ЛИНЕЙНАЯ ЗАВИСИМОСТЬ ВЕКТОРОВ. Пусть задана система векторов а 1 , а 2 , а 3 ,…,а л (1) одной размерности. Определение: система векторов (1) называется линейно-независимой, если равенство a 1 а 1 + a 2 а 2 +…+ a л а л =0 (2) выполняется лишь в том случае, когда все числа a 1 , a 2 ,…, a л =0 и Î R Определение: система векторов (1) называется линейно-зависимой, если равенство (2) выполнимо хотя бы при одном a i ¹ 0 (i=1,…,k) Свойства
Определение: два вектора называются коллинеарными, если они лежат на параллельных прямых. Определение: три вектора называются компланарными, если они лежат в параллельных плоскостях. Теорема: Если заданы два вектора a и b, причем а ¹ 0 и эти векторы коллинеарны, то найдется такое действительное число g , что b= g a. Теорема: Для того что бы два вектора были линейно-зависимы необходимо и достаточно, что бы они были коллениарны. Доказательство: достаточность. Т.к. векторы коллинеарны, то b= g a. Будем считать, что а,b ¹ 0 (если нет, то система линейно-зависима по 1 свойству). 1b- g a=0. Т.к. коэфф. При b ¹ 0, то система линейно зависима по определению. Необходимость. Пусть а и b линейно-зависимы. a а+ b b=0, a ¹ 0. а= -b/ a *b. а и b коллинеарны по определению умножения вектора на число. Теорема: для того, чтобы три вектора были линекно-зависимы необходимо и достаточно, чтобы они были компланарны. Необходимость. Дано: a, b, c – линейно-зависимы. Доказать: a, b, c – компланарны. Доказательство: т.к. векторы линейно-зависимы, то a а+ b b+ g c=0, g ¹ 0. с= - a / g *а - b / g *b. с-диагональ параллелограмма, поэтому a, b, c лежат в одной плоскости.
БАЗИС СИСТЕМЫ ВЕКТОРОВ. РАЗЛИЧНЫЕ СИСТЕМЫ КООРДИНАТ. 1. Определение: пусть задана некоторая система векторов. Базисом этой системы называется мах. совокупность линейно-независимых векторов системы. В множестве векторов на прямой базис состоит из одного ненулевого вектора. В качестве базиса множества векторов на плоскости можно взять произвольную пару. В множестве векторов в трехмерном пространстве базис состоит из трех некомпланарных векторов. 2. Прямоугольная (декартова) система координат на плоскости определяется заданием двух взаимно перпендикулярных прямых с общим началом и одинаковой масштабной ед. на осях. Прямоугольная (декартова) система координат в пространстве определяется заданием трех взаимно перпендикулярных прямых с общей точкойпересечения и одинаковой масштабной ед. на осях.
СКАЛЯРНОЕ ПРОИЗВЕДЕНИЕ ВЕКТОРОВ. Определение: скалярным произведением двух векторов называется произведение длин двух векторов на косинус угла между ними. (а,b)=|a| |b| cos u, u<90, пр-е полож.; u=90, пр-е =0; u>90, пр-е отриц. Свойства:
Определение: два вектора называются ортоганальными, когда скалярное пр-е равно 0. Определение: вектор называется нормированным, если его скал.кв.равен 1. Определение: базис множества векторов называется ортонормированным, если все векторы базиса взаимно-ортагональны и каждый вектор нормирован. Теорема: Если векторы а и b заданы координатами в ортонормированном базисе, то их скалярное произведение равно сумме произведений соответствующих координат. Найдем формулу угла между векторами по определению скалярного произведения. cos u=a,b/|a||b|=x 1 x 2 +y 1 y 2 +z 1 z 2 /sqrt(x 1 2 +y 1 2 +z 1 2 )*sqrt(x 2 2 +y 2 2 +z 2 2 )
ВЕКТОРНОЕ ПРОИЗВЕДЕНИЕ ВЕКТОРОВ. Определение: векторным произведением двух векторов a и b обозначаемым [a,b] называется вектор с удовлетворяющий след. требованиям: 1. |c|=|a||b|sin u. 2. (с,а)=0 и (с,b)=0. 3. а, b, с образуют правую тройку. Свойства:
Теорема: Длина векторного произведения векторов равна площади параллелограмма построенного на этих векторах. Доказательство: справедливость теоремы вытекает из первого требования определения векторного произведения. Теорема: Пусть векторы а и b заданы координатами в ортонормированном базисе, тогда векторное произведение равно определителю третьего порядка в первой строке которого наход-ся базисны векторы, во второй – координаты первого вектора, в третьей – координаты второго. Определение: ортой вектора а называется вектор ед. длины имеющий одинаковое направление с вектором а. e a =a/|a|
РАЗЛИЧНЫЕ УРАВНЕНИЯ ПРЯМОЙ НА ПЛОСКОСТИ. 1.Общее ур-е пр. 2. Ур-е пр. в отрезках. 3. Каноническое ур-е пр. 4. Ур-е пр. ч/з две точки. 5. Ур-е пр. с углов. коэфф. 6. Нормальное ур-е прямой. Расст. от точки до прямой. 7. Параметрическое ур-е пр. 8. Пучок пр. 9.Угол между пр.
