Нестандартный анализ возник в 1960 году, когда Абрахам Робинсон, специалист по теории моделей, понял, каким образом методы математической логики позволяют оправдать классиков математического анализа XVII и XVIII вв., поставив на строгую основу их рассуждения, использующие “бесконечно большие” и бесконечно малые величины. Таким образом, речь шла не о каких-то новых “нестандартных” методах, не имеющих ничего общего с традиционной математикой, а о развитии новых средств внутри стандартной (теоретико-множественной) математики. Нестандартный анализ остался бы любопытным курьезом, если бы единственным его приложением было обоснование рассуждений классиков математического анализа. Он оказался полезным и при развитии новых математических теорий. Нестандартный анализ можно сравнить с мостом, переброшенным через реку. Постройка моста не расширяет доступной нам территории, но сокращает путь с одного берега на другой. Подобным образом нестандартный анализ делает доказательства многих теорем короче. Однако, быть может, главное значение нестандартного анализа состоит в другом. Язык нестандартного анализа оказался удобным средством построения математических моделей физических явлений. Идеи и методы нестандартного анализа могут стать важной частью будущей физической картины мира. Во всяком случае уже сейчас многие специалисты по математической физике активно используют нестандартный анализ в своей работе. Несколько примеров нестандартного анализа:
Пример 1. Вычислим производную функции
Если
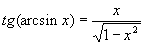
Пример 2. Вычислим аналогичным способом производную функции
Пример 5. Построение неизмеримого множества. Каждое действительное число
Если примеры 1 и 2 хотя и могут шокировать нас наивной нестрогостью, но всё же в известной мере соответствуют интуиции, то пример 5 представляется просто-напросто абракадаброй. Нестандартный анализ, однако, почти сплошь состоит из подобной абракадабры, имеющей в нём точный математический смысл. Он позволяет, в частности, с новой точки зрения посмотреть на многие рассуждения классиков математического анализа, кажущиеся нестрогими, но приводящие к успеху, и путём относительно небольших уточнений сделать их удовлетворяющими современным критериям строгости.
ЧТО ТАКОЕ БЕСКОНЕЧНО МАЛЫЕ ?
Один из наиболее принципиальных моментов нестандартного анализа состоит в том, что бесконечно малые рассматриваются не как переменные величины, а как величины постоянные. Достаточно раскрыть любой учебник физики, чтобы натолкнуться на бесконечно малые приращения, бесконечно малые объёмы и т. п. Все эти величины мыслятся, разумеется, не как переменные, а просто как очень маленькие, почти равные нулю.
Итак, речь будет идти о бесконечно малых числах. Какое число следует называть бесконечно малым? Предположим, что это положительное число
Более точное определение бесконечной малости числа
1<
Таким образом, если число
Вывод таков: если мы хотим рассматривать бесконечно малые , мы должны расширить множество R действительных чисел до некоторого большого множества *R. Элементы этого нового множества мы будем называть гипердействительными числами. В нём аксиома Архимеда не выполняется и существуют бесконечно малые числа, такие, что сколько их не складывай с собой, сумма будет всё время оставаться меньше 1. Нестандартный, или неархимедов, анализ изучает множество гипердействительных чисел *R.
Какие требования естественно предъявлять к гипердействительным числам?
1). Чтобы множество гипердействительных чисел содержало все обыкновенные действительные числа: R
2).Чтобы над гипердействительными числами можно было выполнять обычные операции: любые два гипердействительные числа нужно уметь складывать, умножать, вычитать и делить, причем так, чтобы выполнялись обычные свойства сложения и умножения. Кроме того, нужно уметь сравнивать гипердействительные числа по величине, т.е. решить какое из них больше.
