Структура, свойства и методы использования углеродных нанотрубок Введение
В наши дни технология достигла такого уровня совершенства, что микрокомпоненты становятся всё менее используемыми в современной технике, и начинают постепенно вытесняться нанокомпонентами. Тем самым подтверждается тенденция к всё большей миниатюризации электронных приборов. Возникла необходимость освоения нового уровня интеграции – наноуровня. Вследствие этого появилась потребность в получении транзисторов, проволок с размерами в диапазоне от 1 до 20 нанометров. Решением этой проблемы стало в 1985г. открытие нанотрубок, но изучать их стали только начиная с 1990 г., когда их научились получать в достаточных объемах. Основные вопросы, которые ставятся в этой работе - это как устроена углеродная нанотрубка, какими свойствами она обладает, и какие возможные методы применения углеродных нанотрубок существуют. Несмотря на множество проблем и трудностей с получением нанотрубок и изучением их физико-химических свойств, их необходимо изучать, поскольку этот новый тип технологии (нанотехнологии) в ближайшем будущем начнет заменять собой микротехнологии. Рассмотрим состав нанотрубок и фуллеренов, а также физическую природу этих явлений. Основа этих двух явлений – углерод. Углерод – это химический элемент периодической системы Менделеева. Он обозначается символом С , имеет атомную массу 12.011, атомный номер 6. В природе углерод можно встретить только в двух основных формах – это графит и алмаз. Они отличаются, главным образом, по строению кристаллической решетки. Кристаллическая решетка графита показана на рис. 1. Параллельные между собой плоскости, в которых расположены атомы углерода по углам правильных шестиугольников, образуют кристаллы графита. Атомы углерода, стоящие в соседних вершинах шестиугольника, отстоят друг от друга на величину 143 пм, а соседние плоскости удалены друг от друга на 335 пм. Две соседние плоскости смещены друг относительно друга и шестиугольники, лежащие в них, не образуют прямые призмы. Однако если рассмотреть две плоскости, между которыми расположена третья, то шестиугольники, лежащие в этих двух плоскостях будут располагаться прямо друг напротив друга, образуя прямые призмы, как следует из рисунка. Атомы углерода, лежащие в одной плоскости связаны между собой неполярными ковалентными связями. Каждый атом углерода в атомной решетке графита связан с тремя соседними атомами углерода, тремя sp 2 —sp 2 общими электронными парами. Они расположены в соответствии с sp 2 - гибридизацией, под углами в 120º. Это означает, что каждые четыре связанных между собой атома углерода в графите образуют равносторонний треугольник, три из них расположены в вершинах равностороннего треугольника, а один – в центре.
Электрическая проводимость графита в направлении плоскостей объясняется тем, что между плоскостями расположены четвертые валентные электроны каждого атома, которые ведут себя как электроны металла. Как известно, графит, в отличие от алмаза, весьма хрупкий материал, и даже при небольших нагрузках начинает расслаиваться на отдельные чешуйки. Причиной тому является очень слабая межмолекулярная связь между атомами углерода, расположенными в соседних плоскостях (её ещё называют ван-дер-ваальсовой – по имени ученого, открывшего её).
