Численное решение модельного уравнения диссипации, конвекции и кинетики СОДЕРЖАНИЕ
Список литературы Приложения Приложение 1: Описание программы Приложение 2: Текст программы
1. ОБЩАЯ ПОСТАНОВКА ЗАДАЧИ Перенос тепла (или вещества) теплопроводностью (для вещества соответственно диффузией) и конвекцией описывается дифференциальным уравнением параболического типа:
где
му температуре или концентрации;
В дальнейшем будем рассматривать только тепловую интерпретацию уравнения (1).
Численное решение уравнения (1) будем искать в области
при заданных начальных значениях температуры:
и граничных условиях. Граничные условия описывают режимы теплообмена с внешней средой:
при
2. ПОСТАНОВКА ТЕСТОВЫХ ЗАДАЧ
В качестве тестовых задач для температуры
Для функции (9) имеем:
Для функции (10):
Для функции (11):
Для функции (12):
Для функции (13):
Данные функции тестировались на отрезке по X: [0, 1] , по времени: [0, 1], с количеством разбиений по этим отрезкам - 30 .
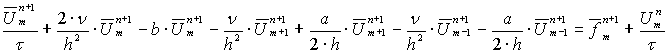
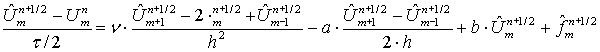
3. МЕТОДИКА РЕШЕНИЯ ТЕСТОВЫХ ЗАДАЧ Данная задача решается с помощью двухслойной неявно конечно-разностной схемы. Схема реализуется в три этапа.
1 этап:
находятся предварительные значения
2 этап:
используется за два шага. Сначала находятся
3 этап:
окончательные значения
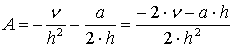
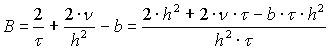
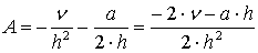
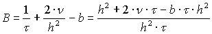
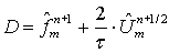
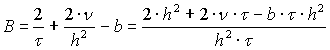
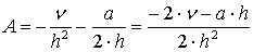
Для решения (1) воспользуемся формулами (5) - (8). Данные уравнения представляют трех диагональные матрицы, решаемые методом скалярной прогонки. В начале нужно преобразовать (5) – (7) к виду:
Тогда (5) примет вид:
Т.е.
Формула (6) преобразуется в:
Формула (7) преобразуется в:
Т.е.
Далее решаем по формулам скалярной прогонки:
( 15 )
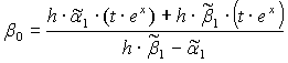
Для определения
Приведём это выражение к виду:
Т.е. теперь мы имеем
Далее найдем конечное
Проведя аналогичные расчёты для
4. РЕЗУЛЬТАТЫ ВЫЧИСЛЕНИЙ В результате проведённых испытаний программа показала свою высокую надёжность. Были получены следующие данные.
При расчёте с использованием функции
Для функции
С функцией
При
И, наконец, если выбрана функция
Т.е. можно сказать, что мы имеем результат с первым порядком точности. Столь малую точность можно объяснить тем, что производная, найденная при граничных условиях, так же имеет первый порядок точности.
СПИСОК ЛИТЕРАТУРЫ
Приложение 1 ОПИСАНИЕ ПРОГРАММЫ Поставленная задача была программно реализована на языке программирования Turbo-Pascal 7.0. В состав программы входят следующие файлы: basis.pas - PAS-файл основной части программы (решение системы уравнений методом скалярной прогонки); basis.v&v - EXE-файл основной части программы (вызывается из START.PAS); fun.bmp - BMP-фаил с изображением функций; inform.v&v - TXT-фаил с информацией о программе (вызывается из START.PAS); music.v&v - музыкальный EXE-фаил (вызывается из START.PAS); my_menu.pas - UNIT для создания меню; sea.exe - программа для просмотра графических файлов; start.pas - файл для запуска всей программы; u - файл с результатами работы; zastavka.v&v - EXE-фаил с заставкой к основной программе (вызывается из START.PAS). Файл START является, как бы оболочкой программы, из которой вызываются другие файлы. Сам процесс решения содержится в файле BASIS. BASIS содержит следующие процедуры и функции:
Function Fun_U (Xm,t:real):real; Вход: значение по X и значение по времени t, а также глобальная переменная выбранной функции SelectFunction. Действие: вычисляет точное значение функции U при заданных X и t. Выход: Fun_U – значение функции.
