Исследование точности численного интегрирования Провести исследование внутренней сходимости численного интегрирования методом Симпсона и трапеций различных функций, задаваемых с помощью языка С. Подробное описание задачи и способы ее решения Необходимо провести исследования так называемой внутренней сходимости численного интегрирования методами Симсона и трапеций различных функций, задаваемых с помощью функций языка С. Предполагается, что отрезок интегрирования [a,b] разбит на n равных частей системой точек (сеткой).
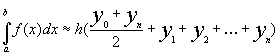
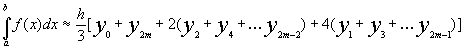
Контроль внутренней сходимости заключается в циклическом вычислении приближенных значений интеграла для удваиваемого по сравнению со значением на предыдущем прохождении цикла числа n. Отношения абсолютной величины разности этих значений к абсолютной величине предыдущего приближенного значения принимается в качестве критерия достижения точности интеграла. Построить зависимости количеств итераций от различных величин критерия точности. Построить обратные зависимости критерия точности от количества итераций. Повторить все вышеуказанные исследования для случая, когда при вычислении критерия точности разность значений интеграла относится не к предыдущему значению, а к точному значению аналитически вычисленного интеграла. Исследовать влияние увеличения верхнего предела интегрирования на точность (при прочих неизменных условиях) Метод трапеций
Метод Симпсона
Таблица и график зависимости количества итераций от различных значений критерия точности
Для
Таблица и график зависимости значений критерия точности от количества итераций
Для функции
Для функции
Таблица сравнительных результатов
Таблица влияния увеличения верхнего предела на точность интегрирования
Следовательно, увеличение верхнего предела приводит к увеличению точности интегрирования Текст программы /* Курсовая работа по информатике "Исследование точности численного интегрирования" "Research of Accuracy of Numerical Integration" Преподаватель: Студенты: Степанов А.Г. Черепанов К.А. Группа: Р-207 */ # include <stdio.h> # include <io.h> # include <stdlib.h> # include <iostream.h> # include <string.h> # include <math.h> int main () { FILE *fp; /*указатель на поток*/ int n,i,t,j,N; float a,b,h,Sum[100],x,y,coa; printf("Research of Accuracy of Numerical Integration\n"); /*Ввод точности вычисления*/ printf("Enter accuracy of calculation n= "); scanf("%d",&n); /*Ввод начала интегрирования*/ printf("Enter beginnings of integration= "); scanf("%f",&a); /*Ввод предела интегрирования*/ printf("Enter limit of integration= "); scanf("%f",&b);
/*Открытие файла-источника*/ while((fp=fopen("data3.xls","w"))==NULL) { puts("Error!!! Can't open file \nInput name of file\n"); } /*Ввод количества итераций*/ printf("Enter number of Itteration N= "); scanf("%d",&N); /*Вычисление шага интегрирования*/ h=(a+b)/n; printf("Step=%.3f\n",h); /*******Вычисление интеграла методом трапеций*******/ for(j=1;j<=N;j++) { h=(a+b)/(int(pow(2,j-1))*n); Sum[j]=0; for(i=0;i<=(int(pow(2,j-1))*n);i++) { x=a+i*h; if(i==0) t=1; else t=2; y=t*(h/2)*(sin(2*x)); Sum[j]=Sum[j]+y; } if (j>1) { coa=(Sum[j]-Sum[j-1])/Sum[j-1]; printf("Criterion of accuracy=%.5f Number of iteration=%d\n",coa,j); fprintf(fp,"%.7f\t",coa); fprintf(fp,"%d\t\n",j); } } printf("The sum by a method of trapezes=%.7f\n",Sum[1]); fprintf(fp,"The sum by a method of trapezes=%.7f\n",Sum[1]); /*******Вычисление интеграла методом Симпсона*******/ for(j=1;j<=N;j++) { h=(a+b)/(int(pow(2,j-1))*n); Sum[j]=0; for(i=0;i<=(int(pow(2,j-1))*n);i++) { x=a+i*h; if(i==0||i==n) t=1; else { if(i%2==0) t=2; else t=4; } y=t*(h/3)*(sin(2*x)); Sum[j]=Sum[j]+y; } if (j>1) { coa=(Sum[j]-Sum[j-1])/Sum[j-1]; printf("Criterion of accuracy=%.5f Number of iteration=%d\n",coa,j); fprintf(fp,"%.7f\t",coa); fprintf(fp,"%d\t\n",j); } } printf("The sum by a Simpson's method= %.7f\n",Sum[1]); fprintf(fp,"The sum by a Simpson's method=%.7f\n",Sum[1]); scanf("%d",&b); } Поделитесь этой записью или добавьте в закладки |
Полезные публикации | ||||||||||||||||||||||||||||||||||||||||||||||||||||||||||||||||||||||||||||||||||||||||||||||||||||||||||||||||||||||||||||||||||||||||||||||||||||||||||||||||||||||||||||||||||||||||||||||||||||||||||||||||||||||||||||||||||||||||||||||||||||||||||||||||||||||||||||||||||||||||||||||||||||||||||||||||||||||||||||||||||||||||||||||||||||||||||||||||||||||||||||||||||||||||||||||||||||||||||||||||||||||||||||||||||||||||||||||||||||||||||||||||
, где
Главная