Вопросы по курсу “МАТЕМАТИКА” для студентов 2 курса дневного отделения
Случайным естественно называть такое событие, которое при заданном комплексе условий может, как произойти так и не произойти. Мера возможности осуществления такого события и есть его вероятность. Достоверное и невозможное события могут рассматриваться как крайние частные случаи случайных событий. Достоверным называют событие, которое обязательно произойдет при осуществлении определенного комплекса условий. Так, например, вода при нормальных атмосферных условиях и 0 замерзает. Невозможным является событие, которое при заданном комплексе условий никогда не произойдет. Таким образом, вероятность – это шансы осуществления любого составного события, состоящего из нескольких элементарных.
В общем случае, когда имеется n равновозможных элементарных событий w1,…,wn, вероятность любого составного события А, состоящего из m элементарных событий wi1,…,wim, определяется как отношение числа элементарных событий, благоприятствующих событию А, к общему числу элементарных событий, т.е. P(A)=m/n.
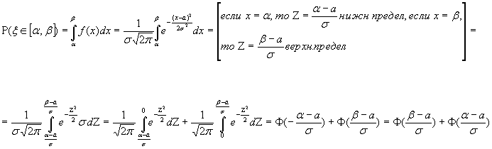
Пусть отрезок l составляет часть отрезка L. На отрезок L наудачу поставлена точка. Если предположить, что вероятность попадания точки на отрезок l пропорциональна длине этого отрезка и не зависит от его расположения относительно отрезка L, то вероятность попадания точки на отрезок l определяется равенством: P=Длина l/Длина L. Пусть плоская фигура g составляет часть плоской фигуры G. На фигуру G наудачу брошена точка. Если предположить, что вероятность попадания брошенной точки на фигуру g пропорциональна площади этой фигуры и не зависит ни от ее расположения относительно G, ни от формы g, то вероятность попадания точки в фигуру g определяется равенством: P=площадь g/площадь G. Аналогично определяется вероятность попадания точки в пространственную фигуру v, которая составляет часть фигуры V: P=Объем v/Объем V.
При общем определении вероятности используется пространство элементарных событий, при этом элементарные события являются неопределяемым понятием, но относительно них предполагается, что в результате испытаний обязательно происходит одно из этих элементарных событий. Элементарные события попарно не совместны и образуют группу событий. События, не являющиеся элементарными, отождествляются с теми элементарными событиями, которые благоприятствуют ему, следовательно, случайные события можно рассматривать как подмножество в пространстве элементарных событий, поэтому операции над случайными событиями: объединение (сложение), пересечение (умножение), эквивалентность, отрицание – полностью совпадают с соответствующими операциями над множествами. Операции объединения и пересечения множеств симметричны, т.е.
A
Вероятностью называется числовая функция, определенная на поле событий S и обладающая следующими свойствами: Аксиома 1. Для любого события A прин. S Р(А)>=0. Аксиома 2. Вероятность достоверного события равна единице Р (омега)=1. Аксиома 3. Вероятность объединения двух несовместных событий равна сумме вероятностей этих событий: А прин. S, В прин. S, А*В=0, Р(А+В)=Р(А)+Р(В). Док-во: Событие А является подмножеством омега, так как А={wi1,…,wim},то, согласно конечной схеме, Р(А)=сумме по l от 1 до m рil, 0<=pil<=1, l=1,…,m, поэтому Р(А)>=0, т.е. условие аксиомы 1 выполняется. Условие аксиомы 2 выполняется, поскольку омега={w1,…,wn}и на основании того, что Р(А)=сумме по l от 1 до m рil, то Р(омега)=сумма по i от 1 до n pi=1. Условие аксиомы 3 также выполняется, так как оно представляет собой содержание теоремы сложения для конечной схемы. Итак, конечная схема является примером объекта, для которого выполняется система аксиом теории вероятностей.
Вероятность появления хотя бы одного из двух совместных событий равна сумме вероятностей этих событий без вероятности их совместного появления: Р(А+В)=Р(А)+Р(В)-Р(АВ). Теорема может быть обобщена на любое конечное число совместных событий. Например, для трех совместных событий Р(А+В+С)=Р(А)+Р(В)+Р(С)-Р(АВ)-Р(АС)-Р(ВС)+Р(АВС). Если два составных события А={wi1,…,wim}и В={wj1,…,wjk} являются несовместными, то вероятность объединенного события С=А+В равна сумме вероятностей этих двух событий.
1) Условная вероятность события А при условии В равна Р(А/B)=P(A*B)/P(B), Р(В)>0. 2) Событие А не зависит от события В, если Р(А/B)=P(A). Независимость событий взаимна, т.е. если событие А не зависит от В, то событие В не зависит от А. В самом деле при Р(А)>0 имеем Р(B/A)=P(A*B)/P(A)=P(A/B)*P(B)/P(A)=P(A)*P(B)/P(A)=P(B). Вытекает следующая формула умножения вероятностей: Р(А*В)=Р(А)*Р(В/A). Для независимых событий вероятность произведения событий равна произведению их вероятностей: Р(А*В)=Р(А)*Р(В). 3) События А1,А2,…,Аn образуют полную группу событий, если они попарно несовместны и вместе образуют достоверное событие, т.е. Аi*Aj=0, i не=j, U по i от 1 до n Аi=омега. Вероятность совместного появления двух событий равна произведению вероятности одного из них на условную вероятность другого, вычисленную в предположении, что первое событие уже наступило: Р(АВ)=Р(А)*Ра(В). В частности для независимых событий Р(АВ)=Р(А)*Р(В), т.е. вероятность совместного появления двух независимых событий равна произведению вероятностей этих событий.