Теорема: n(A,B) ортоганален прямой заданной ур-ем (1). Доказательство: подставим коорд. т.М 0 в ур-е (1) и получим Ах 0 +By 0 +C=0 (1’). Вычтем (1)-(1’) получим А(х-х 0 )+B(y-y 0 )=0, n(A,B), М 0 М(х-х 0 , y-y 0 ). Слева в полученном равенстве записано скалярное произведение векторов, оно равно 0, значит n и M 0 M ортоганальны. Т.о. n ортоганлен прямой. Вектор n(A,B) называется нормальным вектором прямой. Замечание: пусть ур-я А 1 х+B 1 y+C 1 =0 и А 2 х+B 2 y+C 2 =0 определяют одну и ту же прямую, тогда найдется такое действительное число t, что А 1 =t*А 2 и т.д. Определение: если хотя бы один из коэффициентов в ур-ии (1) =0, то ур-е называется неполным. 1. С=0, Ах+By=0 – проходит ч/з (0,0) 2. С=0, А=0, By=0, значит у=0 3. С=0, B=0, Ах=0, значит х=0 4. А=0, By+C=0, паралл. ОХ 5. B=0, Ах+C=0, паралл. OY
Геом.смысл: прямая отсекает на осях координат отрезки а и b
Пусть на прямой задана точка и напр. вектор прямой (паралл.пр.). Возьмем на прямой произв. точки. q и M 1 М(х-х 1 ; y-y 1 )
Пусть на прямой даны две точки М 1 (x 1 ;y 1 ) и М 2 (x 2 ;y 2 ). Т.к. на прямой заданы две точки, то задан направляющий вектор q(x 2 -x 1 ; y 2 -y 1 )
u – угол наклона прямой. Tg угла наклона называется угловым коэффициентом прямой k=tg u Пусть прямая задана в каноническом виде. Найдем угловой коэффициент прямой tg u = m/e. Тогда видим x-x 1 /e/e=y-y 1 /m/e. y-y 1 =k(x-x 1 ) при y 1 -kx 1 =b, y=kx+b
q - угол между вектором ОР и положительным напр. оси ОХ. Задача: записать ур-е прямой , если изветны Р и q Решение: Выделим на прямой ОР вектор ед. длины n. |n|=1, n(cos q , sin q ). Пусть М(x,y) – произв.точка прямой. Рассмотрим два вектора n и ОМ. Найдем двумя способвами их скал.произведение. 1. ОМ*n=|OM||n|cosMOP=Р. 2. ОМ*n=cos q x+sin q y. Приравняем правые части. Задача: прямая задана общим ур-ем. Перейти к норм. виду. Ах+By+C=0 xcos q +ysin q -P=0 т.к. уравнения определяют одну прямую, то сущ. коэфф. пропорциональности. Cos 2 q =(A*t) 2 Sin 2 q =(B*t) 2 -p=C*t cos 2 q +sin 2 q =t 2 (A 2 +B 2 ), t 2 =1/A 2 +B 2 , t= ± sqrt(1/ A 2 +B 2 ). Sign t= - sign C Что бы найти нормальное уравнение прямой нужно общее ур-е умножить на t. Аtх+Bty+Ct=0, t-нормирующий множитель.