Графиту присущи две удивительные особенности: электрическая проводимость в плоскостном направлении в десять тысяч раз превышает проводимость в поперечном направлении, а теплопроводность графита, измеренная в направлении плоскости слоев, в пять раз больше теплопроводности, измеренной в поперечном направлении. Все это обусловлено свойствами атома углерода. На рис. 2 изображена структура кристаллической решетки алмаза. Элементарная ячейка кристалла алмаза образует тетраэдр. Атомы углерода расположены четырех вершинах и в центре этого тетраэдра. Таким образом, каждый атом окружен другими четырьмя атомами, стоящими в вершине тетраэдра, и при этом атомы, расположенные в вершинах тетраэдра, образуют центр соседнего тетраэдра. По этому принципу строится вся кристаллическая решетка алмаза. Расстояние между двумя любыми соседними атомами углерода в кристаллической решетке является одинаковым и составляет 154 пм. Связь между атомами алмаза неполярная ковалентная. Все атомы кристалла образую одну большую молекулу, независимо от размеров самого кристалла. Из сказанного выше следует, что решетка алмаза характеризуется координационным числом углерода, равным четырем. Благодаря уникальной способности атомов углерода соединяться между собой с образованием прочных и длинных цепей и циклов, появилась возможность синтезировать огромное число разнообразных соединений углерода, которые изучаются органической химией. Атом углерода имеет такую электронную конфигурацию: 1s 2 2s 2 2p 2 . Поэтому, его четыре внешних электрона разные – они соответствуют различным орбиталям; два электрона не спарены. В валентном (связанном) состоянии один из электронов 2s переходит на р-орбиталь (для этого потребуется около 96 ккал/моль ). Таким образом, состояние атома будет иметь такой вид: 1s 2 2s 2p 3 . В результате имеется атом с одним 2s и тремя 2р-электронами: 2s2px2py2pz. Могут иметь место три вида гибридизации: sp, sp 2 и sp 3 .
Гибридизация типа sp характеризуется смешением атомных орбиталей р и s. При этом орбитали р x и s дают гибридную форму орбитали, а р y и р z не меняются. При гибридизации sp-типа получаются две орбитали, направленные диаметрально противоположно друг другу (рис. 3а). Это объясняется тем, что гибридная функция может иметь вид s+p, либо s-р. При гибридизации s и двух р-функций, например р x и р у (р z остается неизменной), то получаются три тригональные атомные орбитали типа sp 2 . Эти орбитали на схеме имеют вид клеверного листа (рис. 3б). Этот вид гибридных орбита-лей оказался очень важным для описания двойных связей. При гибридизации типа sp 3 смешиваются все атомные орбитали s и р. При этом все орбитали дают гибридную форму. Гибридные орбитали имеют отчетливую направленность: орбитали атома углерода направлены к углам тетраэдра, в центре которого помещается атом углерода. Схематически усиление направленности — ориентация электронного облака — показано на рисунке 3в. Очевидно, что это есть следствие ослабления частей атомных орбиталей, имеющих разные знаки, и усиление частей атомных орбиталей, имеющих одинаковые знаки. Получение нанотрубок. Наиболее широко распространенный метод получения углеродных нанотрубок использует термическое распыление графитового электрода в плазме дугового разряда, горящей в атмосфере He. Этот метод, лежащий также в основе наиболее эффективной технологии производства фуллеренов, позволяет получить нанотрубки в количестве, достаточном для детального исследования их физико-механических свойств. В дуговом разряде постоянного тока с графитовыми электродами при напряжении 15 - 20 В, токе в несколько десятков ампер, межэлектродном расстоянии в несколько миллиметров и давлении He в несколько сот Торр происходит интенсивное