Вероятность события А, которое может наступить лишь при появлении одного из несовместных событий (гипотез) В1,В2,…,Вn , образующих полную группу, равна сумме произведений вероятностей каждой из гипотез на соответствующую условную вероятность события А: Р(А)=Р(В1)*Рb1(A)+P(B2)*Pb2(A)+…+P(Bn)=1. Если события А1,…,Аn, P(Ai)>0 образуют полную группу событий, то вероятность события В может быть представлена как сумма произведений безусловных вероятностей событий полной группы на условные вероятности события В: Р(В)=сумма по i от 1 до n P(Ai)*P(B/Ai).
Из формулы полной вероятности легко получить формулу Байеса: для события В с Р(В)>0 и для системы попарно несовместных событий Аi, P(Ai)>0, B прин. U по i от 1 до n Аi . Р(Аk/B)=P(Ak)*P(B/Ak)/сумма по i от 1 до n P(Ai)*P(B/Ai).
Случайной величиной называется функция Х=Х(w), определенная на множестве элементарных событий омега, w прин. омега. С.В. дискретна, если она принимает значения только из некоторого дискретного множества, или, точнее, С.В. дискретна, если существует конечное или счетное множество чисел х1, х2, х3,… таких, что P{X=xn}=pn>=0, n=1,2,3… и р1+р2+р3+…=1. Закон распределения Д.С.В. Х определен, если известны все хn и вероятности рn=P{X=xn} такие, что р1+р2+р3+…=1. Если составить таблицу, в верхней строке которой поместить значения Д.С.В. , а в нижней – соответствующие вер-ти, то получим ряд распределения С.В.
Функция распределения Fx(x) C.В. Х определяется формулой Fx(x)=P{w:X(w)<x}. Последнее равенство обычно записывается короче в виде Fx(x)=P{X<x}. Для простоты в тех случаях, когда это не может привести к неточности, будем писать F(x) вместо Fx(x). Рассмотрим свойства функции распределения: 1) Ф.Р. принимает значения из промежутка [0,1]: 0<=F(x)<=1. Данное свойство вытекает из того, что Ф.Р. – это вер-ть события {X<x}, а значение вер-ти любого события неотрицательно и не превышает единицы. 2) Вер-ть того, что С.В. примет значение из полуинтервала [x1,x2), равна разности F(x2) – F(x1): Р{x1<=X<=x2}= F(x2) – F(x1). 3) Ф.Р. – неубывающая функция, т.е. F(x2)>=F(x1),если х2>х1. 4) Р{X>=x}=1 – F(x). 5) Если х стремится к бесконечности, то F(x) к 1. 6) Если х стремится к – бесконечности, то F(x) к нулю. 7) Ф.Р. непрерывна слева, т.е. lim при дельта стрем. к +0 F(x – дельта)=F(x).
Мат. Ожиданием Д.С.В. называют сумму произведений всех ее возможных значений на их вероятности: М(Х)=х1р1+х2р2+…+хnpn. Если Д.С.В. принимает счетное множество возможных значений, то М(Х)=сумма по i от 1 до бесконечности xipi, причем мат. ожидание существует, если ряд в правой части равенства сходится абсолютно. Мат. ожидание обладает следующими свойствами: 1) Мат. ожидание постоянной величины равно самой постоянной: М(С)=С. 2) Постоянный множитель можно выносить за знак мат. ожидания: М (СХ)=СМ (Х). 3) Мат. ожидание произведения взаимно независимых С.В. равно произведению мат. ожиданий сомножителей: М (Х1,Х2…Хn)=M(X1)*M(X2)…M(Xn). 4) Мат. ожидание суммы С.В. равно сумме мат. ожиданий слагаемых: М (Х1+Х2+Х3+…+Хn)=M(X1)+M(X2)+M(X3)+…+M(Xn).
Дисперсией С.В. Х называют мат. ожидание квадрата отклонения С.В. от ее мат. ожидания: D (X)=M[X – M(X)]*2. Дисперсию удобно вычислять по формуле: D (X)=M (X*2) – [M (X)]*2. Дисперсия обладает следующими свойствами: 1) Д. постоянной равна нулю: D(C)=0. 2) Постоянный множитель можно выносить за знак Д., предварительно возведя его в квадрат: D (CX)=C*2D(X). 3) Д. суммы независимых С.В. равна сумме Д. слагаемых: D (X1+X2+…+Xn) =D(X1)+D(X2)+…+D(Xn).
Биномиальным называют закон распределения Д.С.В. Х - числа появлений события в n независимых испытаниях, в каждом из которых вероятность появления события равна р, вер-ть возможного значения Х=k (числа k появлений события) вычисляют по формуле Бернулли: Pn (k)=Cn*k p*k q*n-k.
Если число испытаний велико, а вероятность р появления события в каждом испытании очень мала, то используют приближенную формулу: Pn (k)=лямда*k e*-лямда/k!, где к – число появлений события в n независимых испытаниях, лямда=np (среднее число появлений события в n испытаниях), и говорят, что С.В. распределена по закону Пуассона.
С.В. Х имеет геометрическое распределение, если Pm=P{X=m}=q*m p, m=0,1,2,…, 0<p<1, q=1-p. Просуммировав бесконечно убывающую геометрическую прогрессию, легко убедиться в том, что сумма по m от 0 до бесконечности Pm=1: сумма по m от 0 до бесконечности Pm=сумма по m от 0 до бесконечности pq*m=p*1/1-q=1. Геометрическое распределение имеет С.В. Х, равная числу испытаний Бернулли до первого успеха с вероятностью успеха в единичном испытании р.