Пусть имеется некоторое множество Р, в нём выделены некоторые элементы 0 и 1 и определены операции сложения, вычитания, умножения и деления, ставящие в соответствие двум любым элементам
В таком случае множество Р называется полем. Пусть на поле Р введён порядок, т. е. для любой пары не равных друг другу элементов
если
В таком случае говорят, что введенный порядок превращает Р в упорядоченное поле. Упорядоченное поле Р является неархимедовым тогда и только тогда, когда в нём есть положительные бесконечно малые элементы. Упорядоченное поле Р называется расширением поля действительных чисел R, если Р содержит все действительные числа и, кроме того, операции и порядок из Р, рассматриваемые на элементах их R, совпадают с обычными арифметическими операциями и обычным порядком на действительных числах.
ПРИМЕР НЕАРХИМЕДОВОЙ ЧИСЛОВОЙ СИСТЕМЫ
Построим пример неархимедова упорядоченного поля, являющегося расширением поля действительных чисел. Предположим, что искомое расширение *R уже построено, и исследуем его строение. Элементы множества *R мы будем называть гипердействительными числами. Среди них содержатся и все действительные числа. Чтобы отличить их, будем называть действительные числа (элементы R) стандартными, а остальные гипердействительные числа (элементы *R/R)—нестандартными.
По нашему предположению, поле *R содержит бесконечно малые числа, не равные нулю. Гипердействительное число
меньше 1. Здесь через
Отметим, что стандартное число 0 также оказывается, согласно этому определению, бесконечно малым. Но все остальные бесконечно малые числа не могут стандартными. Это следует из того, что для стандартных чисел справедлива аксиома Архимеда. Наряду с бесконечно малыми в поле *R существуют и бесконечно большие. Мы называем гипердействительное число А бесконечно большим, если
Если,
Гипердействительные числа, не являющиеся бесконечно большими, называются конечными. Каждое конечное гипердействительное число
Обсудив структуру нестандартного “микромира”, скажем несколько слов о строении нестандартного “макромира”. Их можно разбить на классы (“галактики”), каждый из которых устроен, подобно множеству всех конечных гипердействительных чисел. Среди галактик нет ни самой большой, ни самой малой; между любыми двумя галактиками есть бесконечно много других галактик.
ЧТО ЕЩЕ НУЖНО ОТ БЕСКОНЕЧНО МАЛЫХ ?
Рассмотрим, что получается в результате построения поля гипердействительных чисел.
Прежде всего, мы получаем не архимедово расширение поля действительных чисел. Кроме того, “каждому объекту стандартного мира” поставлен в соответствие его аналог в “нестандартном мире”. Именно нестандартным аналогом любого действительного числа является оно само; любому подмножеству А множества R соответствует подмножество *А множества *R, каждой функции f из R в R соответствует функция *f из *R в *R, каждой двуместной функции g из R в R соответствует функция *g из *R в *R и т. д. Разумеется, эти аналоги *A, *f, *g не произвольны, а должны обладать некоторыми специальными свойствами: так, *А
Покажем теперь, как принцип переноса позволяет нам обосновать наши примеры. Пример 1 становится вполне корректным: нужно сказать лишь, что производной функции
Приведем еще два примера “нестандартных определений” стандартных понятий. Пусть
Определение предела. Стандартное число
Определение предельной точки. Стандартное число
ЧТО ЖЕ ТАКОЕ ГИПЕРДЕЙСТВИТЕЛЬНОЕ ЧИСЛО ?
Гипердействительные числа можно рассматривать как классы последовательностей обыкновенных действительных чисел. Рассмотрим способ построения классов. Его определение будет использовать так называемый нетривиальный ультрафильтр на множестве натуральных чисел. Объясним, что это такое. Пусть некоторые множества натуральных чисел называются “большими”, а некоторые - “малыми”, причем выполнены следующие свойства:
С помощью такого ультрафильтра построим искомое неархимедово расширение поля действительных чисел.
Будем говорить, что последовательности
Определим сложение и умножение на гипердействительных числах. Пусть класс
Итак, мы ввели на множестве гипердействительных чисел сложение, умножение и порядок. Нетрудно проверить, что мы получили упорядоченное поле, т.е. что в множестве гипердействительных чисел выполняются все обычные свойства сложения, умножения и порядка. Аксиома Архимеда, однако, в этом поле не выполняется.