Function Fun_F (Xm,t,a,b,v:real):real;
Вход: значение по X, по времени t, коэффициенты
SelectFunction.
Действие: вычисляет значение функции F при заданных X, t,
Выход: Fun_F – значение функции F.
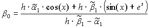
Function Betta_Zero (time:real): real;
Вход: значение времени t и глобальные коэффициенты
функции SelectFunction.
Действие: вычисляет
Выход: Betta_Zero – значение
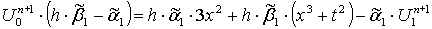
Function U_End (time,Alf,Bet:real): real;
Вход: значение времени t,
ной функции SelectFunction.
Действие: вычисляет
Выход: U_End – значение
Procedure PrintArray; Вход: использует глобальный массив данных U_m. Действие: выдает содержимое U_m на экран и в файл. Выход: вывод U_m.
Приложение 2 ТЕКСТ ПРОГРАММ Ы Основная часть программы выглядит так: Program Basis; Uses Crt; { Подключение библиотек } Label Metka1,Metka2; { Метки } Var a, b, v : real; { Коэффициенты, задаются пользователем } h, tau : real; { Шаг по X и по времени соответственно } X,x0 : real; { Конечное и начальное значение X } m,n,k : word; { Переменные используемые в циклах для расчета } T,t0 : real; { Конечное и начальное значение времени } Kol_voX, Kol_voT : word; { Количество разбиений по X и по времени } U_m,U_,_U_1_2,_U_1 : array [0..200] of real; { Массивы результатов } z : array [0..200] of real; { Массив точных решений } Xm : real; { Промежуточный X } Alfa,Betta : array [0..200] of real; { Массив коэффициентов используемых при скалярной прогонке } a_progonka, b_progonka, c_progonka, d_progonka : real; { Коэффициенты для скалярной прогонки } Error : real; { Значение ошибки } time : real; { Переменная времени } ch : char; { Код нажатой клавиши } SelectFunction:word; { Номер выбранной функции } U : text; { Переменная для вывода результата в файл } Alfa_1,Alfa_2,Betta_1,Betta_2 : real; { Коэффициенты граничных условий } Data : word; { Переменная режима ввода начальных данных } Function Fun_U (Xm,t:real):real; { Функция U (точное решение) } begin If SelectFunction=1 then Fun_U:=SQR(Xm)*Xm+SQR(t); If SelectFunction=2 then Fun_U:=SQR(Xm)*SQR(t)*t+10*Xm*t+SQR(SQR(t))*Xm; If SelectFunction=3 then Fun_U:=Xm*SIN(Xm*t)-4*SQR(Xm)*COS(t); If SelectFunction=4 then Fun_U:=t*EXP(Xm); If SelectFunction=5 then Fun_U:=SIN(Xm)+EXP(t); end; Function Fun_F (Xm,t,a,b,v:real):real; { Функция F } begin if SelectFunction=1 then Fun_F:=2*t-v*6*Xm+a*3*SQR(Xm)-b*(SQR(Xm)*Xm+SQR(t)); if SelectFunction=2 then Fun_F:=3*SQR(Xm)*SQR(t)+10*Xm+4*SQR(t)*t*Xm-v*2*SQR(t)*t+ a*(2*Xm*SQR(t)*t+10*t+SQR(SQR(t)))-b*(SQR(Xm)*SQR(t)*t+10*Xm*t+Xm*SQR(SQR(t))); if SelectFunction=3 then Fun_F:=SQR(Xm)*COS(Xm*t)+4*SQR(Xm)*SIN(t)-v*(2*COS(Xm*t)*t- Xm*SIN(Xm*t)*SQR(t)-8*COS(t))+a*(SIN(Xm*t)+Xm*t*COS(Xm*t)-8*COS(t)*Xm)- b*(Xm*SIN(Xm*t)-4*SQR(Xm)*COS(t)); if