С.В. Х называется непрерывной, если существует неотрицательная функция рх(х) такая, что при любых х функцию распределения Fx(x) можно представить в виде: Fx(x)=интеграл от –бесконечности до х px(y)dy. Рассматривают только такие С.В., для которых рх(х) непрерывна всюду, кроме, может быть, конечного числа точек. Плотностью распределения вероятностей непрерывной С.В. называют первую производную от функции распределения: f(x)=F’(x). Вероятность того, что Н.С.В. Х примет значение, принадлежащее интервалу (а,b), определяется равенством P(a<X<b)=интервал от а до b f(x)dx. Зная плотность распределения можно найти функцию распределения F(x)=интеграл от –бесконечности до х f(x)dx. Плотность распределения обладает следующими свойствами: 1) П.Р. неотрицательна, т.е. f(x)>=0. 2) Несобственный интеграл от плотности распределения в пределах от –бесконечности до бесконечности равен единице: интеграл от –бесконечности до бесконечности f(x)dx=1.
Мат. ожидание Н.С.В. Х, возможные значения которой принадлежат всей оси ОХ, определяется равенством: М(Х)=интеграл от –бесконечности до бесконечности хf(x)dx, где f(x) - плотность распределения С.В. Х. Предполагается, что интеграл сходится абсолютно. В частности, если все возможные значения принадлежат интервалу (а,b), то М(Х)=интеграл от а до b xf(x)dx. Все свойства мат. ожидания, указаны выше, для Д.С.В. Они сохраняются и для Н.С.В.
Дисперсия Н.С.В. Х, возможные значения которой принадлежат всей оси ОХ, определяется равенством: D(X)=интеграл от –бесконечности до бесконечности [x-M(X)]*2f(x)dx, или равносильным равенством: D(X)=интеграл от –бесконечности до бесконечности x*2f(x)dx – [M(X)]*2. В частности, если все возможные значения х принадлежат интервалу (a,b),то D(X)=интервал от а до b [x – M(X)]*2f(x)dx,или D(X)=интеграл от a до b x*2f(x)dx – [M(X)]*2. Все свойства дисперсии Д.С.В. сохраняются и для Н.С.В.
Равномерным называют распределение вероятностей Н.С.В. Х, если на интервале (а,b), которому принадлежат все возможные значения Х, плотность сохраняет постоянное значение, а именно f(x)=1/(b-a); вне этого интервала f(x)=0. Нетрудно убедиться, что интеграл от –бесконечности до бесконечности р(х)dx=1. Для С.В., имеющей равномерное распределение , вероятность того, что С.В. примет значения из заданного интервала (х,х+дельта) прин. [a,b], не зависит от положения этого интервала на числовой оси и пропорциональна длине этого интервала дельта: P{x<X<x+дельта}=интеграл от х до х+дельта 1/b-adt=дельта/b-a. Функция распределения Х имеет вид: F(x)=0, при х<=a, x-a/b-a,при a<x<=b,1при х>b.
Н.С.В. Х, принимающая неотрицательные значения, имеет показательное распределение с параметром лямда, если плотность распределения С.В. при x>=0 равна р(х)=лямда*е в степени - лямда*х и при x<0 р(х)=0. Функция распределения С.В. Х равна F(x)=интеграл от –бесконечности до х р(t)dt=0, при x<=0,1-е в степени –лямда*х при x>0.
Н.С.В. Х имеет нормальное распределение вероятностей с параметром а и сигма>0, если ее плотность распределения имеет вид: р(х)=1/(корень квадратный из 2пи *сигма) * е в степени –1/2*(x-a/сигма)*2. Если Х имеет нормальное распределение, то будем кратко записывать это в виде Х прибл. N(a,сигма). Так как фи(х)=1/(корень из 2пи)*е в степени –х*2/2 – плотность нормального закона распределения с параметрами а=0 и сигма=1, то функция Ф(х)=1/(корень из 2пи)* интеграл от –бесконечности до х е в степени –t*2/2dt, с помощью которой вычисляется вероятность P{a<=мюn-np/(корень из npq)<=b}, является функцией распределения нормального распределения с параметрами а=0, сигма=1.
СВ называется нормально распределенной, если ее плотность распределения имеет вид f(x)=(1/ s Ö (2 p ))*e-(x-a)2/2 s 2; s >0. Функцией Лапласа называется функция вида(Z=x-a/ s )
Ф(Х)=
Св-ва;
Ф(х2)=
3.Ф(+ ¥ )=0,5.Доказательство.
Ф(
¥
)=
Ф-ция Ф(Х) возрастает и стремится к 0,5. Вероятность попадания в интервал для НРСВ. Пусть x —НРСВ с пар. а и s ( s >0).
Если известна дисперсия С.В., то с ее помощью можно оценить вероятность отклонения этой величины на заданное значение от своего мат. ожидания, причем оценка вероятности отклонения зависит лишь от дисперсии. Соответствующую оценку вероятности дает неравенство Чебышева. Неравенство Чебышева является частным случаем более общего неравенства, позволяющего оценить вероятность события, состоящего в том, что С.В. Х превзойдет по модулю произвольное число t>0. P{|X – MX|>=t}<=1/t*2 M(X – MX)*2=1/t*2 DX – неравенство Чебышева. Оно справедливо для любых С.В., имеющих дисперсию; оценка вероятности в нем не зависит от закона распределения С.В. Х.