термическое распыление материала анода. Продукты распыления содержат, наряду с частицами графита, также некоторое количество фуллеренов, осаждающихся на охлажденных стенках разрядной камеры, а также на поверхности катода, более холодного по сравнению с анодом. Рассматривая этот катодный осадок с помощью электронного микроскопа обнаружили, что в нем содержатся протяженные цилиндрические трубки длиной свыше микрона и диаметром в несколько нанометров, поверхность которых образованна графитовыми слоями. Трубки имеют куполообразные наконечники, содержащие, подобно молекулам фуллеренов, шести- и пятиугольники. Как отмечалось выше, структурно графит, из которого их получают, состоит только из шестиугольников. Рассмотрим теперь вопрос, откуда в составе данных наноструктур появляются пятиугольники. Для этого необходимо обратиться к одной из теорем топологии, которая дает ответ на вопрос: какими фигурами можно “покрыть” сферу, запаянную и не запаянную трубки. Далее приведем доказательство данной теоремы и некоторые ее следствия. Пусть на сфере (или гомеоморфной ей поверхности) начерчен связный граф G, имеющий В вершин и Р ребер и разбивающий сферу на Г областей (граней); тогда справедливо равенство В-Р+Г=2 (1). Это теорема Эйлера. Перед доказательством этой теоремы стоит вспомнить некоторые определения. Конечным графом G называется фигура, состоящая из конечного числа дуг. В нем имеется конечное число вершин, и некоторые из этих точек соединяются непересекающимися дугами (ребрами графа). Связным графом называется граф, любые две вершины которого можно соединить кривой, проходящей по ребрам графа. Контуром в графе называется замкнутая цепочка ребер, объединение которых представляет собой линию, гомеоморфную окружности. Деревом называется связный граф, не содержащий ни одного контура. Индекс точки называется число дуг, сходящихся в данной точке. Также следует доказать следующую теорему: Для любого дерева, имеющего В вершин и Р ребер, справедливо соотношение В-Р=1. (2) Для доказательства проведем индукцию по числу ребер Р. При Р=1 (дерево имеет одно ребро и две вершины) соотношение (2) справедливо. Предположим, что для любого дерева, имеющего n ребер, соотношение (2) уже доказано, и пусть G - дерево, имеющее n+1 ребро. Так как граф G связен, то его можно получить из некоторого связного графа G` добавлением одного ребра r. Действительно, любой связный граф может быть получен следующим образом: мы берем одно ребро, затем присоединяем к нему еще одно ребро так, чтобы снова получился связный граф, затем присоединяем еще одно ребро (так, чтобы снова получился связный граф) и т.д. Это возможно, если удастся его вычертить “одним росчерком”. А это, в свою очередь, возможно, если разрешить “проходить” каждое ребро ровно два раза.
* * *
Докажем, что любой связный граф можно вычертить “одним росчерком”, если разрешить проходить каждое ребро точно два раза. Если проходить граф описанным выше способом, то его можно сопоставить с графом, у которого приходится по два ребра на каждое ребро исходного графа, т.е. индекс каждой вершины в два раза больше, чем у исходного. Полученный граф имеет вершины с четными индексами, а значит этот граф является уникурсальным (его можно “нарисовать одним росчерком”).
* * *
