Основная теорема алгебры
Всякий многочлен с любыми комплексными коэффициентами , степень которого не меньше единицы имеет хотя бы один корень, в общем случае комплексный.
План доказательства . Лемма №1 . Многочлен f(x) является непрерывной функцией комплексного переменного x.
Лемма №2 . Если данн многочлен n -ой степени, n>0, f(x)=a 0 x n +a 1 x n-1 +…+a n с произвольными комплексными коэффициентами и если k - любое положительное действительное число, то для достаточно больших по модулю значений |a n x n |>k|ax n-1 +a n x n-2 +….+a 0 |
Лемма №3
.
Лемма №4 .(Лемма Даламбера).
Лемма №5. Если действительная функция комплексного переменного f(x) непрерывна в замкнутом круге Е, то она ограничена.
Лемма №6. Действительная функция комплексного переменного f(x) непрерывная в замкнутом круге Е достигает своего минимума и максимума.
Доказательство основной теоремы .
Лемма №1.
Надо доказать, что
Докажем Лемму №1 сначала для многочлена без свободного члена и при x 0 =0
Если A=max(|a
0
|,|a
1
|,…,|a
n-1
|) и
то
|f(x)|=|a
0
x
n
+…+a
n-1
x|
т.к. a
0
=0 то f(0)=0
Что и требовалось доказать.
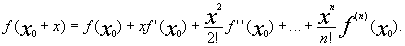
Теперь докажем непрерывность любого многочлена. f(x 0 +x)=a 0 (x 0 +x) n +…+a n pаскрывая все скобки по формуле бинома и собирая вместе члены с одинаковыми степенями x получим
Лемма доказана.
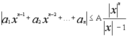
Лемма №2 Если дан многочлен n -ой степени, n>0, f(x)=a 0 x n +a 1 x n-1 +…+a n с произвольными комплексными коэффициентами и если k - любое положительное действительное число, то для достаточно больших по модулю значений x верно неравенство: |a 0 x n |>k|a 1 x n-1 +a 2 x n-2 +….+a n | (2)
Доказательсво.
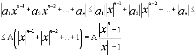
Пусть А=max(
пологая | x| >1, получим
откуда
следовательно неравенство (2) будет выполняться если |x|>1 и
Лемма №2 доказана.
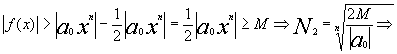
Лемма №3 .
Доказательство.
применим лемму 2: при k=2 существует такое N 1 , что при |x|> N 1 |a 0 x n |>2|a 1 x n-1 +a 2 x n-2 +….+a n | откуда |a 1 x n-1 +a 2 x n-2 +….+a n |<|a 0 x n |/2 тогда из (3)
при |x|>N=max(N 1 ,N 2 ) |f(x)|>M что и тебовалось доказать.
Лемма №3(Лемма Даламбера).
Если при
x=x
0
многочлен
f(x)
степени
n
,
|f(x 0 +h)|<|f(x)|
Доказательство.
f (n) ( x 0 )=n!a 0 Таким образом
и обозначим
Теперь будем выбирать h. Причем будем отдельно выбирать его модуль и его аргумент.
По лемме№1:
С другой стороны при
Пусть |h|<min( б 1 , б 2 ), тогда
Теперь выберем аргумент h так, чтобы c k h k было действительным отрицательным числом.
При таком выборе c k h k =-| c k h k | следовательно учитывая (4) получим
Что доказывает лемму Даламбера.
Лемма №5. Если действительная функция комплексного переменного f(x) непрерывна в замкнутом круге Е, то она ограничена.
Доказательство. Предположим, что это не верно тогда
получена бесконечная ограниченная последовательность x n ,
из нее можно выбрать сходящуюся подпоследовательность
получено противоречие, следовательно неверно, предположение о неограничености f(x). Лемма №6. Действительная функция комплексного переменного f(x) непрерывная в замкнутом круге Е достигает своего минимума и максимума. Доказательство. Докажем это утверждение для максимума.
Так как
f(x)
непрерывна в Е, то она ограничена и следовательно существует
M
=
sup{ f(x)}
. Рассмотрим функцию
Если f(x) не достигает своего максимума, то M> f(x) следовательно M-f(x)>0 , следовательно g(x) непрерывна в Е.
Полученое противоречит тому, что M = sup{ f(x)} . Следовательно функция достигает свего максимума. Аналогично доказывается достижение минимума.
Доказательство основной теоремы. Пусть дан многочлен f(x), очевидно что если a n -свободный член, то f(0)= a n . Теперь применим лемму№3: возьмем М=|f(0)| =|a n | тогда существует такое N, что при |x|>N |f(x)|>M. Теперь возьмем круг Е ограниченный окружностью с центром в нуле и радиусом N, включая границы круга. Так как (по лемме №1) многочлен f(x)-непрерывен, то и |f(x)|-непрерывен внутри замкнутого круга Е, следовательно(по лемме №6), существует такая точка x 0 , что для всех x из E выполняется неравенство |f(x)|>=|f(x 0 )|. x 0 является точкой минимума для |f(x)| внутри E. Т.к для любого x:|x|>N |f(x)|>M>|f(0)|>|f(x 0 )| точка x 0 является точкой минимуа |f(x)| на всей комплексной плоскости. |f(x 0 )|=0 т.к по лемме Даламбера если |f(x 0 )| ¹ 0 то x 0 не точка минимума для |f(x)| Þ x 0 -корень многочлена f(x). Теорема доказана. Поделитесь этой записью или добавьте в закладки |
Полезные публикации |
Главная