Исследование электрических колебаний.
Цель работы : экспериментальное исследование собственных и вынужденных колебаний тока и напряжения на элементах в колебательном контуре; измерение параметров контура: индуктивности L, сопротивления R, добротности Q; исследование прохождения синусоидального тока через LCR-цепь.
Теоретическая часть. Рисунок 1.
Уравнение, которому удовлетворяет ток I в колебательном контуре (рис.1) с подключенным к нему генератором синусоидальной ЭДС
e
=
e
0
×
cos
w
t
имеет вид:
где:
Общее решение неоднородного линейного уравнения (1):
где:
I 0 - амплитуда вынужденных колебаний тока. D j - разность фаз между ЭДС и током.
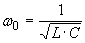
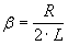
Собственные колебания:
Если
b
2
<
w
0
2
, то есть R<2
×
За характерное время
Если b 2 ³ w 0 2 , то w ¢ - мнимая частота, и колебания представляют собой апериодический процесс.
Вынужденные колебания: c течением времени первый член в формуле (2) обращается в ноль и остается только второй, описывающий вынужденные колебания тока в контуре.
При совпадении частоты ЭДС с собственной частотой контура ( w = w 0 ), амплитуды колебаний тока и напряжения U R0 на резисторе максимальны. Большой селективный отклик колебательной системы на периодическое внешнее воздействие называется резонансом . Экспериментальная часть. Результаты эксперимента:
Задание 1. Исследование зависимости амплитуды вынужденных колебаний от частоты (резонансная кривая). Исходные данные:U вых =200 мВ, e ЭФ =200 мВ. f Î [180;300] кГц. Расчеты необходимых величин:
Строим график зависимости
,где
w
1
и
w
2
- значения частот на уровне
Из экспериментального графика
Исследование зависимости разности фаз между ЭДС и током в контуре.
Из экспериментального графика D j =F( f ) получаем: f 0 =218 кГц.
Сравнивая полученные результаты с результатами из предыдущего опыта видно, что различие в величинах w 0 и L незначительны.
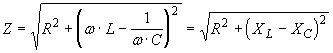
Можно сделать вывод, что при резонансной частоте X L » X C и величина импеданса цепи минимальна. Рисунок 2.
Задание 2. Исследование собственных электрических колебаний.
На данном рисунке представлена форма затухающих колебаний напряжения U C на конденсаторе, полученная с помощью осциллографа. Изображение совпадает с теоретическим графиком. Из графика: Т=2 × 2,4 × 10 -6 с - период колебаний. t =2 × 3,8 × 10 -6 с - время релаксации.
Задание 3. Исследование прохождения синусоидального тока через LCR - цепь .
Построим график U 0ВЫХ =F( f ). Резонансная частота из графика равна: f 0 =220 кГц.
R=50 Ом, f =2 МГц.
Погрешности измерений. Задание 1. 1) Погрешность f 0 : f определяли на частотомере
2) Погрешность L:
3) Погрешность Q:
4) Погрешность R: e R =5% D R=3,1Ом
5) Погрешность X
L
:
6) Погрешность X C :
7) Погрешность b :
Вывод: на этой работе мы экспериментально исследовали собственные и вынужденные колебания тока и напряжения на элементах в колебательном контуре; измерили параметры контура: индуктивности L, сопротивления R, добротности Q; исследовали прохождение синусоидального тока через LCR-цепь.
Поделитесь этой записью или добавьте в закладки |
Полезные публикации |
(3)
(4)
- импеданс цепи.
видно, что он по своей форме совпадает с графиком, полученным теоретически из формулы:
Главная