ПОСТРОЕНИЕ ПОЛЯ ГИПЕРДЕЙСТВИТЕЛЬНЫХ ЧИСЕЛ С ПОМОЩЬЮ ТЕОРЕМЫ КОМПАКТНОСТИ
Рассмотрим другой метод построения поля гипердействительных чисел. Но прежде мы должны обсудить понятие логического языка и понятие интерпретации этого языка. Рассмотрим общее понятие односортного языка первого порядка.
Пусть фиксирован набор символов
Определим теперь понятие формулы данного языка. Выберем и зафиксируем бесконечную последовательность символов, называемых переменными. Пусть это будут например символы
(Т2) если термы
Термами называются те и только те выражения, которые можно получить путем многократного применения правил (Т1) и (Т2). Определим теперь понятие формулы следующим образом:
(Ф1) если t и s термы, то (t=s) - формула; (Ф2) если
Формулами называют те и только те выражения, которые можно получить путем многократного применения правил (Ф1)-(Ф4). Определить интерпретацию языка L означает:
Истинность формул зависит от выбора интерпретации и от значений переменных, входящих в эту формулу свободно. Если формула не содержит свободных вхождений, то ее истинность зависит только от выбора интерпретации. Формулы языка, не содержащие свободных вхождений переменных, называют суждениями данного языка. Как только мы зафиксировали какую-то интерпретацию языка, все суждения разделяются на истинные и ложные. Теперь мы в состоянии точно сказать, что мы называем гипердействительными числами. Именно, системой гипердействительных чисел называется любая интерпретация Р рассмотренного языка RL, в которой истинны те же суждения, что и в стандартной интерпретации, но для которой не выполнена аксиома Архимеда. Элементы носителя этой интерпретации и называются гипердействительными числами. Таким образом, возможно много систем гипердействительных чисел. Вернемся к построению системы гипердействительных с помощью методов математической логики. Введем несколько понятий. Пусть фиксирован некоторый язык L. Пусть Т- некоторое множество суждений этого языка. Будем говорить, что интерпретация Р языка L является моделью Т, если все суждения из Т истинны в Р. Возьмем в качестве L рассмотренный выше язык RL, в качестве Т - множество Tr всех суждений этого языка, истинных в стандартной его интерпретации. Тогда в соответствии с нашим определением стандартная интерпретация, так же как и любая система гипердействительных чисел, будет моделью для Tr. Теперь задачу отыскания системы гипердействительных чисел можно сформулировать так: найти модель множества Tr, которая не удовлетворяет аксиоме Архимеда. Введем еще один термин, относящийся к произвольному языку L и произвольному множеству Т суждений языка L.Назовем множество Т совместным, если существует его модель, т.е. если существует интерпретация языка L, в которой истинны все формулы из Т. Теперь все готово для того, чтобы сформулировать теорему компактности Мальцева.
Теорема компактности. Пусть имеется произвольный язык L и произвольное множество Т суждений этого языка. Пусть каждое конечное подмножество
Эта теорема показывает, что для построения модели множества Т достаточно уметь строить модели всех конечных подмножеств множества Т.
Существуют два способа доказательства. Один из них использует нетривиальные ультрафильтры, а другой метод состоит в применении одной из центральных теорем логики - теоремы Гёделя-Мальцева о полноте, рассмотрим его более подробно. Определяется понятие выводимости данного суждения
Свойство выводимости: если формула
Теорема. Пусть L - произвольный язык, Т - множество суждений этого языка. Тогда следующие свойства равносильны: а) Т - совместно; б) Т- не противоречиво. Эта теорема позволяет заменить семантическое (т.е. апеллирующее к интерпретациям ) свойство совместимости на синтаксическое (рассматривающие формулы только как знакосочетания в отрыве от их смысла) свойство непротиворечивости. Из неё легко вытекает теорема компактности. Основная трудность в построении гипердействительных чисел заключена именно в доказательстве теоремы о полноте. Так что,. Построение системы гипердействительных чисел с помощью теоремы о полноте ничем не лучше и не хуже, чем её построение с помощью нетривиальных ультрафильтров.