Теорема Чебышева. Если последовательность попарно независимых С.В. Х1,Х2,Х3,…,Xn,… имеет конечные мат. ожидания и дисперсии этих величин равномерно ограничены (не превышают постоянного числа С), то среднее арифметическое С.В. сходится по вероятности к среднему арифметическому их мат. ожиданий, т.е. если эпселен – любое положительное число, то: lim при n стремящемся к бесконечности P(|1/n сумма по i от 1 до n Xi – 1/n сумма по i от 1 до n M(Xi)|<эпселен)=1. В частности, среднее арифметическое последовательности попарно независимых величин, дисперсии которых равномерно ограничены и которые имеют одно и тоже мат. ожидание а, сходится по вероятности к мат. ожиданию а, т.е. если эпселен – любое положительное число, то: lim при n стремящемся к бесконечности P(|1/n сумма по i от 1 до n Xi – a|<эпселен)=1 . Теорема Маркова . P{|X|>=t}<=1/tM|X| - неравенство Маркова. Док-во: 1) Для Д.С.В. Х. Пусть Х – Д.С.В., Р{X=xi}=pi, i=1,2,3,…,сумма по i от 1 до бесконечности pi=1. Тогда вероятность события {|X|>=t} равна сумме вероятностей pi, для которых xi находится вне промежутка (-t,t). Очевидно, для всех xi, не принадлежащих промежутку (-t,t), имеет место неравенство |xi|/t>=1. Учитывая это неравенство получаем: P{|X|>=t}=сумма по i: |xi|>=t pi <=сумма по i:|xi|>=t |xi|/t pi<=сумма по i:|xi|>=t |xi|/t pi+сумма по i:|xi|<t |xi|/t*pi =1/t сумма по i от 1 до бесконечности |xi|*pi=1/t*M|X|. 2) Для Н.С.В. Х. Пусть Х – Н.С.В. с плотностью вероятности р(х). Вероятность того, что |X|>=t, равна сумме интегралов от плотности вероятности по промежуткам (-бесконечность, -t) и (t,бесконечность). На этих промежутках |x|/t*t>=1. Так как |x|/t*p(x)>=0, то интеграл от –t до t по |x|/t*p(x)dx>=0. Воспользовавшись формулой M|X|=интеграл от –бесконечности до бесконечности |x| p(x) dx, в результате преобразований получаем неравенство Маркова.
Локальная теорема Лапласа. Вероятность того, что в n независимых испытаниях, в каждом из которых вероятность появления события равна р(0<p<1), событие наступит ровно k раз (безразлично, в какой последовательности), приближенно равна (тем точнее, чем больше n). Pn(k)=1/(корень из npq)*фи(х). Здесь Фи(х)=1/(корень из 2пи)*е в степени –х*2/2, x=k – np/(корень из npq). Интегральная теорема Лапласа. Вероятность того, что в n независимых испытаниях, в каждом из которых вероятность появления события равна р(0<p<1), событие наступит не меньше k1 раз и не более k2 раз, приближенно равна: P(k1;k2)=Ф(х’’) – Ф(х’). Здесь Ф(х)=1/(корень из 2пи) * интеграл от0 до х е в степени –(z*2/2)dz – функция Лапласа, х’=(k1 – np)/(корень из npq), х’’=(k2 – np)/(корень из npq).
Двумерной называют С.В. (Х,Y), возможные значения которой есть пары чисел (x,y). Составляющие Х и Y, рассматриваемые одновременно, образуют систему двух С.В. Дискретной называют двумерную величину, составляющие которой дискретны. Непрерывной называют двумерную величину, составляющие которой непрерывны. Законом распределения Д.С.В. называют соответствие между возможными значениями и их вероятностями. Функция распределения вероятностей Д.С.В. называют функцию F(X,Y), определяющую для каждой пары чисел (х,y) вероятность того, что Х примет значение, меньшее х, при этом Y примет значение, меньшее y: F(x,y)=P(X<x,Y<y). Свойства:1) Значения функции распределения удовлетворяют двойному неравенству: 0<=F(x,y)<=1. 2) Функция распределения есть неубывающая функция по каждому аргументу:F(x2,y)>=F(x1,y), если х2>x1. F(x,y2)>=F(x,y1), если y2>y1. 3) Имеют место предельные соотношения: 1) F(-бесконечность, у)=0, 2) F(x,-бесконечность)=0, 3) F(-бесконечность, -бесконечность)=0, 4) F(бесконечность, бесконечность)=1. 4) а) при у=бесконечность функция распределения системы становится функцией распределения составляющей Х: F(x,бесконечность)=F1(x). Б) при х=бесконечность функция распределения системы становится функцией распределения составляющей У: F(бесконечность, у)=F2(y).
Условные. 1) Для дискретной двумерной С.В. Пусть составляющие X и Y дискретны и имеют соответственно следующие возможные значения: x1,x2,…,xn; y1,y2,…,ym. Условным распределением составляющей Х при Y=yj (j сохраняет одно и то же значение при всех возможных значениях Х) называют совокупность условных вероятностей p(x1|yj), p(x2|yj),…,p(xn|yj). Аналогично определяется условное распределение Y. Условные вероятности составляющих Х и Y вычисляют соответственно по формулам: p(xj|yi)=p(xi,yj)/p(yj), p(yj|xi)=p(xi,yj)/p(xi).
Корреляционным моментом СВ x и h называется мат. ожидание произведения отклонений этих СВ. m x h =М(( x —М( x ))*( h —М( h ))) Для вычисления корреляционного момента может быть использована формула: m x h =М( x * h )—М( x )*М( h ) Доказательство: По определению m x h =М(( x —М( x ))*( h —М( h ))) По свойству мат. ожидания m x h =М( x h —М( h )— h М( x )+М( x )*М( h ))=М( x h )—М( h )*М( x )—М( x )*М( h )+М( x )*М( h )=М( x h )—М( x )*( h ) Предполагая, что x и h независимые СВ, тогда m x h =М( x h )—М( x )*М( h )=М( x )*М( h )—М( x )*М( h )=0; m x h =0. Можно доказать, что если корреляционный момент=0, то СВ могут быть как зависимыми, так и независимыми. Если m x h не равен 0, то СВ x и h зависимы. Если СВ x и h зависимы, то корреляционный момент может быть равным 0 и не равным 0. Можно показать, что корреляционный момент характеризует степень линейной зависимости между составляющими x и h . При этом корреляционный момент зависит от размерности самих СВ. Чтобы сделать характеристику линейной связи x и h независимой от размерностей СВ x и h , вводится коэффициент корреляции: К x h = m x h / s ( x )* s ( h ) Коэффициент корреляции не зависит от разностей СВ x и h и только показывает степень линейной зависимости между x и h , обусловленную только вероятностными свойствами x и h . Коэффициент корреляции определяет наклон прямой на графике в системе координат ( x , h ) Свойства коэффициента корреляции.