Граф G` содержит n ребер и тоже не содержит контуров, т.е. является деревом. По предположению индукции для дерева G` соотношение (2) справедливо, и потому в G` имеется n+1 вершина. Заметим теперь, что только один конец добавляемого ребра r является вершиной графа G` (в противном случае, взяв в G` простую цепочку, соединяющую a и b, и добавив к этой цепочке ребро r, мы получили бы контур в графе G). Следовательно, при добавлении ребра r в графе G появляется одно новое ребро и одна новая вершина. Иначе говоря, граф G имеет n+2 вершины и n+1 ребро, и потому соотношение (2) для него справедливо. Проведенная индукция доказывает равенство (2) для любого дерева. Теперь можно приступить к доказательству теоремы Эйлера. Для ее доказательства выделим из графа G максимальное его дерево G * , обозначим за k - число “перемычек” (т.е. ребер графа G, не содержащихся в G * ). Т.к. граф G * является деревом, то он не содержит ни одного контура, а, следовательно, он определяет на сфере лишь одну область (грань), и потому для него соотношение (1) справедливо. Далее, добавляя одну “перемычку”, число ребер увеличивается на единицу, число вершин остается прежним, т.к. G * - максимальное дерево, т.е. оно содержит все вершины графа G; число граней увеличится на единицу за счет разбиения одной грани на две. Отсюда видно, что добавление одной “перемычки” не меняет соотношения (1). Значит и добавление k перемычек его не изменит. Т.е. граф G удовлетворяет соотношению (1). Из теоремы Эйлера можно получить несколько интересных следствий. Обозначим через n 3 число треугольных граней выпуклого многогранника, через n 4 - число его четырехугольных граней и т.д. Тогда соотношение один можно переписать так: В=2+Р-(n 3 +n 4 +n 5 +...). (3) Т.к. каждое из ребер “принадлежит” ровно двум граням, то можно записать следующую формулу:
Р=
В каждой вершине же сходится минимум три грани, т.е. каждой грани “принадлежит” максимум
Объединяя (3), (4) и (5), получим
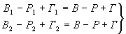
причем равенство возможно только в том случае, когда в вершине сходятся три грани. В нашем случае, для идеальных фулеренов и для нанотрубок, запаянных с обоих концов это выполнено. Отсюда видно, что в состав них может входить ровно 12 пятиугольников. Вторым следствием теоремы Эйлера является так называемая эйлерова характеристика поверхности. Пусть Q — поверхность, которая допускает разбиение на многоугольники; это означает, что на поверхности можно “нарисовать” граф, разбивающий ее на конечное число кусков, гомеоморфных кругу. Обозначим число вершин и ребер графа через В и Р, а число многоугольников, на которые Q разбивается этим графом,— через Г. Число X (Q) = В - Р + Г (6) называется эйлеровой характеристикой поверхности Q. Строго говоря, число (6) определяется не самой поверхностью Q, а выбором ее разбиения на многоугольники. Однако теорема Эйлера показывает, что для поверхности Q, гомеоморфной сфере, эйлерова характеристика не зависит от выбора разбиения на многоугольники: Х(Q)=2. Докажем, что и для любой поверхности Q ее эйлерова характеристика Х(Q) не зависит от выбора разбиения на многоугольники, а определяется самой поверхностью. В самом деле, пусть на, поверхности Q “нарисованы” два графа G 1 , G 2 , каждый из которых задает разбиение на многоугольники. Числа вершин, ребер и граней разбиения, определяемого графом G 1 , обозначим через B 1 , Р 1 , Г 1 , а соответствующие числа для разбиения, определяемого графом G 2 ,— через В 2 , Р 2 , Г 2 . Вообще говоря, графы G 1 и G 2 могут пересекаться в бесконечном числе точек. Однако, “пошевелив” граф G 1 , мы сможем добиться того, чтобы G 1 и G 2 пересекались лишь в конечном числе точек.
Далее, если граф G
1
Обозначим через В и Р число вершин и ребер графа G
1
из которых и будет следовать, что B 1 -P 1 +Г 1 =B 2 -P 2 +Г 2 . Оба равенства (7) доказываются одинаково; докажем первое.
Пусть М - некоторый многоугольник (“грань”), определяемый графом G
1
. Обозначим число вершин и ребер графа G
1
Вырежем теперь многоугольник М (вместе с имеющейся на нем частью графа G
1
В'-Р'+Г=1. (8)
Если теперь (возвращаясь к поверхности Q, на которой начерчен граф G
1
Рис. 4. Рис. 5.