SelectFunction=4 then Fun_F:=EXP(Xm)-v*(t*EXP(Xm))+a*(t*EXP(Xm))-b*(t*EXP(Xm)); if SelectFunction=5 then Fun_F:=EXP(t)-v*(-SIN(Xm))+a*(COS(Xm))-b*(SIN(Xm)+EXP(t)); end; Function Betta_Zero (time:real): real; { Функция Betta[0] для прогонки } begin If SelectFunction=1 then Betta_Zero:=(h/(Betta_1*h-Alfa_1))*(Alfa_1*3*SQR(x0)+ Betta_1*(SQR(x0)*x0+SQR(time))); If SelectFunction=2 then Betta_Zero:=(h/(Betta_1*h-Alfa_1))*(Alfa_1*(2*x0*SQR(time)*time+ 10*time+SQR(SQR(time)))+Betta_1*(SQR(x0)*SQR(time)*time+10*x0*time+SQR(SQR(time))*x0)); If SelectFunction=3 then Betta_Zero:=(h/(Betta_1*h-Alfa_1))*(Alfa_1*(SIN(x0*time)+ x0*time*COS(x0*time)-8*x0*COS(time))+Betta_1*(x0*SIN(x0*time)-4*SQR(x0)*COS(time))); If SelectFunction=4 then Betta_Zero:=(h/(Betta_1*h-Alfa_1))*(Alfa_1*(time*EXP(x0))+ Betta_1*(time*EXP(x0))); If SelectFunction=5 then Betta_Zero:=(h/(Betta_1*h-Alfa_1))*(Alfa_1*(COS(x0))+ Betta_1*(SIN(x0)+EXP(time))); end; Function U_End (time,Alf,Bet:real): real; { Функция Um для прогонки } begin If SelectFunction=1 then U_End:=(Alfa_2*h*3*SQR(X)+Betta_2*h*(SQR(X)*X+SQR(time)) + Bet*Alfa_2)/(Alfa_2-Alf*Alfa_2+h*Betta_2); If SelectFunction=2 then U_End:=(Alfa_2*h*(2*X*SQR(time)*time+10*time+SQR(SQR(time)))+ Betta_2*h*(SQR(X)*SQR(time)*time+10*X*time+SQR(SQR(time))*X) +Bet*Alfa_2)/(Alfa_2-Alf*Alfa_2+h*Betta_2); If SelectFunction=3 then U_End:=(Alfa_2*h*(SIN(X*time)+X*time*COS(X*time)-8*X*COS(time))+ Betta_2*h*(X*SIN(X*time)-4*SQR(X)*COS(time))+Bet*Alfa_2)/(Alfa_2-Alf*Alfa_2+h*Betta_2); If SelectFunction=4 then U_End:=(Alfa_2*h*(time*EXP(X))+Betta_2*h*(time*EXP(X))+Bet*Alfa_2)/ (Alfa_2-Alf*Alfa_2+h*Betta_2); If SelectFunction=5 then U_End:=(Alfa_2*h*(COS(X))+Betta_2*h*(SIN(X)+EXP(time))+Bet*Alfa_2)/ (Alfa_2-Alf*Alfa_2+h*Betta_2); end; Procedure PrintArray; { Процедура печати массива U } begin WriteLn; For m:=0 to Kol_voX do begin Write(U_m[m]:15:4); Write(U,U_m[m]:15:4); end; WriteLn; WriteLn(U); end; { Основная программа } Begin Assign(U,'u'); { Файл для записи значений функции } Rewrite(U); { Открытие файла для записи } TextBackGround(0); { Выбор функции для работы } ClrScr; TextColor(10); GoToXY(20,8); Write('Введите номер выбранной функции (1-5):'); Metka1: ch:=ReadKey; If ch='1' then SelectFunction:=1 else If ch='2' then SelectFunction:=2 else If ch='3' then SelectFunction:=3 else If ch='4' then SelectFunction:=4 else If ch='5' then SelectFunction:=5 else begin Sound(400); Delay(100); NoSound; GoTo Metka1; end; GoToXY(59,8);TextColor(12);WriteLn(SelectFunction); TextColor(11); GoToXY(11,12); Write('Вы будете работать со стандартными параметрами (цифра ~1~)'); GoToXY(22,13); Write('или введете свои данные (цифра ~2~) ?'); Metka2: ch:=ReadKey; If ch='1' then Data:=1 else If ch='2' then Data:=2 else