Если К x h = ± 1, то линейная зависимость между x и h и они не СВ.
К x h <0, то с убыванием одной составляющей, вторая в среднем убывает.
Доказательство. D( x ± h )=M(( x ± h )2)—M2( x ± h )=M( x 2 ± 2 x h + h 2)—(M( x ) ± M( h ))2=M( x 2) ± 2M( x h )+M( h 2)—+M2( x )+2M( x )*M( h )—M2( h )=D( x )+D( h ) ± 2(M( x h ))—M( x )*M( h )=D( x )+D( h ) ± 2 m x h
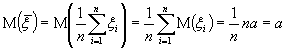
Мат. статистика опирается на теорию вероятностей, и ее цель – оценить характеристики генеральной совокупности по выборочным данным. Генеральной совокупностью называется вероятностное пространство {омега,S,P} (т.е. пространство элементарных событий омега с заданным на нем полем событий S и вероятностями Р) и определенная на этом пространстве С.В. Х. Случайной выборкой или просто выборкой объема n называется последовательность Х1,Х2,…,Xn, n независимых одинаково распределенных С.В., распределение каждой из которых совпадает с распределением исследуемой С.В. Х. Иными словами, случайная выборка – это результат n последовательных и независимых наблюдений над С.В. Х, представляющей генеральную совокупность.
Наиболее полная характеристика С.В. – это ее Ф.Р. Пусть х1,х2,…,xn – выборка из генеральной совокупности, представленной С.В. Х. Рассмотрим, как оценить Ф.Р. F(x) этой С.В., о которой известно только, что она непрерывна. Чтобы построить оценку F^n(x) Ф.Р. F(x), обычно располагают наблюдения xi в порядке их возрастания, т.е. находят вначале X*1=minXi, затем следующее по величине наблюдаемое значение и т.д.; если есть одинаковые значения, то их расположение не играет никакой роли. Последовательность неубывающих величин Х*1<=X*2<=X*n, полученных после упорядочения выборки, называется вариационным рядом. Существует статистическое и эмпирическое распределение. Гистограммой частот называют ступенчатую фигуру, состоящую из прямоугольников, основаниями которых служат частичные интервалы длины h, а высоты равны отношению ni/h (плотность частоты), где ni – сумма частот вариант попавших в i-ый интервал.
Статистической оценкой K * неизвестного параметра K теоретического распределения называют функцию f(X1,X2,…,Xn) от наблюдаемых С.В. X1,X2,…,Xn. Точечной называют статистическую оценку, которая определяется одним числом K *=f(x1,x2,…,xn), где х1,х2,…,xn – результаты n наблюдений над количественным признаком Х (выборка). Несмещенной называют точечную оценку, мат. ожидание которой равно оцениваемому параметру при любом объеме выборки. Смещенной называют точечную оценку, мат. ожидание которой не равно оцениваемому параметру. Несмещенной оценкой генеральной средней (м ат. ожидания) служит выборочная средняя: Хв=(сумма по i от 1 до k nixi)/n, где xi – варианта выборки, ni – частота варианты xi, n=сумма по i от 1 до k ni – объем выборки. Смещенной оценкой генеральной дисперсии служит выбор оч ная дисперсия: Dв=(сумма по i от 1 до k ni(Хi-Xв)*2)/n. Несмещенной оценкой генеральной дисперсии служит исправленная выбор оч ная дисперсия: s*2=n/n-1*Dв=сумма ni(xj – Xв)*2/n-1. Метод моментов точечной оценки неизвестных параметров заданного распределения состоит в приравнивании теоретических моментов соответствующим эмпирическим моментам того же порядка. Если распределение определяется одним параметром, то для его отыскания приравнивают один теоретический момент одному эмпирическому моменту того же порядка. Например, можно приравнять начальный теоретический момент первого порядка начальному эмпирическому моменту первого порядка: v1=M1. Учитывая, что v1=M(X) и М1=Хв, получим М(Х)=Хв. Если распределение определяется двумя параметрами, то приравнивают два теоретических момента двум соответствующим эмпирическим моментам того же порядка. Учитывая, что v1=M(X),M1=Хв,мю=D(X),m2=Dв, имеем систему: М(Х)=Хв, D(X)=Dв.
Метод наибольшего правдоподобия точечной оценки неизвестных параметров заданного распределения сводится к отысканию максимума функции одного или нескольких оцениваемых параметров. Д.С.В. Пусть Х – Д.С.В., которая в результате n опытов приняла возможные значения х1,х2,…,xn. Допустим, что вид закона распределения величины Х задан, но неизвестен параметр K , которым определяется этот закон; требуется найти его точечную оценку K *= K (x1,x2,…,xn). Обозначим вероятность того, что в результате испытания величина Х примет значение xi через р(xi; K ). Функцией правдоподобия Д.С.В. Х называют функцию аргумента K : L (x1,x2,…,xn; K )=p(x1; K )*p(x2; K )…p(xn; K ). Оценкой наибольшего правдоподобия параметра K называют такое его значение K *, при котором функция правдоподобия достигает максимума. Функции L и lnL достигают максимума при одном и том же значении K , поэтому вместо отыскания максимума функции L ищут, что удобнее, максимум функции lnL. Н.С.В. Пусть Х – Н.С.В., которая в результате n испытаний приняла значения х1,х2,…,xn. Допустим, что вид плотности распределения – функции f(x) – задан, но неизвестен параметр K , которым определяется эта функция. Функцией правдоподобия Н.С.В. Х называют функцию аргумента K : L(x1,x2,…,xn; K )=f(x1; K )*f(x2; K )…f(xn; K ).
