Иррациональные уравнения
СОДЕРЖАНИЕ. Введение . 1.Из истории 2. Определение иррациональных уравнений 2.1.Равносильные уравнения. Следствия уравнений. 2.2.Опреднление иррациональных чисел. 3. Методы решения иррациональных уравнений. 3.1.Решение иррациональных уравнений методом возведения обеих частей уравнения в одну и ту же степень. 3.2.Метод введения новых переменных. 3.3.Исскуственные приёмы решения иррациональных уравнений . Заключение Список используемой литературы
ВВЕДЕНИЕ В школьном курсе алгебры рассматриваются различные виды уравнений – линейные, квадратные, биквадратные, кубические, рациональные, с параметрами, иррациональные и другие. Данная курсовая работа посвящена иррациональным уравнениям, методам их решения. Кроме того, в работе введены понятия уравнений следствий и равносильных уравнений, а также приведены примеры задач, математическими моделями которых служат иррациональные уравнения. В данной работе содержится небольшая историческая справка, посвященная введению иррациональных чисел
1. ИЗ ИСТОРИИ Термин “рациональное” (число) происходит от латиноамериканского слова ratio – отношение, которое является переводом греческого слова “логос”в отличие от рациональных чисел, числа, выражающие отношение несоизмеримых величин, были названы еще в древности иррациональными, т.е. нерациональными (по-гречески “алогос”) правда, первоначально термины “рациональный” и “иррациональный” относились не к числам, а к соизмеримым и соответственно не соизмеримым величинам, которые пифагорейцы называли выразимыми и невыразимыми, Теодор Киренский же симметричными и ассимметричными. В V-VI вв. римские авторы Капелла и Кассиодор переводили эти термины на латынь словами rationalis и irrationalis. Термин “соизмеримый” (commensurabilis) ввел в первой половине VI в. другой римский автор- Боэций. Древнегреческие математики классической эпохи пользовались только рациональными числами (вернее целыми, дробными и положительными). В своих “Началах” Евклид излагает учение об иррациональностях чисто геометрически. Математики Индии, Ближнего и Среднего Востока, развивая алгебру, тригонометрию и астрономию, не могли обойтись без иррациональных величин, которые, однако, длительное время не признавали за числа. Греки называли иррациональную величину, например, корень из квадратного числа, “алогос” – невыразимое словами, а позже европейские переводчики с арабского на латынь перевели это слово латинским словом surdus – глухой. В Европе термин surdus- глухой впервые появился в середине XII в. у Герарда Кремонского, известного переводчика математических прозведений с арабского на латынь, затем у итальянского математика Леонардо Фабоначчи и других европейских математиков, вплоть до XVIII в. Правда уже в XVI в. Отдельные ученые, в первую очередь итальянский математик Рафаэль Бомбелли и нидерландский математик Симон Стевин считали понятие иррационального числа равноправным с понятием рационального числа. Стевин писал: “Мы приходим к выводу, что не существует никаких абсурдных, иррациональных, неправильных, необъяснимых или глухих чисел, но что среди чисел существует такое совершенство и согласие, что нам надо размышлять дни и ночи над их удивительной закономерностью.” Еще до Бомбелли и Стевина многие ученые стран Среднего Востока в своих трудах употребляли иррациональные числа как полноправные объекты алгебры. Более того, комментируя “Начала” Евклида и исследуя общую теорию отношения Евдокса, Омар Хайям уже в начале XII в. теоретически расширяет понятие числа до положительного действительного числа. В том же направлении много было сделано крупнейшим математиком XIII в. ат-Туси. Математики и астрономы Ближнего и Среднего Востока вслед за астрономами древнего Вавилона и эллинистической эпохи широко пользовались шестидесятеричными дробями, арифметические действия с которыми они называли “арифметикой астрономов”. По аналогии с шестидесятеричными дробями самаркандский ученый XV в. ал-Каши в работе “Ключ арифметики” ввел десятичные дроби которыми он пользовался для повышения точности извлечения корней. Независимо от него по такому же пути шел открывший в 1585 г. десятичные дроби в Европе Симон Стевин, который в своих “приложениях к алгебре” (1594 г.) показал, что десятичные дроби можно использовать для бесконечно близкого приближения к действительному числу. Таким образом, уже в XVI в. зародилась идея о том, что естественным аппаратом для введения и обоснования понятия иррационального числа являются десятичные дроби. Появление “Геометрии” Декарта облегчило понимание связи между измерением любых отрезков (и геометрических величин вообще) и необходимости расширения понятия рационального числа. На числовой оси иррациональные числа, как и рациональные, изображаются точками. Это геометрическое толкование позволило лучше понять природу иррациональных чисел и способствовало их признанию. В современных учебных руководствах основа определения иррационального числа опирается на идеи ал-Каши, Стевина и Декарта об измерении отрезков и о неограниченном приближении к искомому числу с помощью бесконечных десятичных дробей. Однако обоснованием свойств действительных чисел и полная теория их была разработана лишь в XIX в.