7. Система: x=et+x 1 и y=mt+y 1
НОРМАЛЬНОЕ УРАВНЕНИЕ ПРЯМОЙ. Расстояние от точки до прямой. 1. xcos q +ysin q -P=0 q - угол между вектором ОР и положительным напр. оси ОХ. Задача: записать ур-е прямой , если изветны Р и q Решение: Выделим на прямой ОР вектор ед. длины n. |n|=1, n(cos q , sin q ). Пусть М(x,y) – произв.точка прямой. Рассмотрим два вектора n и ОМ. Найдем двумя способвами их скал.произведение. 1. ОМ*n=|OM||n|cosMOP=Р. 2. ОМ*n=cos q x+sin q y. Приравняем правые части. Задача: прямая задана общим ур-ем. Перейти к норм. виду. Ах+By+C=0 xcos q +ysin q -P=0 т.к. уравнения определяют одну прямую, то сущ. коэфф. пропорциональности. Cos 2 q =(A*t) 2 Sin 2 q =(B*t) 2 -p=C*t cos 2 q +sin 2 q =t 2 (A 2 +B 2 ), t 2 =1/A 2 +B 2 , t= ± sqrt(1/ A 2 +B 2 ). Sign t= - sign C Что бы найти нормальное уравнение прямой нужно общее ур-е умножить на t. Аtх+Bty+Ct=0, t-нормирующий множитель. 2. Обозначим d – расстояние от точки до прямой, а ч/з б – отклонение точки от прямой. б=d, если нач.коорд. и точка по разные стороны; = - d, если нач.коорд. и точка по одну сторону. Теорема: Пусть задано нормальное уравнение прямой xcos q +ysin q -P=0 и М 1 (x 1 ;y 1 ), тогда отклонение точки М 1 = x 1 cos q +y 1 sin q -P=0 Задача: найти расстояние от точки М 0 (x 0 ;y 0 ) до прямой Ах+By+C=0. Т.к. d=|б|, то формула расстояний принимает вид d=| x 0 cos q +y 0 sin q -P|. d=|Ах 0 +By 0 +C|/sqrt(A 2 +B 2 )
ГИПЕРБОЛА. Определение: ГМТ на плоскости модуль разности расстояний от которых до двух фиксированных точек, называемых фокусами, есть величина постоянная Каноническое уравнение:
Будем считать, что фокусы гиперболы находятся на ОХ на одинаковом расстоянии от начала координат. |F
1
F
2
|=2c, М – произвольная точка гиперболы. r
1
, r2 – расстояния от М до фокусов;
x 2 c 2 -2a 2 xc+a 2 =a 2 (x 2 -2xc+c 2 +y 2 ) x 2 (c 2 -a 2 )-a 2 y 2 =a 2 (c 2 -a 2 ) c 2 -a 2 =b 2 x 2 b 2 -a 2 y 2 =a 2 b 2
ПАРАБОЛА. Определение: ГМТ на плоскости расстояние от которых до фиксированной точки на плоскости, называемой фокусом, равно расстоянию до фиксированной прямой этой плоскости называемой директрисой. Каноническое уравнение: Пусть фокус параболы находится на оси ОХ, а директриса расположение перпендикулярно оси ОХ, причем они находятся на одинаковом расстоянии от начала координат. |DF|=p, М – произвольная точка параболы; К – точка на директрисе; МF=r; MK=d; r=sqrt((x-p/2) 2 +y 2 ); d=p/2+x Приравниваем и получаем: y 2 =2px - каноническое уравнение параболы
ЭКСЦЕНТРИСИТЕТ И ДИРЕКТРИСА ЭЛЛИПСА И ГИПЕРБОЛЫ. 1. Определение: эксцентриситет – величина равная отношению с к а. е=с/а е эллипсв <1 (т.к. а>c) е гиперболы >1 (т.к. с>a) Определение: окружность – эллипс у которого а=b, с=0, е=0. Выразим эксцентриситеты через а и b:
е эллипса является мерой его “вытянутости” е гиперболы характеризует угол раствора между асимптотами 2. Директрисой D эллипса (гиперболы), соответствующей фокусу F, называется прямая расположенная в полуплоскости a перпендикулярно большой оси эллипса и отстоящий от его центра на расстоянии а/е>a (а/е<a) D 1 : x= - a/e D 2 : x= a/e
р=а(1-е 2 )/е – для эллипса р=а(е 2 -1)/е – для гиперболы
ТЕОРЕМА ОБ ОТНОШЕНИИ РАССТОЯНИЙ. 2-ОЕ ОПРЕДЕЛЕНИЕ ЭЛЛИПСА, ГИПЕРБОЛЫ, ПАРАБОЛЫ. Теорема: Отношение расстояния любой точки эллипса (гиперболы) до фокуса к расстоянию от нее до соответствующей директрисы есть величина постоянная равная е эллипса (гиперболы). Доказательство: для эллипса. r 1 /d 1 =e
r 1 =xe+a
d 1 – расстояние от М(x,y) до прямой D 1 xcos180+ysin180-p=0 x=-p x=-a/e б м =-x-a/e d 1 =-б м (минус, т.к. прямая и точка по одну стороно о начала коорд.)