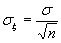
Интервальной называют оценку, которая определяется двумя числами – концами интервала, покрывающего оцениваемый параметр. Доверительный интервал – это интервал, который с заданной надежностью гамма покрывает заданный параметр. 1. Интервальной оценкой с надежностью гамма мат. ожидания а нормально распределенного количественного признака Х по выборочной средней Хв при известном среднем квадратическом отклонении сигма генеральной совокупности служит доверительный интервал: Хв – t(сигма/корень из n)<a<Хв+t(сигма/корень из n), где t(сигма/корень из n)=дельта – точность оценки, n – объем выборки, t – значение аргумента функции Лапласа Ф(t), при котором Ф(t)=гамма/2; при неизвестном сигма (и объеме выборки n<30) Хв – t гамма (s/корень из n)<a<Хв+t гамма (s/корень из n), где s-исправленное выборочное среднее квадратическое отклонение. 2. Интервальной оценкой (с надежностью гамма) среднего квадратического отклонения сигма нормально распределенного количественного признака Х по “исправленному” выборочному среднему квадратическому отклонению s служит доверительный интервал s(1-q)<сигма<s(1+q), при q<1; 0<сигма<s(1+q), при q>1. 3. Интервальной оценкой ( с надежностью гамма) неизвестной вероятности р биномиального распределения по относительной частоте w служит доверительный интервал ( с приближенными концами р1 и р2).
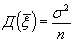
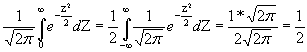
K ^=X=1/n сумма по i от 1 до n Xi является наилучшей несмещенной оценкой для мат. ожидания МХ= K нормального распределения f(x, K )=1/(корень из 2пи сигма в квадрате)*е –(х- K )*2/(2сигма в квадрате) по выборке объема n. Пусть дисперсия Хi Dxi=сигма в квадрате известна, где сигма в квадрате – некоторое конкретное число. Предполагается, что для нормально распределенного признака x , дисперсия которого известна равна s 2. По выборке объема n получены выборочные значения x 1, x 2, ... , x n. Требуется получить интервальную оценку неизвестного нам математического ожидания этого признака. M | x | > a заданной надежности j. Сначала рассчитываем точечную оценку математического ожидания:
M(
x
i) = a; Д(
x
i) =
s
2;
P(|a –
По таблице для функции Лапласа по значению функции равной
(
В статистике рассматриваются гипотезы двух типов:
Обычно выделяют основную гипотезу – нулевую (H0). Пример: математическое ожидание признака x , который распределен по нормальному закону и дисперсия его известна, а H0: M( x ) = a. Предполагаем, что известна дисперсия Конкурирующая гипотеза имеет вид: H1: M( x ) ¹ a; H1: M( x ) > a, либо H1: M( x ) = a1. Для проверки гипотез используются критерии, и они представляют собой специальным образом подобранные СВ, k – точечный или приближенный закон, который известен.
Обычно предполагается, что если гипотеза Н0 выполняется, то вычисляемая по выборочным данным kнабл. Этого критерия и гипотеза Н0 принимается, если kнабл. Î (kкритич. левостор.; kкритич. правостор.) Если kнабл. попадает в критическую область (все остальные значения k Î (- ¥ ; kкритич. лев.) È (kкритич. прав. ; ¥ ), то гипотеза Н0 отвергается и принимается конкурирующая гипотеза Н1. При этом возможны ошибки двух типов: Первого рода: что гипотеза Н0 отвергается, в то время, как она верна. Вероятность этой ошибки: P(H1/H0) = a - уровень значимости критерия. Критерий подбирается так, чтобы a была как можно меньше. Второго рода: что отвергается гипотеза Н1, в то время, как она верна. b = P(H0/H1) Мощностью критерия – (1- b ) - вероятность попасть точке-выборке в критическое множество, когда верна конкурирующая гипотеза. 1- b = P(H1/H1)
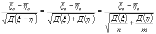
Признак x и h распределены нормально с известными дисперсиями.
Пусть по выборкам
x
1,
x
2, ... ,
x
n объема n,
h
1,
h
2, ... ,
h
m объема m, получены выборочные средние значения (
Д(Z)- дисперсия Д((
M(Z) = 0; Д(Z) = 1. Для того, чтобы выбрать Zкр. и при заданном уровне значимости a , определить принимается или не принимается основная гипотеза, найти вероятности. P(0 < Z < Zкр.) + P(Z > Zкр. прав.) = ½ Ф(Zкр.) + a /2 = ½ Ô (Zкр. прав.) = ½ - a /2
Zнабл. =
|Zнабл.| < Zкр.прав. Þ Н0 |Zнабл.| > Zкр.прав. Þ Н0 отвергается.