2. ОПРЕДЕЛЕНИЕ ИРРАЦИОНАЛЬНЫХ УРАВНЕНИЙ
При решении уравнений выполняются различные тождественные преобразования над выражениями, входящими в уравнение. При этом исходное уравнение изменяется другими, имеющими те же корни. Такие уравнения называются равносильными. Определение: Уравнение f(x)=g(x) равносильно уравнению f1(x)=g1(x), если каждый корень первого уравнения является корнем второго и обратно, каждый корень второго уравнения является корнем первого, т.е. их решения совпадают. Например, уравнения 3x-6=0 ; 2х–1=3 равносильны, т.к. каждое из уравнений имеет один корень х=2 . Любые два уравнения, имеющие пустое множество корней, считают равносильными.
В процессе решения уравнений важно знать, при каких преобразованиях данное уравнение переходит в равносильное ему уравнение. Теорема 1: Если какое-либо слагаемое перенести из одной части уравнения в другую, изменив его знак, то получим уравнение, равносильное данному.
Доказательство:
f(x) – q(x) = g(x) (2) Пусть х=а – корень уравнения. Значит имеет место числовое равенство f(a)=g(a)+q(a) . Но тогда по свойству действительных чисел будет выполняться и числовое равенство f(a)-q(a)=g(a) показывающее, что а – корень уравнения (2). Аналогично доказывается, что каждый корень уравнения (2) является и корнем уравнения (1). Что и требовалось доказатью. Теорема 2: Если обе части уравнения умножить или разделить на отличное от нуля число, то получим уравнение, равносильное данному. Доказательство: докажем, что уравнение 6х–3=0 равносильно уравнению 2х–1=0 решим уравнение 6х–3=0 и уравнение 2х–1=0 6х=3 2х=1 х=0,5 х=0,5 так как корни уравнений равны, то уравнения равносильны. Что и требовалось доказать. Рассмотрим уравнение
ОДЗ этого уравнения {х ≠ 1, х ≠ -3} Мы знаем, что дробь равна нулю в том случае, когда ее числитель равен нулю, т.е. хІ+х–2=0 , а знаменатель не равен 0. Решая уравнение хІ+х–2=0 , находим корни х1=1 , х2 = –2 . Но число 1 не входит в ОДЗ данного уравнения и значит, исходное уравнение имеет один корень х=-2 .
пусть даны два уравнения: f1 (x) = g1 (x) (3) f2 (x) = g2 (x) (4) Если каждый корень уравнения (3) является корнем уравнения (4), то уравнение (4) называют следствием уравнения (3).
В том случае, когда уравнение (3) - есть также следствие уравнения (4), эти уравнения равносильны.
В приведенном выше примере уравнение – следствие
В общем случае корни уравнения-следствия, не являющиеся корнями исходного уравнения, называют посторонними.
и потому отброшен.