Теперь ясно, что если мы из графа G
1
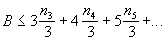
В * -Р * +Г * =В-Р+Г (9) где В * и Р * — число вершин и ребер графа G * , а Г * — число определяемых им граней. Заметим, наконец, что граф G * получается из G 1 добавлением нескольких новых вершин на ребрах. Добавление каждой новой вершины увеличивает число ребер на 1 (поскольку добавленная вершина разбивает одно из ребер на два). Следовательно, если переход от графа G 1 к G * осуществляется добавлением k новых вершин, то В * =B 1 + k 1 *P * =P 1 +k. Кроме того, Г * =Г 1 (так как граф G * определяет те же грани, что и граф G 1 ). Таким образом, В * -Р * +Г * =(B 1 +k)-(P 1 +k)+Г 1 =В 1 -Р 1 +Г 1 , а это, согласно (9), и дает первое из соотношений (7). Итак эйлерова характеристика поверхности не зависит от ее разбиения на многоугольники, а определяется самой поверхностью. Кроме того, если поверхности Q 1 и Q 2 гомеоморфны, то X(Q 1 )=Х(Q 2 ). Отсюда имеем еще одно следствие: т.к. эйлерова характеристика поверхности для незакрытой трубки равна нулю, то, рассуждая также как и в первом следствии, можно получить неравенство
Это соотношение плохо описывает идеальную нанотрубку, но для реальной нанотрубки с “дислокациями” оно качественно правильно. Итак, в данной части работы была доказана теорема Эйлера, которая позволила нам теоретически доказать необходимость перестройки графитовой плоскости в случаях, когда реакции происходят с образованием фулеренов и запаянных нанотрубок, а также было найдено соотношение для многоугольников в случае, когда имеет место рассмотрение реальных нанотрубок с дефектами. При использовании для получения нанотрубок электрической дуги с графитовым электродом образуются преимущественно многослойные нанотрубки, диаметр которых лежит в диапазоне от одного до нескольких десятков нанометров. Кроме того, такие нанотрубки отличаются различной хиральностью, что определяет различие их электронной структуры и электрических характеристик. Распределения нанотрубок по размерам и углу хиральности критическим образом зависят от условий горения дуги и не воспроизводятся от одного эксперимента к другому. Это обстоятельство, а также разнообразие размеров и форм нанотрубок, входящих в состав катодного осадка, не позволяет рассматривать данный материал как вещество с определенными свойствами. Частичное преодоление указанной проблемы стало возможным благодаря использованию процедуры обработки данного материала сильными окислителями. Методы очистки и обработки нанотрубок с помощью окислителей основан на том обстоятельстве, что реакционная способность протяженного графитового слоя, содержащего шестичленные графитовые кольца и составляющие поверхность нанотрубок, значительно меньше соответствующих характеристик для сфероидальной поверхности, содержащей также некоторое количество пятичленных колец.
Одним из основных параметров, характеризующих нанотрубки является хиральность . Трубки характеризуются различной хиральностью, т.е. углом ориентации графитовой плоскости относительно оси трубки. Идеализированная нанотрубка представляет собой свернутую в цилиндр графитовую плоскость, т.е. поверхность выложенную правильными шестиугольниками, в вершинах которых расположены атомы углерода. Результат такой операции зависит от угла ориентации графитовой плоскости относительно оси нанотрубки. Угол ориентации задает хиральность нанотрубки, которая определяет, в частности ее электрические характеристики. Это свойство нанотрубок иллюстрируется на рис. 6, где показана часть графитовой плоскости и отмечены возможные направления ее сворачивания. Хиральность нанотрубок обозначается набором символов (m,n), указывающим координаты шестиугольника, который в результате сворачивания плоскости должен совпасть с шестиугольником, находящимся в начале координат. Некоторые из таких шестиугольников вместе с соответствующими обозначениями отмечены на рисунке. Другой способ обозначения хираль-ности состоит в указании угла а между направлением свора-чивания нанотрубки и направлением, в котором соседние шестиугольники имеют общую сторону. Среди различных возможных направлений сворачи-вания нанотрубок выделяются направле-ния, для которых совмещение шести-угольника (m,n) с началом координат не требует искажения в его структуре. Этим направлениям соответствуют угол а=О и а=30°. Указанные конфигурации отвечают хиральностям (m,0) и (2n,n) соответственно. Индексы хиральности однослоиной нанотрубки (m,n) однозначным образом определяют ее диаметр D . Эта связь очевидна и имеет следующий вид:
где
Разрешающая способность современных электронных микроскопов недостаточна для непосредственного различения нанотрубок с разной хиральностью, поэтому основной способ определения данного параметра связан с измерением их диаметра.