ИСТОРИЯ НЕСТАНДАРТНОГО АНАЛИЗА
Возраст нестандартного анализа колеблется от двух десятков до трех сотен лет. Два десятка получается, если считать, что нестандартный анализ зародился осенью 1960 года, когда его основатель, Абрахам Робинсон, сделал на одном из семинаров Принстонского университета доклад о возможности применения методов математической логики к обоснованию математического анализа. Триста лет получается, если считать началом нестандартного анализа появление символов бесконечно малых dx и dy в трактате Лейбница. Как и всякое другое научное направление, нестандартный анализ возник не на пустом месте. Основные его источники: во-первых, это идущая от классиков математического анализа традиция употребления бесконечно больших и бесконечно малых - традиция, сохранившаяся до нашего времени. Второй, менее очевидный источник - нестандартные модели аксиоматических систем, появившиеся в математической логике. К 1960 году методы построения нестандартных моделей были давно разработаны и хорошо известны специалистам по теории моделей, одним из основателей которой был А. Робинсон. Оставалось лишь соединить их с идеями о применении бесконечно малых величин в анализе, чтобы положить начало развитию нестандартного анализа. В 1961 г. появилась статья А. Робинсона “Нестандартный анализ” в Трудах Нидерландской академии наук. В статье были намечены как основные положения нестандартного анализа, так и некоторые его приложения. В течении последующих восьми лет вышли в свет три монографии, излагающие нестандартную теорию: в 1962 г. - книга В.А. Дж. Люксембурга “Нестандартный анализ. Лекции о робинсоновой теории бесконечно малых и бесконечно больших чисел” , в 1966 г. - книга самого А. Робинсона “Нестандартный анализ” и в 1969 г. - книга М. Маховера и Дж. Хиршфелда “Лекции о нестандартном анализе”. Наибольший резонанс вызвала книга Робинсона. В девяти первых главах этой монографии содержалось как построение необходимого логико-математического аппарата, так и многочисленные приложения - к дифференциальному и интегральному исчислению, к общей топологии, к теории функций комплексного переменного, к теории групп Ли, к гидродинамике и теории упругости.
В 1966 г. появилась статья А.Р. Бернстейна и А. Робинсона, в которой впервые методами нестандартного анализа было получено решение проблемы инвариантных пространств для полиномиально компактных операторов. В очерке П.Р. Халмоша “взгляд в гильбертово пространство” в качестве проблемы фигурирует поставленная К.Т. Смитом задача о существовании инвариантного подпространства для таких операторов Т в гильбертовом пространстве
Приложения нестандартного анализа внутри математики охватывают обширную область от топологии до теории дифференциальных уравнений, теории мер и вероятностей. Что касается внематематических приложений, то среди них мы встречаем даже приложения к математической экономике. Многообещающим выглядит использование нестандартного гильбертова пространства для построения квантовой механики. А в статистической механике становится возможным рассматривать системы из бесконечного числа частиц. Помимо применений к различным областям математики, исследования в области нестандартного анализа включают в себя и исследование самих нестандартных структур. В 1976 г. вышли сразу три книги по нестандартному анализу: “Элементарный анализ” и “Основания исчисления бесконечно малых” Г. Дж. Кейслера и “Введение в теорию бесконечно малых” К. Д. Стройана и В. А. Дж. Люксембурга. Быть может, наибольшую пользу нестандартые методы могут принести в области прикладной математики. В 1981 г. вышла книга Р. Лутца и М. Гозе “Нестандартный анализ: практическое руководство с приложениями”. В этой книге после изложения основных принципов нестандартного анализа рассматриваются вопросы теории возмущений. В настоящее время нестандартный анализ завоёвывает всё большее признание. Состоялся ряд международных симпозиумов, специально посвященных нестандартному анализу и его приложениям. В течении последнего десятилетия нестандартный анализ ( точнее, элементарный математический анализ, но основанный на нестандартном подходе) преподавался в ряде высших учебных заведений США.
. Поделитесь этой записью или добавьте в закладки |
Полезные публикации |
.
Главная