ОДЗ которого {х № -2},
В тех случаях, когда в результате преобразований произошел переход от исходного уравнения к уравнению, не являющемуся его следствием, возможна потеря корней. Например, уравнение (х+1)(х+3)= х+1 (5) Имеет два корня. Действительно, перенося все члены уравнения в левую часть и вынося х+1 за скобки, получим (х+1)(х+2)=0 , откуда находим х1=-1, х2=-2 . Если же обе части уравнения (5) разделить (“сократить”) на х+1 , то получим уравнение х+3=1 , имеющее один корень х=-2 . В результате такого преобразования корень х=-1 потерян. Поэтому делить обе части уравнения на выражение, содержащее переменную, можно лишь в том случае, когда это выражение отлично от нуля. Для того, чтобы в процессе решения уравнения избежать потери корней, необходимо следить за тем, чтобы переход осуществлялся либо к равносильным уравнениям, либо к уравнениям-следствиям. 2.2. Определение иррациональных уравнений . Иррациональными называются уравнения, в которых переменная содержится под знаком корня или под знаком операции возведения в дробную степень. Например:
3. МЕТОДЫ РЕШЕНИЯ ИРРАЦИОНАЛЬНЫХ УРАВНЕНИЙ. 3.1. Решение иррациональных уравнений методом возведения обеих частей уравнения в одну и ту же степень. Пример №1
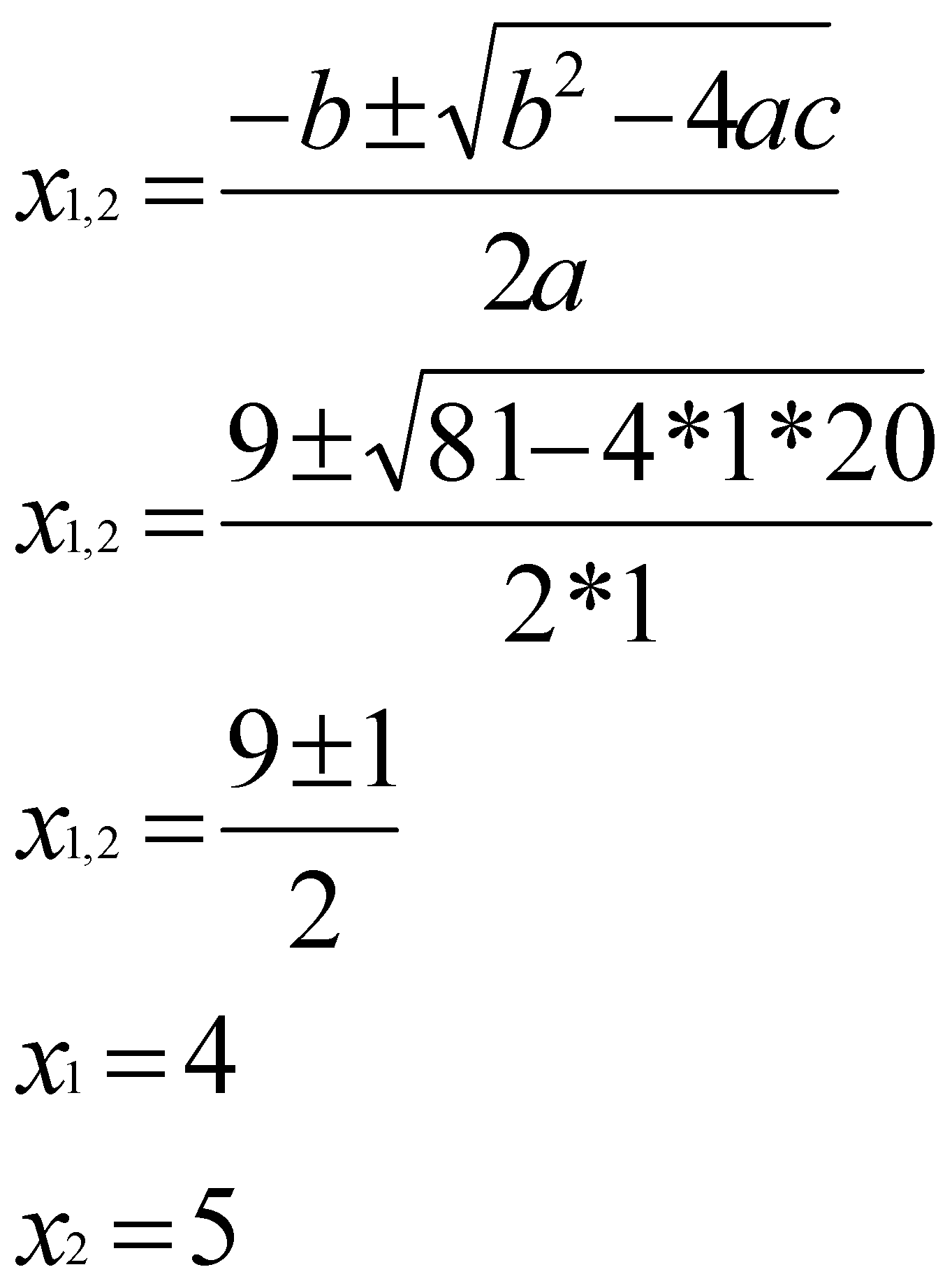
далее последовательно имеем: 5х – 16 = хІ - 4х + 4 хІ - 4х + 4 – 5х + 16 = 0 хІ - 9х + 20 = 0
значения – корни уравнения. Ответ: 4; 5.
