конечными значениями M 2 и М 4 далеко на крыльях линии, где невозможно произвести достаточно точные измерения поглощения вследствие его малой величины, линия должна изменяться более быстро, чем это следует из лоренцевой формы. Грубая, но удобная пробная модель состоит в описании кривой по формуле (25) внутри интервала |w – w 0 |Ј a , где a >>d и в предположении о том, что она равна нулю вне этого интервала. Тогда, пренебрегая членами порядка d /a , найдем M 2 = D 2 = 2a d /p , M 4 = 2a 3d /(3p ), (IV.25a) откуда, если известны M 2 и M 4 можно вычислить d и a . Поскольку M 4 /( M 2 ) 2 = p a /6d , упомянутая модель может быть использована лишь, когда теоретическое отношение M 4 /( M 2 ) 2 оказывается большим числом., В этом случае
Ширина на половине высоты значительно меньше, чем среднеквадратичная ширина. С другой стороны, предположение о гауссовой форме линии может быть разумным всякий раз, когда отношение M 4 /( M 2 ) 2 порядка 3.
§ 5. МЕТОД ВЫЧИСЛЕНИЯ МОМЕНТОВ Основной недостаток метода моментов состоит в том, что важный вклад в значение момента (вклад тем существеннее, чем выше момент) дают крылья кривой, которые на практике не наблюдаются. Необходимо из вычисленных моментов линии магнитного резонанса с центром на ларморовской частоте w =w 0 исключить вклады от сопутствующих линий на частотах w = 0, 2w 0 , 3w 0 о которых упоминалось ранее. Легко видеть, что, несмотря на их малую интенсивность (благодаря удаленности от центральной частоты w 0 ) вклад во второй момент сравним с вкладом от главной линии и тем больше, чем выше порядок момента. Для исключения вкладов от них следует рассматривать в гамильтониане возмущения ħ H 1 ответственного за уширение, только его секулярную часть ħ Hў 0 , которая коммутирует с H 0 и, следовательно, не может отвечать перемешиванию состояний с различными полными М; такое смешивание является причиной появления побочных линий. Таким образом, сокращение дипольного гамильтониана до его секулярной части
не только упрощает вычисление моментов, но и делает его более точным. Прежде чем начать расчет, отметим, что линия магнитного резонанса симметрична относительно центральной частоты w 0 . Убедимся в правильности этого утверждения. Если | а > и | b > — два собственных состояния ħ( H 0 + Hў 1 ) с разностью энергии ħ(Е а — Е b ) = ħw 0 + d ab , то два состояния | а ~ > и | b ~ >, полученные из | а > и | b > соответственно путем поворота всех спинов в обратном направлении, будут также собственными состояниями ħ( H 0 + Hў 1 ) с ħ(Е b ~ – Е a ~) = ħw 0 + d ab . Таким образом, каждому переходу с частотой w 0 + u соответствует переход равной интенсивности с частотой w 0 – u. Если f( w ) — функция формы, то h (u) = f( w 0 + u)— четная функция u. Поскольку моменты кривой пропорциональны производным в начале координат от их фурье-преобразования, мы будем применять для их вычисления формулу (13). Вследствие узости линии ядерного магнитного резонанса можно пренебречь изменением величины w в пределах ширины линии и предположить, что форма линии описывается c ў ў ( w ) /w , так же как и c ў ў ( w ) . Тогда, поскольку f( w ) — нормированная функция формы, (13) может быть переписано в виде f( w ) = A∫ G(t) cos w t dt, (IV.26) где постоянная A определяется из условия нормировки f( w ) , а определенная ранее четная функция G (t) равна Sp{ M x (t)M x }. Обратно G(t) = 2/(p A)∫ f( w ) cos w t dw , (IV.27) Согласно вышеизложенному, в выражении M x (t) = е iHt M x е –iHt . следует вместо H = H 0 + H 1 подставить H = H 0 + Hў 1 что значительно упрощает вычисления. Поскольку H 0 и Hў 1 коммутируют, можно записать exp{i( H 0 + Hў 1 )t} = exp(i H 0 t) exp(i Hў 1 t). Учитывая, что зеемановский гамильтониан ħ H 0 равен ħw 0 I z функцию G (t) можно переписать в виде
Шпур произведения операторов инвариантен относительно циклической перестановки, поэтому
В этом выражении оператор exp(iw 0 I z t) определяет поворот на угол w 0 t вокруг оси z, и, следовательно, можно записать
Легко видеть, что второй член в (29) равен нулю, так как поворот спинов на 180°, например вокруг оси ох, не изменяет Hў 1 и M x но преобразует M у в – M y . Заменяя в (27) G (t) на G 1 (t) cosw 0 t , где G 1 (t)=Sp{ еxp(iH‘ 1 t)M x е(–iH‘ 1 t)M x } называется сокращенной функцией автокорреляции, и вводя обозначение h (u) = f( w 0 + u), получаем
Заменяя нижний предел на – Ґ , что допустимо для узких линий, найдем
Поскольку h (и) является четной функцией, второй интеграл равен нулю и G 1 (t)=Sp{ еxp(iH‘ 1 t)M x е(–iH‘ 1 t)M x }
Различные моменты кривой распределения h (и) относительно резонансной частоты w =w 0 определяются выражением
Нечетные моменты равны нулю, а четные определяются формулой
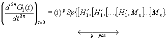
Таким образом, для вычисления моментов резонансной кривой достаточно разложить G 1 (t) в выражении (30) по степеням t. При этом коэффициенты разложения представляют собой шпуры от операторов, которые являются полиномами от Hў 1 и M x . Сущность метода заключается в том, что значения упомянутых шпуров не зависят от выбора основных состояний и могут быть вычислены, например, в представлении, где значения m j = I j z отдельных спинов (поэтому представление называется m j -представлением) являются хорошими квантовыми числами. Таким образом, нет необходимости решать проблему отыскания собственных состояний | n > полного гамильтониана. Из определения (30) функции G 1 (t) вытекает, что значение ее р-й производной в момент t = 0 определяется выражением
Формула (32) просто находится из дифференциального уравнения
которому удовлетворяет зависящий от времени оператор Mў x (t) = е(iH 1ў t)M x е(–iH 1ў t) t . Решение этого уравнения может быть представлено в виде ряда Mў x (t) = M x + Mў (1) x (t) + Mў (2) x (t) + …+ Mў (n) x (t), отдельные члены, которого получаются методом индукции с помощью соотношения
из последнего сразу же следует (32). Из (31) и (32) для первых двух четных моментов находим
B (34) M x заменено полным спином I x , пропорциональным M x . Поскольку мы определили гамильтониан в виде ħ H , следует помнить, что эти моменты соответствуют ширинам линии, измеренным в единицах w = 2 p n . Поделитесь этой записью или добавьте в закладки |
Полезные публикации |
(16б)
(19)
(24)
(IV.25б)
(IV.32)
Главная