begin Sound(400); Delay(100); NoSound; GoTo Metka2; end; TextBackGround(9); TextColor(10); ClrScr; { Ввод начальных данных } WriteLn; WriteLn('-------------------------------- Ввод данных ---------------------------------¬'); For k:=1 do 21 do WriteLn('¦ ¦'); WriteLn('L------------------------------------------------------------------------------'); TextColor(15); Window(3,3,77,23); Write(' Введите область рассчета по X от: '); If Data=1 then begin x0:=0; Write(x0:1:0); WriteLn; end else ReadLn(x0); Write(' до: '); If Data=1 then begin X:=1; Write(X:1:0); WriteLn; end else ReadLn(X); WriteLn; Write(' Введите количество разбиений по направлению X: '); If Data=1 then begin Kol_voX:=30; Write(Kol_voX:2); WriteLn; end else ReadLn(Kol_voX); WriteLn;WriteLn; Write(' Введите область рассчета по времени от: '); If Data=1 then begin t0:=0; Write(t0:1:0); WriteLn; end else ReadLn(t0); Write(' до: '); If Data=1 then begin T:=1; Write(T:1:0); WriteLn; end else ReadLn(T); WriteLn; Write(' Введите количество разбиений по времени: '); If Data=1 then begin Kol_voT:=30; Write(Kol_voT:2); WriteLn; end else ReadLn(Kol_voT); WriteLn;WriteLn; WriteLn(' Введите коэффициенты'); Write(' a='); If Data=1 then begin a:=1; Write(a:1:0); WriteLn; end else ReadLn(a); Write(' b='); If Data=1 then begin b:=1; Write(b:1:0); WriteLn; end else ReadLn(b); Write(' v='); If Data=1 then begin v:=0.001; Write(v:1:3); WriteLn; end else ReadLn(v); Write(' Alfa-1='); If Data=1 then begin Alfa_1:=1; Write(Alfa_1:1:0); WriteLn; end else ReadLn(Alfa_1); Write(' Betta-1='); If Data=1 then begin Betta_1:=1; Write(Betta_1:1:0); WriteLn; end else ReadLn(Betta_1); Write(' Alfa-2='); If Data=1 then begin Alfa_2:=1; Write(Alfa_2:1:0); WriteLn; end else ReadLn(Alfa_2); Write(' Betta-2='); If Data=1 then begin Betta_2:=1; Write(Betta_2:1:0); WriteLn;TextColor(14); Write(' Нажмите любую клавишу'); ReadKey; end else ReadLn(Betta_2); { Интерфейс экрана при выдаче результата } TextBackGround(3); TextColor(1); Window(1,1,80,25); ClrScr; WriteLn; WriteLn('г===================== Результат ==========================¬'); For k:=1 to 21 do WriteLn('¦ ¦'); WriteLn('===================================================================-'); TextColor(0); TextBackGround(7); GoToXY(2,23); WriteLn(' Для продолжения нажмите любую клавишу'); TextBackGround(3); Window(3,4,77,22); TextColor(15); ClrScr; { Вычесление шага сетки } tau:=(T-t0)/Kol_voT; h:=(X-x0)/Kol_voX; { Ввод данных при time=t0 } For m:=0 to Kol_voX do begin Xm:=x0+h*m; U_m[m]:=Fun_U(Xm,t0); end; TextColor(14); WriteLn('Время равно ',time:3:3); TextColor(15); WriteLn(U,'Время равно ',time:3:3); PrintArray; { Начало рассчета } time:=t0; Repeat time:=time+tau; WriteLn; TextColor(14); WriteLn('Время равно ',time:3:3); TextColor(15); WriteLn(U,'Время равно ',time:3:3); { 1 этап. Решается методом скалярной прогонки } a_progonka:=(-2*v-a*h)/(2*SQR(h)); b_progonka:=(SQR(h)+2*v*tau-b*tau*SQR(h))/(SQR(h)*tau); c_progonka:=(a*h-2*v)/(2*SQR(h)); Alfa[0]:=Alfa_1/(Alfa_1-Betta_1*h); Betta[0]:=Betta_Zero(time); For m:=1 to Kol_voX-1 do begin Alfa[m]:=-c_progonka/(a_progonka*Alfa[m-1]+b_progonka); Betta[m]:=(Fun_F(x0+m*h,time+tau,a,b,v)+U_m[m]/tau-a_progonka*Betta[m-1])/ (a_progonka*Alfa[m-1]+b_progonka); end; U_[Kol_voX]:=U_End(time,Alfa[Kol_voX-1],Betta[Kol_voX-1]); For m:=Kol_voX-1 downto 1 do U_[m]:=Alfa[m]*U_[m+1]+Betta[m];U_[0]:=Alfa[0]*U_[1]+Betta[0]; { 2 этап, часть первая. Решается методом скалярной прогонки } a_progonka:=(-2*v-a*h)/(2*SQR(h)); b_progonka:=(2*SQR(h)+2*v*tau-b*tau*SQR(h))/(SQR(h)*tau); c_progonka:=(a*h-2*v)/(2*SQR(h)); Alfa[0]:=Alfa_1/(Alfa_1-Betta_1*h); Betta[0]:=Betta_Zero(time); For m:=1 to Kol_voX-1 do begin Alfa[m]:=-c_progonka/(a_progonka*Alfa[m-1]+b_progonka); Betta[m]:=(Fun_F(x0+m*h,time+tau/2,a,b,v)+2*U_m[m]/tau-a_progonka*Betta[m-1])/ (a_progonka*Alfa[m-1]+b_progonka); end; _U_1_2[Kol_voX]:=U_End(time,Alfa[Kol_voX-1],Betta[Kol_voX-1]); For m:=Kol_voX-1 downto 1 do _U_1_2[m]:=Alfa[m]*_U_1_2[m+1]+Betta[m]; _U_1_2[0]:=Alfa[0]*_U_1_2[1]+Betta[0]; { 2 этап, часть вторая. Решается методом скалярной прогонки } a_progonka:=(-2*v-a*h)/(2*SQR(h)); b_progonka:=(2*SQR(h)+2*v*tau-b*tau*SQR(h))/(SQR(h)*tau); c_progonka:=(a*h-2*v)/(2*SQR(h)); Alfa[0]:=Alfa_1/(Alfa_1-Betta_1*h); Betta[0]:=Betta_Zero(time); For m:=1 to Kol_voX-1 do begin Alfa[m]:=-c_progonka/(a_progonka*Alfa[m-1]+b_progonka); Betta[m]:=(Fun_F(x0+m*h,time+tau,a,b,v)+2*_U_1_2[m]/tau-a_progonka*Betta[m-1])/ (a_progonka*Alfa[m-1]+b_progonka); end; _U_1[Kol_voX]:=U_End(time,Alfa[Kol_voX-1],Betta[Kol_voX-1]); For m:=Kol_voX-1 downto 1 do _U_1[m]:=Alfa[m]*_U_1[m+1]+Betta[m]; _U_1[0]:=Alfa[0]*_U_1[1]+Betta[0]; { 3 этап. Окончательное значение } For m:=0 to Kol_voX do U_m[m]:=2*_U_1[m]-U_[m]; PrintArray; { Вывод результата на экран и его запись в файл } For m:=0 to Kol_voX do { Рассчет точного значения функции } begin z[m]:=Fun_U(x0+m*h,time); end; { Вывод ошибки расчета на экран и в файл } Error:=0; For m:=0 to Kol_voX do begin a:=Abs(U_m[m]-z[m]); If Error<a then Error:=a; end; WriteLn; TextColor(4); WriteLn('Максимальная ошибка для этого времени равна ',Error:10:7); TextColor(15); WriteLn(U,'Максимальная ошибка для этого времени равна ',Error:15:13); WriteLn(U); ReadKey; Until time>T; Close(U); { Закрытие файла с результатами } End. Поделитесь этой записью или добавьте в закладки |
Полезные публикации |
- соответствует переносу тепла теплопроводностью (или вещества диффузией);
- соответствует конвективному переносу;-
при
при
;
.
;
;
( 15 )
Главная