Определение: ГМТ на плоскости, отношение расстояния от которых до фокуса, к расстоянию до соответствующей директрисы есть величина постоянная и представляет собой эллипс, если <1, гиперболу, если >1, параболу, если =1.
ПОЛЯРНОЕ УРАВНЕНИЕ ЭЛЛИПСА, ГИПЕРБОЛЫ, ПАРАБОЛЫ. Пусть задан эллипс, парабола или правая ветвь гиперболы. Пусть задан фокус этих кривых. Поместим полюс полярной системы в фокус кривой, а полярную ось совместим с осью симметрии, на которой находится фокус. r= r d=p+ r cos j e= r /p+ r cos j
КАСАТЕЛЬНАЯ К КРИВОЙ 2-ГО ПОРЯДКА. Пусть задан эллипс в каноническом виде. Найдем уравнение касательной к нему, проходящей через М 0 (x 0 ;y 0 ) – точка касания, она принадлежит эллипсу значит справедливо:
у-у 0 =y’(x 0 )(x-x 0 )
Рассмотрим касательную к кривой
ya 2 y 0 -a 2 y 0 2 +b 2 x 0 x-b 2 x 0 2 =0
ПРЕОБРАЗОВАНИЕ ДЕКАРТОВЫХ ПРЯМОУГОЛЬНЫХ КООРДИНАТ НА ПЛОСКОСТИ. Преобразование на плоскости есть применение преобразований параллельного переноса и поворота. Пусть две прямоугольные системы координат имеют общее начало. Рассмотрим все возможные скалярные произведения базисных векторов двумя способами: (е 1 ;е 1 ’)=cos u (е 1 ;е 2 ’)=cos (90+u)= -sin u (е 2 ;е 1 ’)=cos (90-u)=sin u (е 2 ;е 2 ’)=cos u Базис рассматривается ортонормированный: (е 1 ;е 1 ’)=(е 1 , a 11 е 1 + a 12 е 2 )= a 11 (е 1 ;е 2 ’)= (е 1 , a 21 е 1 + a 22 е 2 )= a 21 (е 2 ;е 1 ’)= a 12 (е 2 ;е 2 ’)= a 22 Приравниваем: a 11 =cos u a 21 = - sin u a 12 =sin u a 22 =cos u Получаем: x=a+x’cos u – y’sin u y=b+x’sin u – y’cos u - формулы поворота системы координат на угол u. ------------ x=a+x’ y=b+y’ - формулы параллельного переноса
ИНВАРИАНТЫ УРАВНЕНИЯ ЛИНИЙ 2-ГО ПОРЯДКА. Определение: Инвариантой ур-я (1) линии второго порядка относительно преобразования системы координат, называется функция зависящая от коэффициентов ур-я (1) и не меняющая своего значения при преобразовании системы координат. Теорема: инвариантами уравнения (1) линии второго порядка относительно преобразования системы координат являются следующие величины: I 1 ; I 2 ; I 3 Вывод: при преобразовании системы координат 3 величины остаются неизменными, поэтому они характеризуют линию. Определение: I 2 >0 – элиптический тип I 2 <0 – гиперболический тип I 2 =0 – параболический тип
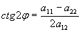
ЦЕНТР ЛИНИИ 2-ГО ПОРЯДКА. Пусть задана на плоскости линия уравнением (1). Параллельный перенос: Параллельно перенесем систему XOY на вектор OO’ т.о. что бы в системе X’O’Y’ коэфф. при x’ и y’ преобразованного уравнения кривой оказались равными нулю. После этого: a 11 x’ 2 +2a 12 x’y’+a 22 y’ 2 +a’ 33 =0 (2) точка О’ находится из условия: a 13 ’=0 и a 23 ’=0. Получается система a 11 x 0 +a 12 y 0 +a 13 =0 и a 12 x 0 +a 22 y 0 +a 23 =0 Покажем, что новое начало координат (если система разрешима) является центром симметрии кривой: f(x’;y’)=0, f(-x’;-y’)= f(x’;y’) Но точка О’ существует если знаменатели у x 0 и y 0 отличны от нуля. Точка O’ – единственная точка. Центр симметрии кривой существует если I 2 ¹ 0 т.