Рассмотрим упрощенную модель нанотрубки . На рисунке 7 представлена идеализированная модель однослойной нанотрубки. Такая трубка не образует швов при сворачивают и заканчивается по-лусферическими вершинами, содер-жащими, наряду с правильными шес-тиугольниками, также по шесть правильных пятиугольников. Нали-чие пятиугольни-ков на концах трубок позволяет рассматривать их как предельный случай молекул фуллеренов, длина продольной оси которых значительно превышает диаметр. Структура однослойных нанотрубок, наблюдаемых экспериментально, во многих отношениях отличается от представленной выше идеализированной картины. Прежде всего это касается вершин нанотрубки, форма которых, как следует из наблюдений, далека от идеальной полусферы. Особое место среди однослойных нанотрубок занимают нанотрубки с хиральнстью (10,10). В нанотрубках такого типа две из С-С-связей, входящих в состав каждого шестичленного кольца, ориентированы параллельно продольной оси трубки. Согласно расчетам нанотрубки с подобной структурой должны обладать чисто металлической проводимостью. Кроме того, термодинамические расчеты показывают, что такие трубки обладают повышенной стабильностью и должны преобладать над трубками другой хиральности в условиях, когда преимущественно образуются однослойные нанотрубки. До недавнего времени такие идеализированные условия казались недостижимыми. Однако в результате облучения поверхности графита импульсами двух лазеров в присутствие никелевого катализатора был осуществлен синтез нанотрубок диаметром 1.36 нм и длиной до нескольких сот микрон, обладающих металлической проводимостью, выводы теории нашли экспериментальное подтверждение. Как следует из измерений, выполненных с помощью электронного микроскопа и рентгеновского дифрактометра, нанотрубки с преимущественной хиральностью (10,10) образуют жгуты диаметром от 5 до 20 мкм, свернутые в клубки и запутанные причудливым образом. Кроме того, измерения спектров ЭПР, подкрепленные прямыми измерениями проводимости нанотрубок, указывают на металлический характер электропроводности этих материалов. При прямом измерении хиральности нанотрубок использовали электронно-дифракционный микроскоп с чрезвычайно малым поперечным сечением электронного пучка (около 0,7 нм), быстро сканируемого по области диаметром 10 - 20 нм, заполненной жгутом нанотрубок. На основании получаемой таким образом дифракционной картины делаются выводы о структуре нанотрубок, входящих в состав канатов. Было изучено 35 жгутов диаметром от 3 до 30 нм. Все жгуты, кроме двух, состояли из нанотрубок с хиральностью, близкой к (10,10). Детальный анализ показал, что 44% нанотрубок имели хиральность (10,10), 30% — (11,9) и 20% — (12,8).
Капиллярные эффекты и заполнение нанотрубок. Вскоре после открытия углеродных нанотрубок внимание исследователей привлекла возможность заполнения нанотрубок различными веществами, что не только представляет научный интерес, но также имеет большое значение для прикладных задач, поскольку нанотрубку, заполненную проводящим, полупроводящим или сверхпроводящим материалом, можно рассматривать как наиболее миниатюрный из всех известных к настоящему времени элементов микроэлектроники. Научный интерес к данной проблеме связан с возможностью получения экспериментально обоснованного ответа на вопрос: при каких минимальных размерах капиллярные явления сохраняют свои особенности, присущие макроскопическим объектам? Впервые данная проблема рассмотрена в задачи о втягивании молекулы НР внутрь нанотрубок под действием поляризационных сил. При этом показано, что капиллярные явления, приводящие к втягиванию жидкостей, смачивающих внутреннюю поверхность трубки, внутрь капилляра, сохраняют свою природу при переходе к трубкам нанометрового диаметра. Капиллярные явления в углеродных нанотрубках впервые осуществлены экспериментально в работе, где наблюдался эффект капиллярного втягивания расплавленного свинца внутрь нанотрубок. В этом эксперименте электрическая дуга, предназначенная для синтеза нанотрубок зажигалась между электродами диаметром 0,8 и длиной 15 см при напряжении 30 В и токе 180 - 200 А. Образующийся на поверхности катода в результате