Пример №2 Решить уравнение:
(2) Решение: Преобразуем уравнение к виду:
далее последовательно получаем.
далее находим: 9(х+2)=4–4х+хІ 9х+18–4+4х-хІ=0 -хІ+13х+14=0 хІ-13х–14=0 х1+х2 =13 х1 =19 х1 х2 = -14 х2 = -1 по теореме, обратной теореме Виета, х1=14, х2 = -1 корни уравнения хІ-13х–14 =0
Проверка: подставив значение х=-14 в уравнение (2), получим– - не верное равенство. Поэтому х = -14 – не корень уравнения (2).
- верное равенство. Поэтому x=-1 - корень уравнения (2). Ответ: -1 3.2 Метод введения новых переменных .
Решить уравнение Решение: Конечно, можно решить это уравнение методом возведения обеих частей уравнения в одну и ту же степень. Но можно решить и другим способом – методом введения новых переменных.
Введем новую переменную Тогда получим 2yІ+y–3=0 – квадратное уравнение относительно переменной y. Найдем его корни:
Т.к. , то – не корень уравнения, т.к. не
может быть отрицательным числом . А - верное равенство, значит x=1- корень уравнения. Ответ: 1.
Решить уравнение:
(1) Решение: Умножим обе части заданного уравнения на выражение
сопряжённое выражению
Так как
Или Произведение равно нулю тогда и только тогда, когда хотя бы один из множителей равен нулю, а другой при этом известен. Тогда x1=0.Остаётся решить уравнение:
(2) Сложив уравнения (1) и (2), придём к уравнению
(3) Решая уравнение (3) методом возведения в квадрат, получим:
Проверка:
x1=0, x2=4, x3= -4 подставим в уравнение
1)
- не верное равенство, значит x1=0- не корень уравнения.
3)
- не верное равенство, значит x3= -4 - не корень уравнения. Ответ: 4.
ЗАКЛЮЧЕНИЕ Итак, уравнения, которые содержат переменную под знаком корня, называются иррациональными. Иррациональные уравнения решаются в основном возведением обеих частей уравнения в квадрат (или n-ую степень) или введением новой переменной. Кроме того, пользуются и искусственными приемами решения иррациональных уравнений.
СПИСОК ИСПОЛЬЗУЕМОЙ ЛИТЕРАТУРЫ. 1) А.Г.Мордкович. Алгебра 8 класс. Учебник для общеобразовательных учреждений - Москва: Издательство “Мнемозина”, 1999. 2) М.Я.Выгодский. Справочник по элементарной математике - Москва: Издательство “Наука”, 1986. 3) А.П.Савин. Энциклопедический словарь юного математика – Москва: Издательство “Педагогика”, 1989. 4) А.И.Макушевич. Детская энциклопедия – Москва: Издательство “Педагогика”, 1972. 5) Н.Я.Виленкин. Алгебра для 9 класс. Учебное пособие для учащихся школ и классов с углубленным изучением изучением математики – Москва: Издательство “Просвещение”, 1998. Поделитесь этой записью или добавьте в закладки |
Полезные публикации |
В этом случае говорят, что уравнение
хІ+х–2=0
, есть следствие уравнения
Этот факт записывают так:
Два уравнения равносильны в том, и только в том случае, когда каждое из них является следствием другого.
То уравнение (1) примет вид:
Главная