Интеграл Пуассона
Пусть ¦ ( x ) , g ( x ) , x Î R 1 –суммируемые на [ - p , p ] , 2 p - периодические, комплекснозначные функции. Через f * g(x) будем обозначать свертку
Из теоремы Фубини легко следует, что свертка суммируемых функций также суммируема на [ - p , p ] и c n ( f * g ) = c n ( f ) × c n ( g ) , n = 0, ± 1 , ± 2 , ... ( 1 )
где { c n ( f ) } -- коэффициенты Фурье функции f ( x ) :
c
n
=
Пусть ¦ Î L 1 (- p , p ) . Рассмотрим при 0 £ r < 1 функцию
¦
r
( x ) =
где ряд в правой части равенства (2) сходится равномерно по х для любого фиксированного r , 0 £ r < 1 . Коэффициенты Фурье функции ¦ r ( х ) равны
c
n
( f
r
) = c
n
×
r
|
n
|
, n = 0 ,
±
1
,
±
2
,
¼
, а это согласно (1) значит, что
¦
r
(
x
)
можно представить в виде свертки :
¦
r
( x ) =
где
Функция двух переменных Р r (t) , 0 £ r < 1 , t Î [ - p , p ] , называется ядром Пуассона , а интеграл (3) -- интегралом Пуассона .
Следовательно,
P
r
( t ) =
Если ¦ Î L 1 ( - p , p ) - действительная функция , то , учитывая , что c -n ( f ) = ` c n ( f ) , n = 0 , ± 1 , ± 2 , ¼ , из соотношения (2) мы получим :
f
r
( x ) =
=
где
F ( z ) = c
0
( f ) + 2
u ( z ) = ¦ r (e ix ) , z = re ix , 0 £ r < 1 , x Î [ - p , p ] . При этом гармонически сопряженная с u (z) функция v (z) c v (0) = 0 задается формулой
v (z) = Im F (z) =
Утверждение1. Пусть u (z) - гармоническая ( или аналитическая ) в круге | z | < 1 + e ( e > 0 ) функция и ¦ (x) = u (e ix ) , x Î [ - p , p ] . Тогда
u (z) =
Так как ядро Пуассона P r (t) - действительная функция, то равенство (10) достаточно проверить в случае, когда u (z) - аналитическая функция:
Но тогда
и равенство (10) сразу следует из (2) и (3).
Прежде чем перейти к изучению поведения функции ¦ r ( x ) при r ® 1 , отметим некоторые свойства ядра Пуассона:
а)
б)
в) для любого d >0
Соотношения а) и в) сразу следуют из формулы (5), а для доказательства б) достаточно положить в (2) и (3)
¦
(
х
)
º
1
.
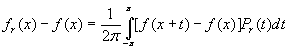
Теорема 1.
Для произвольной (комплекснозначной) функции
если же ¦ (x) непрерывна на [ - p , p ] и ¦ (- p ) = ¦ ( p ) , то
Доказательство. В силу (3) и свойства б) ядра Пуассона
Для любой функции
Следовательно,
Для данного
e
>
0
найдем
d
=
d
(
e
) такое, что
Аналогично второе неравенство вытекает из неравенства
Теорема 1 доказана.
Дадим определения понятий "максимальная функция" и "оператор слабого типа", которые понадобятся нам в ходе доказательства следующей теоремы. Определение1.
Пусть функция
где супремум берется по всем интервалам I , содержащим точку х. Определение 2.
Оператор
Теорема 2 (Фату).
Пусть
Доказательство.
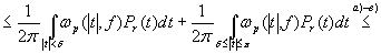
Покажем, что для
где С - абсолютная константа , а M ( f, x ) - максимальная функция для f (x) . Для этой цели используем легко выводимую из (5) оценку
( К - абсолютная константа).
Пусть
Тогда для
Неравенство (13) доказано. Используя затем слабый тип (1,1) оператора
Согласно (13) при x Î (-2 p , 2 p )
Учитывая , что по теореме 1
Из последней оценки получим
Теорема 2 доказана. Замечание.
Используя вместо (13) более сильное неравенство (59), которое мы докажем позже, можно показать, что для п.в. x
Î
[-
p
,
p
]
Мы считаем , что f (x) продолжена с сохранением периодичности на отрезок [ - 2 p , 2 p ] (т.е. f (x) = f (y) , если x,y Î [-2 p ,2 p ] и x-y=2 p ) и f (x) = 0 , если | x | > 2 p . Поделитесь этой записью или добавьте в закладки |
Полезные публикации |
-
i n t
dt
, n = 0,
±
1
,
±
2
,
¼
, ( 3 )
( z = re
ix
,
|
z
|
<
1
) ( 10 ).
;
( 12 )
.
.
Главная