е. центр симметрии имеют линии элиптического и гиперболического типа Поворот: Пусть система XOY повернута на угол u. В новой системе координат уравнение не содержит члена с x’y’ т.е. мы делаем коэфф. а 12 =0. a 12 ’= -0,5(a 11 -a 22 )sin2u+a 12 cos2u=0 (разделим на sin2u), получим:
a 11 ’x’ 2 +a 22 ’y’ 2 +2a 13 ’x’+2a 23 ’y’+a 33 ’=0 (3)
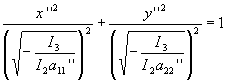
ТЕОРЕМА О ЛИНИЯХ ЭЛИПТИЧЕСКОГО ТИПА. Теорема: Пусть задана линия элиптического типа т.е. I 2 >0 и пусть I 1 >0 следовательно уравнение (1) определяет: 1. I 3 <0 – эллипс; 2. I 3 =0 – точка; 3. I 3 >0 – ур-е (1) не определяет. Если I 3 =0 говорят, что эллипс вырождается в точку. Если I 3 >0 говорят, что задается мнимый эллипс. Пусть после ПП и поворота ур-е (1) принимает вид (*). Доказательство: 1. пусть I 2 >0, I 1 >0, I 3 <0, тогда а 11 ’’x’’ 2 +a 22 ’’ y’’ 2 = -I 3 /I 2
I 2 =a 11 ’’a 22 ’’ > 0 I 1 = a 11 ’’+a 22 ’’ > 0 a 11 ’’ > 0; a 22 ’’ > 0
Итак, под корнями стоят положительные числа, следовательно, уравнение эллипса. 2. I 3 >0 в данном случае под корнем стоят отрицательные числа, следовательно уравнение не определяет действительного геометрического образа. 3. I 3 =0 в данном случае т(0,0) – случай вырождения эллипса.
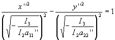
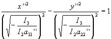
ТЕОРЕМА О ЛИНИЯХ ГИПЕРБОЛИЧЕСКОГО ТИПА. Теорема: Пусть уравнение (1) определяет линию гиперболического типа. Т.е. I 2 <0, I 3 ¹ 0 - ур-е (1) определяет гиперболу; I 3 =0 – пару пересекающихся прямых. Доказательство: I 2 <0; I 2 = a 11 ’’a 22 ’’ < 0. Пусть a 11 ’’>0; a 22 ’’<0 Пусть I 3 >0
В данном случае мы имеем гиперболу с действительной осью ОХ. Пусть I 3 <0 -(-а 11 ’’)x’’ 2 +a 22 ’’ y’’ 2 = -I 3 /I 2
В этом случае мы имеем гиперболу с действительной осью ОY Пусть I 3 =0 а 11 ’’x’’ 2 -(-a 22 ’’)y’’ 2 =0
АСИМПТОТИЧЕСКИЕ НАПРАВЛЕНИЯ КРИВЫХ 2-ГО ПОРЯДКА. Пусть крива второго порядка задана уравнением (1). Рассмотрим квадратную часть этого уравнения: u(x,y)= a 11 x 2 +2a 12 xy+a 22 y 2 Определение: ненулевой вектор ( a , b ) координаты которого обращают в ноль квадратичную часть называется вектором асимптотического направления заданной кривой. ( a , b ) – вектор асимптотического направления. a 11 a 2 +2a 12 a b +a 22 b 2 =0 (*)
Рассмотрим (
a
’,
b
’) параллельный (
a
,
b
):
Задача: выяснить какие асимптотические направления имеют кривые 2-го порядка. Решение: положим, что b ¹ 0 и поделим на b 2 , получим: a 11 ( a / b ) 2 +2a 12 a / b +a 22 =0 из этого квадратного уравнения найдем a / b .