термического разрушения поверхности анода слой материала высотой 3-4 см извлекался из камеры и выдерживался в течение 5 ч при Т = 850° С в потоке углекислого газа. Эта операция, в результате которой образец потерял около 10% массы, способствовала очистке образца от частиц аморфного графита и открытию нанотрубок, находящихся в осадке. Центральная часть осадка, содержащего нанотрубки, помещалась в этанол и обрабатывалась ультразвуком. Диспергированный в хлороформе продукт окисления наносился на углеродную ленту с отверстиями для наблюдения с помощью электронного микроскопа. Как показали наблюдения, трубки, не подвергавшиеся обработке, имели бесшовную структуру, головки правильной формы и диаметр от 0,8 до 10 нм. В результате окисления около 10% нанотрубок оказались с поврежденными шапочками, а часть слоев вблизи вершины была содрана. Предназначенный для наблюдений образец, содержащий нанотрубки, заполнялся в вакууме каплями расплавленного свинца, которые получали в результате облучения металлической поверхности электронным пучком. При этом на внешней поверхности нанотрубок наблюдались капельки свинца размером от 1 до 15 нм. Нанотрубки отжигались в воздухе при Т = 400°С (выше температуры плавления свинца) в течение 30 мин. Как показывают результаты наблюдений, выполненных с помощью электронного микроскопа, часть нанотрубок после отжига оказалась заполненной твердым материалом. Аналогичный эффект заполнения нанотрубок наблюдался при облучении головок трубок, открывающихся в результате отжига, мощным электронным пучком. При достаточно сильном облучении материал вблизи открытого конца трубки плавится и проникает внутрь. Наличие свинца внутри трубок установлено методами рентгеновской дифракции и электронной спектроскопии. Диаметр самого тонкого свинцового провода составлял 1,5 нм. Согласно результатам наблюдений число заполненных нанотрубок не превышало 1%.
Таблица 1. Смачивающие свойства нанотрубок (температура близка к точке плавления).
При заполнении углеродных нанотрубок материалами различной природы возникают капиллярные явления. Особенности этих явлений были проанализированы детальным образом. В результате этого анализа выявилась связь между величиной поверхностного натяжения материала и возможностью его капиллярного втягивания внутрь углеродной нанотрубки. Таблица 1 заключает в себе некоторые из этих результатов. Она показывает что, капиллярные свойства нанотрубок проявляются только для материалов, которые обладают довольно малым значением поверхностного натяжения (менее 200 мН м -1 ) в жидком состоянии. При анализе результаты экспериментов по исследованию капиллярных явлений в нанотрубках необходимо учитывать роль кислорода, так как результаты экспериментов часто зависит от наличия или отсутствия оного. Неудачными оказались эксперименты по заполнению нанотрубок висмутом и свинцом, которые выполнялись в вакууме. В то же время аналогичные эксперименты, проведенные при наличии атмосферного воздуха, привели к появлению капиллярного эффекта. Этот результат можно объяснить зависимостью между капиллярными явлениями и величиной поверхностного натяжения соответствующего расплава. Наличие кислорода, приводящее к образованию оксидов, способствует протеканию капиллярных явлений, поскольку поверхностное натяжение расплавленных оксидов свинца и висмута намного превышает соответствующее значение для чистых расплавленных металлов. Для материалов с величиной поверхностного натяжения более 200 мН м -1 нанотрубки не проявляют капиллярных свойств. Чтобы решить эту проблему, используют растворители с низким поверхностным натяжением. Благодаря низкому поверхностному натяжению такие растворители могут проникать в нанотрубки при помощи явлений капиллярности. К примеру, растворителем может служить концентрированная азотная кислота, которая характеризуется сравнительно небольшим поверхностным натяжением (около 43 мН м -1 ). Основой другого эффективного способа получения нанотрубок является технология каталитического синтеза нанотрубок. В нанотрубках металлы используются в качестве катализатора, т.е. отверстие в аноде заполняется смесью графитового и металлического порошка.