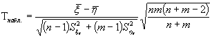
38. Проверка гипотезы о равенстве генеральных средних при неизвестных дисперсиях. Пусть x и h нормально распределенные СВ, предполагается, что неизвестны, но равны между собой дисперсии. x 1, x 2, ... , x n h 1, h 2, ... , h m
Для проверки гипотезы Н0, вводится СВ t, которая представляет собой
Теоретическое обозначение признака; СВ Т распределена по закону Стъюдента, зависит от первого параметра, который называется числом степеней свободы (k). k = n + m – 2 (по таблице для распределения Стъюдента при заданном значении k и уровне значимости a в зависимости от вида альтернативной и конкурирующей гипотезы, находятся либо односторонние tкр., либо двухсторонние tкр.). Ткр. прав. = - Ткр. лев. | Тнабл. | < Ткр. двуст. Þ Н0 | Тнабл. | > Ткр. двуст. Þ Н0 отвергается.
42. Марковские случайные процессы. Размеченный граф состояний. Предположим, что дана система S. Предп., что состояние этой сис-мы хар-ся параметрами состояний. Если состояние системы меняется во времени случайно, то говорят, что в сис-ме протекает случайный процесс. Сис-ма —аудитория. Для хар-ки состояния используется параметр—число студентов, тогда эта система с дискретными состояниями. Будем рассматривать системы с дискретными состояниями и непрерывным t: сис-ма мгновенно в произвольные сегменты t скачками меняет состояние. Если параметр t принимает дискретные значения (t=1,2,3,...), то происходит процесс с дискретным временем (случайная последовательность), если же t изменяется на некотором интервале, то процесс с непрерывным временем. Если случайные величины семейства принимают дискретные значения, то имеет место процесс с дискретными значениями, если же непрерывное, то с непрерывными значениями. Предположим, что рассматривается система с дискретными состояниями и непрерывным t. Пусть S1, S2,...,Sn —возможные состояния сис-мы. Для описания процесса, происх. в сис-ме, надо знать вер-ти каждого состояния на произвольный момент t. Р1(t)—вер-ть того, что в момент t сис-ма находится в 1-ом состоянии. Процесс, протекающий в системе, наз. марковским, если для него вероятность попасть в состояние Xi=Si в момент ti зависит не от всего прошлого, а лишь от состояния Xi-1=Si, в котором процесс был в предыдущий момент времени ti-1. Графом называется совокупность вершин и дуг, соединяющих эти вершины. Для описания процесса, протекающего в системе, удобно использовать размеченный граф состояний, в котором в кач-ве вершин исп-ся различные состояния системы, а в кач-ве дуг—стрелки, показ. возможные переходы за 1 шаг из состояния в состояние. При этом над каждой стрелкой указ. Плотность вероятности соответствующего перехода.
43. Система дифф. уравнений Колмогорова для вероятностей состояний. Пусть дан марковский случайный процесс. Рi(t)—вер-ти состояний: i=1,n(все с чертой), тогда для Рi(t) выполняется следующее дифференциальное уравнение d Рi(t)/dt= å ( от i<>k,k=1 до n) l ki* Рi(t)— å ( от j<>1,j=i до n) l ij*Pi(t); i=1,n(все с чертой) (1) Система из n уравнений , т.к. для любого момента t å ( от i=1 до n) Pi(t), то в системе (1) одно любое уравнение м-но отбросить. И, задав начальное условие на момент t=t0, P1(t0)=1, Pi(t0)=0, i=1,n( все с чертой). В итоге м-но решить сис-му дифф. ур-ний и найти все вер-ти состояний Pi(t), i=1,n(все с чертой).
44. Предельные вероятности состояний. Нахождение предельных вероятностей.
Предположим, что дан марковский случайный процесс, тогда, используя уравнение Колмогорова, можно найти Рi(t); i =
Предельными или финальными вероятностями называют пределы
Если эти предельные вероятности существуют, то в системе устанавливается стационарный режим, при котором состояние системы меняется случайным образом, но вероятность каждого состояния остается неизменной. Предельная вероятность в марковском случайном процессе существует, если этот процесс удовлетворяет свойству транзитивности. Процесс в протекающей системе называется транзитивным, если существует интервал времени t , в течение которого система может перейти из любого состояния Si в любое другое состояние Sj. Алгебраические уравнения для предельной вероятности состояний Пусть марковский случайный процесс удовлетворяет свойству транзитивности, тогда для него при t ® ¥ существуют предельные вероятности состояний Pi=const.
Одно уравнение отбрасывается, остается n уравнений, решая эту систему получаем Р1, Р2, ... , Рn.
45. Процессы гибели и размножения. Формулы для нахождения предельных вероятностей.Мы предполагаем, что все потоки, переводящие систему из любого Si в Si+1 и из Si в Si-1 являются простейшими. l i, i+1 l i, i-1 Процессы такого типа называются процессами гибели и размножения. Составим систему уравнений для нахождения предельной вероятности состояний: S0: l 01P0 = l 10P1 S1: l 10P1 + l 12P1 = l 01P0 + l 21P2 S2: l 21P2 + l 23P2 = l 12P1 + l 32P3 ... Sn: l n, n-1 Pn = l n-1, n Pn-1 P0 + P1 + P2 + ... + Pn = 1
l 01P0 + l 12P1 = l 01P0 + l 21P2
P2 =
P3 =
P0 +
46. Потоки событий. Простейший поток и его свойства. Потоком событий называется последовательность каких-то однородных событий, следующих друг за другом через случайные интервалы времени, т.е. в произвольные моменты времени.
Потоки избираются на числовой оси, представляющей ось времени, точками, соответствующими моменту наступления событий. Например: - поток вызовов, поступающих на станцию скорой помощи; - поток автомобилей, пересекающих перекресток. Среднее число событий, происходящих в единицу времени называется интенсивностью потока. l - среднее число событий в потоке, происходящее за единицу времени. Свойства потока:
t2 – t1 = a
Вероятность появления того или иного числа событий в интервале t 2 не зависит от того, какое число событий произошло в интервале t 1. Иначе, отсутствие последствия означает независимость наступления событий во времени.