т.к. у линий гиперболического и параболического типов I 2 £ 0, то они имеют асимптотические направления. Т.к. у эллипса I 2 >0 следовательно таких у него нет (говорят он имеет мнимые асимптотические направления). Найдем асимптотические направления у гиперболы:
( a , b ) 1 =(a,b) ( a , b ) 2 =(-a,b) Векторы асимптотического направления являются направляющими векторами для асимптот. Итак: гипербола имеет два асимптотических направления, которые определяются асимптотами гиперболы. Найдем асимптотические направления у параболы: y 2 =2px y 2 -2px=0 u(x,y)= y 2 +0, y=0 ( a , b )=(0,0) Итак: вектор асимптотического направления параболы лежит на оси симметрии параболы, т.е. прямая асимптотического направления пересекает параболу в одной точке, след. асимптотой не является. Парабола имеет одно асимптотическое направление, но асимптот не имеет.
РАЗЛИЧНЫЕ УРАВНЕНИЯ ПЛОСКОСТИ. Пусть задано трехмерное пространство. Теорема: Плоскость в афинной системе координат задается уравнением первой степени от трех переменных: Ax+By+Cz+D=0, где A,B,C ¹ 0 одновреенно. Справедлива и обратная теорема. Теорема: Вектор n(A, B, C) ортоганален плоскости, задаваемой общим уравнением. Вектор n – нормальный вектор плоскости.
2. Уравнение плоскости в отрезках:
3. Уравнение плоскости, определенной нормальным вектором и точкой. Пусть n(A,B,C) и М(x 0 ;y 0 ;z 0 ). Запишем ур-е пл-ти: Ax+By+Cz+D=0 Ax 0 +By 0 +Cz 0 =-D A(x-x 0 )+B(y-y 0 )+C(z-z 0 )=0
Пусть известны три точки не принадл. одной прямой. М 1 (x 1 ;y 1 ;z 1 ); М 2 (x 2 ;y 2 ;z 2 ); М 3 (x 3 ;y 3 ;z 3 ) Пусть М(x;y;z) – произвольная точка плоскости. Т.к. точки принадл. одной плоскости то векторы компланарны. М 1 М x-x 1 y-y 1 z-z 1 М 1 М 2 x 2 -x 1 y 2 -y 1 z 2 -z 1 =0 М 1 М 3 x 3 -x 1 y 3 -y 1 z 3 -z 1
Пусть плоскость определена точкой и парой некомпланарных векторов. V(V 1 ;V 2 ;V 3 ); U(U 1 ;U 2 ;U 3 ); M 0 (x 0 ;y 0 ;z 0 ), тогда плостость имеет вид: система: x=x 0 +V 1 t+U 1 s и y=y 0 +V 2 t+U 2 s и z=z 0 +V 3 t+U 3 s
РАССТОЯНИЕ ОТ ТОЧКИ ДО ПЛОСКОСТИ. Ax+By+Cz+D=0; M 0 (x 0 ;y 0 ;z 0 )
ВЗАИМНОЕ РАСПОЛОЖЕНИЕ ПЛОСКОСТЕЙ В ПРОСТРАНСТВЕ. Угол между плоскостями: пусть заданы две плоскости: A 1 x+B 1 y+C 1 z+D 1 =0; A 2 x+B 2 y+C 2 z+D 2 =0, поэтому n 1 (A 1 ;B 1 ;C 1 ); n 2 (A 2 ;B 2 ;C 2 ). Отыскание угла между плоскостями сводится к отысканию его между нормальными векторами.
Поделитесь этой записью или добавьте в закладки |
Полезные публикации |
Главная