Использование нанотрубок в электронике
Несмотря на то, что нанотрубки, благодаря их низкому поверхностному натяжению можно использовать во многих областях современной техники, наиболее перспективными являются направления использования нанотрубок, связанные с разработками в различных разделах современной электроники. Нанотрубкам свойственны такие достоинства, как малые размеры, меняющиеся в различных пределах, в зависимости от условий синтеза, электропроводность, механическая прочность и химическая стабильность. Благодаря этому можно считать нанотрубки основой будущих элементов наноэлектроники. Согласно расчетам электронные свойства, а также хиральность идеальной структуры меняется при внедрении в однослойную нанотрубку в качестве дефекта пары пятиугольник-семиугольник. Рассматривалась структура (8,0)/(7,1). Расчеты показали, что трубка с хиральностью (8,0) – это не что иное, как полупроводник с шириной запрещенной зоны 1,2 эВ, а трубка с хиральностью (7,1) является полуметаллом с нулевой шириной запрещенной зоны. Гетеропереходы полупроводник-полупроводник с различными значениями ширины запрещенной зоны могут быть получены таким же образом посредством внедрения дефекта. Поэтому нанотрубка с внедренным в нее дефектом можно рассматривать в качестве гетероперехода металл-полупроводник. На основе этого гетероперехода можно реализовать полупроводниковый элемент очень малых размеров. Создание новых типов миниатюрных элементов электронных схем на основе нанотрубок – это не единственное применение нанотрубок в электронике. Кроме того, нанотрубки можно использовать для создания на их основе тончайшего измерительного инструмента, который используется, чтобы контролировать неоднородности поверхностей таких схем. В одной из работ в данном направлении для исследования поверхности на нанометровом уровне в качестве зонда была использована многослойная нанотрубка. Нанотрубки имеют очень высокую механическую прочность, поэтому их целесообразно использовать для этой цели. Высокая прочность наноторубок подтверждается результатами прямых измерений, согласно которым модуль Юнга нанотрубок в аксиальном направлении составляет порядка 7000 ГПа. В то же время сталь и иридий, которые обычно используются для изготовления таких зондов, имеют значение этого параметра в пределах 200 и 500 ГПа соответственно. Заключение
Одним из самых значительных достижений современной науки является открытие углеродных нанотрубок. Несмотря на то, что эта форма углерода по своей структуре занимает промежуточное положение между графитом и фуллереном, углеродные нанотрубки имеют много свойств не характерных ни для графита, ни для фуллерена. Поэтому можно рассматривать и анализировать нанотрубки в качестве самостоятельного материала, физико-химические характеристики которого являются уникальными. Исследования углеродных нанотрубок представляют серьезный интерес, как фундаментальный, так и прикладной. Фундаментальный интерес к этому объекту объясняется, главным образом, широким диапазоном изменения его физико-химических свойств в зависимости от хиральности, а также необычной структурой. Проблема исследования фундаментальных свойств углеродных нанотрубок влечет за собой проблему практического применения. И, в первую очередь, от создания способов дешевого получения углеродных нанотрубок в больших количествах зависит решение последней проблемы. В настоящее время эта проблема препятствует возможности широкомасштабного использования данного материала. Обладая такими свойствами, как сверхминиатюрные размеры, хорошая электропроводность, высокие эмиссионные характеристики, высокая химическая стабильность при существующей пористости и способность присоединять к себе различные химические радикалы, нанотрубки могут эффективно использоваться в таких областях, как измерительная техника, электроника и наноэлектроника, химическая технология и др. Если эти задачи решатся успешно, то эффективное влияние фундаментальных исследований на научно- технический прогресс подтвердится еще одним примером.
Поделитесь этой записью или добавьте в закладки |
Полезные публикации | ||||||||||
Главная