3. Поток называется ординарным, если вероятность наступления двух и более событий за некоторый достаточно малый интервал времени
Поток, обладающий всеми тремя перечисленными свойствами называется простейшим.
47. Закон распределения числа событий за фиксированный промежуток времени и закон распределения интервала времени между событиями в простейшем потоке. Пусть рассматривается какой-то поток событий. С ним всегда можно связать дискретную СВ – число событий, происходящих за интервал длины t . Эта СВ дискретна. С этим же потоком можно связать НСВ – интервал времени между событиями. Т – интервал времени между событиями в потоке. Для простейшего потока доказано, что число событий, попадающих на интервал длины t является ДСВ, распределенной по закону Пуассона. Вероятность того, что за время t произойдет ровно k событий.
при t = 1 Найдем закон распределения интервала времени между событиями простейшего потока. Выведем закон распределения интервала времени между событиями в потоке.
F(t) = ?
Fт(t) = P(T<t) = 1 – P(T
³
t) = 1 – Pt(k=0) = 1 -
Fт(t) = l e- l t Всякий простейший поток можно задать интенсивностью, либо задать среднее значение времени между событиями в потоке (Т).
Средняя продолжительность интервала времени
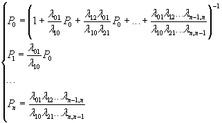
СМО— система, предназначенная для обслуживания какого-то потока поступающих на вход в систему заявок. Система характеризуется наличием того или иного числа каналов обслуживания. Если в системе несколько каналов, то мы считаем эти каналы равноправными, и они имеют одинаковые хар-ки (среднее число заявок, обслуж. 1-им каналом при непрерывной работе за единицу времени—одно и то же для всех каналов). Пусть СМО имеет n каналов обслуживания и на вход в систему поступает простейший поток заявок с интенсивностью l . Будем считать, что среднее время обслуживания одной заявки одним каналом Тоб=1/ m ; продолж. Обслуж. Тоб—СВ, распределенная по показательному закону с параметром m . Тогда при непрерывной работе канала он может обслужить m заявок в единицу времени (технич., профес. Хар-ка каналов). Пусть в случае, когда заявка, поступившая в систему, застает свободный хотя бы один канал, то она поступает сразу под обслуживание каким-то одним каналом. Если же заявка поступает в момент занятости всех каналов, то она получает отказ в обслуживании и покидает систему необслуженной. Нарисуем граф состояний таких СМО, при этом нумерацию состояний будем вести по числу заявок, находящихся в системе: S0—заявок нет S1—одна заявка, один канал занят, n-1 каналов свободно ,,, Sn—n заявок, n каналов занято, нет свободных. l l l l
Вероятности состояний:
Р0=(1+
P1=
Можно найти двумя способами:
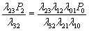
СМО— система, предназначенная для обслуживания какого-то потока поступающих на вход в систему заявок. Система характеризуется наличием того или иного числа каналов обслуживания. Если в системе несколько каналов, то мы считаем эти каналы равноправными, и они имеют одинаковые хар-ки (среднее число заявок, обслуж. 1-им каналом при непрерывной работе за единицу времени—одно и то же для всех каналов). Пусть дана сис-ма с простейшим потоком, инт-ть которого l , один канал в среднем может обслужить m заявок в единицу времени. Пусть в сис-ме имеется m мест для постановки заявок в очередь. Предположим, что заявка, заставшая в момент своего поступления один канал свободным, тут же обслуж. Если же в момент поступления заявки все каналы заняты, но имеется хотя бы одно свободное место в очереди, то заявка становится в очередь на обслуживание, при этом как только один из каналов освобождается, одна заявка из очереди поступает на обслуживание. Если заявка, поступившая в систему, застает занятыми все каналы и места в очереди, то она получает отказ в обслуживании и покидает систему. Возможные состояния системы: S0—заявок нет S1—одна заявка, n-1 канал свободен, все места в очереди свободны Sn—n заявок, все каналы заняты, все места в очереди свободны Sn+1—все каналы заняты, 1 заявка в очереди, m-1 мест в очереди свободны Sn+m—все каналы заняты, m мест (все) в очереди заняты. Предельные вероятности состояний:
Р
0
=(1+
1.Ротказа=Рn+m=
2.Относительная пропускная сп-ть q=1—Pn+m 3.Абсолютная пропускная сп-ть A= l q 4.Среднее число заявок в очереди
5.
СМО— система, предназначенная для обслуживания какого-то потока поступающих на вход в систему заявок. Система характеризуется наличием того или иного числа каналов обслуживания. Если в системе несколько каналов, то мы считаем эти каналы равноправными, и они имеют одинаковые хар-ки (среднее число заявок, обслуж. 1-им каналом при непрерывной работе за единицу времени—одно и то же для всех каналов). Пусть число мест в очереди не ограничено. Хар-ки этой СМО получим из характеристик СМО с ограниченным количеством мест в очереди, предполагая, что m—> ¥ . Тогда в выражении для Р0 имеем
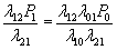
Р0=
При m —> ¥ å 1 + e + e 2 + ...+ e m-1 сходится только в том случае, если 0< e <1; если e >=1 сумма расходится, т.е. для этой СМО процесс не является транзитивным. Следовательно, предельные вер-ти состояний не существенны. Будем считать, что при m—> ¥ , e <1 . Следовательно предельн. вер-ти сост-й сущ. и хар-ки СМО след.:
Поделитесь этой записью или добавьте в закладки |
Полезные публикации |
. Аргумент—переменная верхнего предела.
—> Ф(х2)>Ф(х1)
=
. 6.
Главная